Komunikat Dyrektora Centrum Medycznego Kształcenia

Transkrypt

Komunikat Dyrektora Centrum Medycznego Kształcenia
58
Centrum Medyczne Kształcenia Podyplomowego
Komunikat
Dyrektora Centrum Medycznego Kształcenia Podyplomowego
w sprawie skrócenia czasu odbywania specjalizacji przez farmaceutów posiadających
I stopień specjalizacji
na podstawie § 33 ust.6 Rozporządzenia Ministra Zdrowia
z dnia 15 maja 2003 r.
w sprawie specjalizacji oraz uzyskiwania tytułu specjalisty przez farmaceutów
(Dz. U. Nr 101, poz. 941)
Farmaceuta, który uzyskał specjalizację I stopnia w Rzeczy­
pospolitej Polskiej przed dniem wejścia w życie rozporządzenia
lub rozpoczął specjalizację I stopnia przed dniem wejścia w ży­
cie rozporządzenia i złożył egzamin specjalizacyjny na dotych­
czasowych zasadach oraz posiada dorobek zawodowy i na­
ukowy w danej dziedzinie - może uzyskać tytuł specjalisty po
odbyciu specjalizacji zgodnie z programem specjalizacji uzupe­
łniającej i zdaniu egzaminu państwowego.
Konsultant krajowy w danej dziedzinie lub dziedzinie pokrewnej,
jeżeli w danej dziedzinie nie ma powołanego konsultanta krajo­
wego, może wystąpić do Ministra Zdrowia, za pośrednictwem
CMKP, o uznanie farmaceucie dotychczasowego dorobku na­
ukowego i zawodowego za równoważny ze zrealizowaniem
programu stażu specjalizacyjnego i skrócenie czasu odbywania
stażu specjalizacyjnego do 6 miesięcy. Tym samym farmaceuta
musi odbyć co najmniej sześciomiesięczny staż specjalizacyjny.
Do wystąpienia należy dołączyć:
1. Kserokopię dokumentu „Prawo wykonywania zawodu far­
maceuty";
2. Kserokopię dyplomu/zaświadczenia o uzyskaniu specjaliza­
cji I stopnia;
3. Informację o dorobku naukowym i zawodowym w dziedzi­
nie, która jest podmiotem wystąpienia.
Minister Zdrowia, na wniosek Dyrektora CMKP, sporządzony na
podstawie opinii zespołu ekspertów w składzie:
– konsultant krajowy w danej dziedzinie lub w dziedzinie po­
krewnej, jeżeli w danej dziedzinie nie ma powołanego kon­
sultanta krajowego;
– przedstawiciel Naczelnej Rady Aptekarskiej, który posiada
tytuł specjalisty w danej specjalności lub legitymuje się do­
robkiem naukowym i zawodowym odpowiadającym tej spe­
cjalności;
– przedstawiciel Polskiego Towarzystwa Farmaceutycznego
lub innego towarzystwa naukowego odpowiadającego danej
specjalności, który posiada tytuł specjalisty w danej specjal­
ności lub legitymuje się dorobkiem naukowym i zawodowym
odpowiadającym tej specjalności.
może uznać dotychczasowy dorobek zawodowy i naukowy far­
maceuty za równoważny ze zrealizowaniem programu stażu
specjalizacyjnego i podjąć decyzję o skróceniu czasu odbywa­
nia stażu specjalizacyjnego do 6 miesięcy.
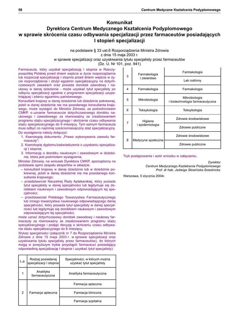
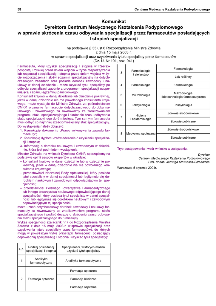
Wykaz specjalności (załącznik nr 7 do Rozporządzenia Ministra
Zdrowia z dnia 15 maja 2003 r. w sprawie specjalizacji oraz
uzyskiwania tytułu specjalisty przez farmaceutów), do których
mogą w powyższym trybie przystąpić farmaceuci posiadający
odpowiednią specjalizację I stopnia i uzyskać tytuł specjalisty):
L.p.
Rodzaj posiadanej
specjalizacji I stopnia
Specjalności, w których można
uzyskać tytuł specjalisty
1
Analityka
farmaceutyczna
Analityka farmaceutyczna
Farmacja apteczna
2
Farmacja apteczna
Farmacja kliniczna
Farmacja szpitalna
3
Farmakologia
i zielarstwo
Farmakologia
Lek roślinny
4
Farmakologia
Farmakologia
5
Mikrobiologia
Mikrobiologia
i biotechnologia farmaceutyczna
6
Toksykologia
Toksykologia
7
Higiena
i epidemiologia
Zdrowie środowiskowe
Zdrowie publiczne
Zdrowie środowiskowe
8
Medycyna społeczna
Zdrowie publiczne
Tryb postępowania i wzór wniosku w załączeniu.
Dyrektor
Centrum Medycznego Kształcenia Podyplomowego
Prof. dr hab. Jadwiga Słowińska-Srzednicka
Warszawa, 5 stycznia 2004r.
Tryb postępowania
w sprawie w sprawie skrócenia czasu odbywania stażu specjalizacyjnego przez farmaceutów
posiadających I stopień specjalizacji
na podstawie § 33 Rozporządzenia Ministra Zdrowia
z dnia 15 maja 2003r.
w sprawie specjalizacji oraz uzyskiwania tytułu specjalisty przez farmaceutów
(Dz. U. Nr 101, poz. 941)
1. Farmaceuta ubiegający się o skrócenie stażu specjalizacyjnego występuje z podaniem do konsultanta krajowego o rozważenie
możliwości wystąpienia do Ministra Zdrowia z wnioskiem o skrócenie czasu odbywania stażu specjalizacyjnego.
2. Konsultant Krajowy występuje do Ministra Zdrowia, za pośrednictwem CMKP, korespondencja przesyłana jest na adres CMKP.
3. Jeżeli do wniosku nie dołączono następujących dokumentów:
1) kserokopii dokumentu „Prawo wykonywania zawodu farmaceuty";
2) kserokopii dyplomu/zaświadczenia o uzyskaniu specjalizacji I stopnia;
3) informacji o dorobku naukowym i zawodowym w dziedzinie, która jest podmiotem wystąpienia, w tym o realizacji w ramach
dotychczasowego doświadczenia zawodowego wybranych elementów programu stażu specjalizacyjnego
CMKP występuje do wnioskodawców o ich uzupełnienie.
4. Dyrektor CMKP powołuje zespół ekspertów, ustala termin i miejsce posiedzenia i przekazuje przewodniczącemu zespołu doku­
menty wraz z drukiem protokołu.
5. Zespół w protokole wpisuje ocenę merytoryczną wniosku dotyczącą możliwości uznania farmaceucie dorobku zawodowego
i naukowego za równoważny ze zrealizowaniem stażu specjalizacyjnego w danej dziedzinie i skróceniu czasu odbywania stażu
specjalizacji , tak aby farmaceuta musiał zrealizować co najmniej 6 miesięczny program specjalizacji.
6. Na podstawie oceny zespołu ekspertów, Dyrektor CMKP kieruje wniosek do Ministra Zdrowia.
7. Posiedzenia zespołu ekspertów odbywają się cztery razy w roku; po 1 stycznia, 1 kwietnia, 1 lipca, 1 września.
Załącznik do komunikatu
Dyrektora Centrum Medycznego Kształcenia Podyplomowego
w sprawie skrócenia czasu odbywania specjalizacji
przez farmaceutów posiadających I stopień specjalizacji
WZÓR
Minister Zdrowia
za pośrednictwem
Dyrektora
Centrum Medycznego Kształcenia Podyplomowego
Wniosek
o uznanie przez Ministra Zdrowia farmaceucie posiadającemu I stopień specjalizacji dorobku zawodowego i naukowego za rów­
noważny ze zrealizowaniem wybranych elementów programu stażu specjalizacyjnego i skrócenie czasu odbywania stażu spe­
cjalizacyjnego. § 33 ust. 6 rozporządzenia Ministra Zdrowia z dnia 15 maja 2003 r. w sprawie specjalizacji oraz uzyskiwania tytułu
specjalisty przez farmaceutów (Dz. U. Nr 101, poz. 941).
Wnioskuję o uznanie dotychczasowego dorobku naukowego i zawodowego farmaceuty:
...........................................................................................................................................................................................................................
za równoważny ze zrealizowaniem przez niego programu specjalizacji w specjalności
...........................................................................................................................................................................................................................
i skrócenie czasu odbywania stażu specjalizacyjnego o ……… miesięcy.
Uzasadnienie konsultanta krajowego:
...........................................................................................................................................................................................................................
...........................................................................................................................................................................................................................
...........................................................................................................................................................................................................................
...........................................................................................................................................................................................................................
...........................................................................................................................................................................................................................
...........................................................................................................................................................................................................................
...........................................................................................................................................................................................................................
...........................................................................................................................................................................................................................
...........................................................................................................................................................................................................................
...........................................................................................................................................................................................................................
...........................................................................................................................................................................................................................
...........................................................................................................................................................................................................................
...........................................................................................................................................................................................................................
...........................................................................................................................................................................................................................
...........................................................................................................................................................................................................................
......................................................
....................................................................................................................
(data)
(podpis i pieczątka konsultanta krajowego)
Wypełnia farmaceuta
1. Imię (imiona) i nazwisko .....................................................................................................................................................................................
2. Tytuł zawodowy (kserokopia dyplomu w załączeniu) .........................................................................................................................................
3. Obywatelstwo .....................................................................................................................................................................................................
4. Data i miejsce urodzenia: ...................................................................................................................................................................................
5. Numer PESEL ....................................................................................................................................................................................................
6. Miejsce zamieszkania ........................................................................................................................................................................................
7. Prawo wykonywania zawodu farmaceuty Nr ......................................................................................................................................................
wydane przez ....................................................................................................................................................................................................
w dniu ……………… (kserokopia w załączeniu).
8. Miejsce pracy
...........................................................................................................................................................................................................................
(nazwa jednostki organizacyjnej, adres, stanowisko)
9. Dotychczasowy przebieg pracy zawodowej
Okres
Miejsce pracy
Stanowisko
10. Posiadane specjalizacje (nazwa, stopień, data i nr dyplomu, podmiot wydający) – kserokopia w załączeniu.
1. ...............................................................................................................................................................................................................
...............................................................................................................................................................................................................
2. ...............................................................................................................................................................................................................
...............................................................................................................................................................................................................
11. Kształcenie ustawiczne:
L.p.
1.
2.
Forma i miejsce szkolenia
Termin
Kierownik badań/szkolenia
3.
4.
5.
6.
7.
8.
9.
10.
11.
12.
13.
12. Wykaz publikacji związanych tematycznie z właściwą specjalnością (w załączeniu).
13. Inne osiągnięcia naukowe, w tym tytuły i stopnie naukowe oraz inne osiągnięcia zawodowe farmaceuty (dokumenty w załączeniu):
...........................................................................................................................................................................................................................
...........................................................................................................................................................................................................................
...........................................................................................................................................................................................................................
...........................................................................................................................................................................................................................
...........................................................................................................................................................................................................................
14. Przynależność do towarzystw naukowych (nazwa towarzystwa naukowego, od kiedy – rok, pełnione funkcje)
...........................................................................................................................................................................................................................
...........................................................................................................................................................................................................................
...........................................................................................................................................................................................................................
Proszę o uznanie mojego dorobku naukowego i zawodowego za równoważny ze zrealizowaniem przeze mnie wybranych elementów
programu stażu specjalizacyjnego
w specjalności ........................................................................................................................................................................................................
i skrócenie czasu odbywania stażu specjalizacyjnego do ……… miesięcy1).
......................................................
(data)
1
)
....................................................................................................................
(podpis i pieczątka farmaceuty)
okres stażu specjalizacyjnego, który musi odbyć farmaceuta po skróceniu stażu nie może być krótszy niż 6 miesięcy
Załączniki:
1. ...........................................................................................................................................................................................................................
2. ...........................................................................................................................................................................................................................
3. ...........................................................................................................................................................................................................................
4. ...........................................................................................................................................................................................................................
Komunikat
Dyrektora Centrum Medycznego Kształcenia Podyplomowego
w sprawie składania wniosków o uznanie dotychczasowego dorobku naukowego
i zawodowego farmaceuty za równoważny ze zrealizowaniem szczegółowego
programu właściwej specjalizacji i dopuszczenia farmaceuty do egzaminu
państwowego w dziedzinach, w których dotychczasowe przepisy nie przewidywały
uzyskania specjalizacji II stopnia lub tytułu specjalisty
na podstawie § 34 i 35 Rozporządzenia Ministra Zdrowia
z dnia 15 maja 2003 r.
w sprawie specjalizacji oraz uzyskiwania tytułu specjalisty przez farmaceutów
(Dz. U. Nr 101, poz. 941)
Jeżeli dotychczasowe przepisy nie przewidywały uzyskania
specjalizacji II stopnia lub tytułu specjalisty w określonej spe­
cjalności, konsultant krajowy w danej dziedzinie lub dziedzinie
pokrewnej, jeżeli w danej dziedzinie nie ma powołanego kon­
sultanta krajowego, może wystąpić do Ministra Zdrowia; za
pośrednictwem CMKP, o uznanie dotychczasowego dorobku
naukowego i zawodowego farmaceuty za równoważny ze zre­
alizowaniem szczegółowego programu właściwej specjalizacji
i dopuszczenie do egzaminu państwowego.
Minister Zdrowia, na wniosek Dyrektora Centrum sporządzony
na podstawie opinii powołanego przez niego zespołu, może
uznać dotychczasowy dorobek naukowy i zawodowy far­
maceuty za równoważny ze zrealizowaniem szczegółowego
programu specjalizacji i podjąć decyzję o dopuszczeniu tego
lekarza do egzaminu państwowego, którego termin i formę
określa Dyrektor Centrum Egzaminów Medycznych, na podsta­
wie wniosku konsultanta krajowego w danej dziedzinie lub
dziedzinie pokrewnej, jeżeli w danej dziedzinie nie ma powoła­
nego konsultanta krajowego.
Dla przeprowadzenia egzaminu państwowego Dyrektor CEM
powołuje komisję egzaminacyjną.
W skład komisji wchodzą:
– konsultant krajowy w danej dziedzinie lub dziedzinie po­
krewnej, jeżeli w danej dziedzinie nie ma powołanego kon­
sultanta krajowego;
– dwóch przedstawicieli Naczelnej Rady Aptekarskiej, którzy
legitymują się dorobkiem naukowym i zawodowym od­
powiadającym tej specjalności;
– dwóch przedstawicieli Polskiego Towarzystwa Far­
maceutycznego lub innego towarzystwa naukowego od­
powiadającego danej specjalności, którzy legitymują się do­
robkiem naukowym i zawodowym odpowiadającym tej spe­
cjalności.
Dopuszczenie farmaceuty do egzaminu państwowego może
nastąpić w terminie do dnia 31 grudnia 2006 r.
Powyższy tryb postępowania dotyczy specjalności: bromatolo­
gia, farmacja kliniczna, farmacja przemysłowa, farmacja szpi­
talna, lek roślinny, mikrobiologia i biotechnologia farmaceutycz­
na, zdrowie publiczne, zdrowie środowiskowe.
W załączeniu tryb postępowania.
W załączeniu wzór wniosku.
Dyrektor
Centrum Medycznego Kształcenia Podyplomowego
Prof. dr hab. Jadwiga Słowińska-Srzednicka
Warszawa, 5 stycznia 2004r.
Tryb postępowania
w sprawie uznania farmaceucie dotychczasowego dorobku naukowego i zawodowego za
równoważny ze zrealizowaniem programu właściwej specjalizacji i dopuszczenia do egzaminu
państwowego w dziedzinach, w których dotychczasowe przepisy nie przewidywały uzyskania
specjalizacji II stopnia lub tytułu specjalisty
na podstawie § 34 i 35 Rozporządzenia Ministra Zdrowia
z dnia 15 maja 2003 r.,
w sprawie specjalizacji oraz uzyskiwania tytułu specjalisty przez farmaceutów
(Dz. U. Nr 101, poz. 941)
1. Farmaceuta składa podanie do konsultanta krajowego z prośbą o rozważenie możliwości wystąpienia do Ministra Zdrowia
o uznanie dotychczasowego dorobku naukowego i zawodowego za równoważny ze zrealizowaniem programu właściwej specjali­
zacji i dopuszczenia do egzaminu państwowego.
2. Konsultant krajowy w danej dziedzinie lub dziedzinie pokrewnej, jeżeli w danej dziedzinie nie ma powołanego konsultanta krajo­
wego składa wniosek do Ministra, za pośrednictwem Centrum Medycznego Kształcenia Podyplomowego (CMKP).
3. Dyrektor CMKP powołuje zespół w składzie:
– konsultant krajowy w danej dziedzinie lub w dziedzinie pokrewnej, jeżeli w danej dziedzinie nie ma powołanego konsultanta
krajowego;
– przedstawiciel Naczelnej Rady Aptekarskiej, który posiada tytuł specjalisty w danej specjalności lub legitymuje się dorobkiem
naukowym i zawodowym odpowiadającym tej specjalności;
– przedstawiciel Polskiego Towarzystwa Farmaceutycznego lub innego towarzystwa naukowego odpowiadającego danej specjal­
ności, który posiada tytule specjalisty w danej specjalności lub legitymuje się dorobkiem naukowym i zawodowym odpowiada­
jącym tej specjalności.
4. Dyrektor CMKP ustala termin i miejsce posiedzenia oraz przekazuje dokumenty przewodniczącemu zespołu.
5. Zespół przedstawia merytoryczną opinię w protokole, sporządzonym dla każdego farmaceuty oddzielnie.
6. Dyrektora CMKP kieruje do Ministra Zdrowia wniosek, sporządzony na podstawie opinii zespołu, o uznanie lub nie uznawanie
farmaceucie dorobku naukowego i zawodowego za równoważny ze zrealizowaniem programu właściwej specjalizacji i dopusz­
czenie do egzaminu państwowego.
7. Posiedzenia zespołu ekspertów odbywają się cztery razy w roku; po 1 stycznia, po 1 kwietnia, po 1 czerwca, po 1 września.
Komunikat
Dyrektora Centrum Medycznego Kształcenia Podyplomowego
w sprawie uznawania tytułu specjalisty uzyskanego za granicą
na podstawie § 31 Rozporządzenia Ministra Zdrowia
z dnia 15 maja 2003 r.
w sprawie specjalizacji oraz uzyskiwania tytułu specjalisty przez farmaceutów
(Dz. U. Nr 101, poz. 941)
Na podstawie art. 89 ustawy z dnia 6 września 2001 r. Prawo
farmaceutyczne (Dz. U. Nr 126, poz. 1381 z późn. zm.) Minister
Zdrowia uznaje tytuł specjalisty uzyskany za granicą za równo­
ważny z tytułem specjalisty w Rzeczypospolitej Polskiej w
dziedzinie: analityka farmaceutyczna, bromatologia, farmacja
apteczna, farmacja kliniczna, farmacja przemysłowa, farmacja
szpitalna, farmakologia, lek roślinny, mikrobiologia i biotechno­
logia farmaceutyczna, toksykologia, zdrowie publiczne, zdrowie
środowiskowe.
Farmaceuta ubiegający się o uznanie tytułu specjalisty - wy­
stępuje z wnioskiem do Ministra Zdrowia, za pośrednictwem
CMKP, do którego dołącza następujące dokumenty:
1. kserokopię dokumentu „Prawo wykonywania zawodu far­
maceuty" wydanego w Rzeczypospolitej Polskiej;
2. oryginał dokumentu nadania tytułu specjalisty lub jego no­
tarialnie poświadczoną kserokopię;
3. dokument zawierający dane o miejscu odbycia specjalizacji
i czasie jej trwania oraz zrealizowanym programie;
4. informację o sposobie i trybie złożenia egzaminu lub innej
formie potwierdzającej nabytą wiedzę i umiejętności prak­
tyczne;
5. zaświadczenia o miejscu i okresie trwania i rodzaju czyn­
ności zawodowych wykonywanych po uzyskaniu tytułu spe­
cjalisty.
Do dokumentów wymienionych w punkcie 2 - 5 należy dołączyć
oryginały ich tłumaczenia na język polski lub notarialnie potwier­
dzone kopie tłumaczeń.
Minister Zdrowia uznaje lub odmawia uznania tytuł specjalisty,
na wniosek Dyrektora CMKP, na podstawie opinii zespołu eks­
pertów w składzie:
– konsultant krajowy w danej dziedzinie lub w dziedzinie po­
krewnej, jeżeli w danej dziedzinie nie ma. powołanego kon­
sultanta krajowego;
– przedstawiciel Naczelnej Rady Aptekarskiej, który posiada
tytuł specjalisty w danej specjalności lub legitymuje się do­
robkiem naukowym i zawodowym odpowiadającym tej spe­
cjalności;
– przedstawiciel Polskiego Towarzystwa Farmaceutycznego
lub innego towarzystwa naukowego odpowiadającego danej
specjalności, który posiada tytuł specjalisty w danej specjal­
ności lub legitymuje się dorobkiem naukowym i zawodowym
odpowiadającym tej specjalności.
Farmaceuta ubiegający się o uznanie tytułu specjalisty może
zostać skierowany, na podstawie opinii zespołu ekspertów, do
odbycia przeszkolenia uzupełniającego, trwającego nie dłużej
niż 3 miesiące, we wskazanej przez zespół jednostce szkolącej
prowadzącej specjalizację w danej specjalności.
Farmaceuta odbywa przeszkolenie uzupełniające na podstawie
umowy o szkolenie zawartej z kierownikiem jednostki szkolącej.
W załączeniu tryb postępowania.
Dyrektor
Centrum Medycznego Kształcenia Podyplomowego
Prof. dr hab. Jadwiga Słowińska-Srzednicka
Warszawa, 5 stycznia 2004 r.
Tryb postępowania
w sprawie uznawania tytułu specjalisty uzyskanego za granicą w specjalnościach farmaceutycznych
na podstawie § 31 rozporządzenia Ministra Zdrowia
z dnia 15 maja 2003 r.,
w sprawie specjalizacji oraz uzyskiwania tytułu specjalisty przez farmaceutów
(Dz. U. Nr 101, poz. 941)
1. Wnioski o uznanie uzyskanego za granicą tytułu specjalisty w danej specjalności kierowane są przez farmaceutów do Ministra
Zdrowia, za pośrednictwem CMKP i przesyłane na adres CMKP.
2. Jeżeli wnioski nie spełniają warunków określonych w § 31 ust. 2 i ust. 3 rozporządzenia - CMKP występuje do wnioskodawców
o ich uzupełnienie.
3. W przypadku nie nadesłania w ciągu trzech miesięcy uzupełniających dokumentów wniosek z powodu nie spełnienia wymagań
formalnych, bez opinii zespołu ekspertów, zwracany jest do wnioskodawcy.
4. CMKP ustala termin i miejsce posiedzenia zespołu ekspertów i przekazuje przewodniczącemu zespołu dokumenty wraz z dru­
kiem protokołu.
5. Zespół w protokole wpisuje ocenę merytoryczną wniosku.
6. Dyrektor CMKP na podstawie oceny zespołu ekspertów przedstawia Ministrowi Zdrowia opinię w przedmiotowej sprawie.
7. W przypadku skierowania farmaceuty przez zespół ekspertów na szkolenie uzupełniające, zawiadamia o powyższym far­
maceutę i jednostkę wyznaczoną do przeprowadzenia szkolenia.
8. CMKP ponownie ustala termin i miejsce posiedzenia zespołu ekspertów i przekazuje przewodniczącemu zespołu opinię kierow­
nika jednostki szkolącej o przebiegu szkolenia uzupełniającego farmaceuty.
9. Zespół ekspertów w protokole wpisuje ostateczną opinię dotyczącą możliwości uznania lub nie uznania tytule specjalisty w
Rzeczypospolitej Polskiej.
10. Posiedzenia zespołu ekspertów odbywają się cztery razy w roku; po 1 stycznia, 1 kwietnia, 1 lipca, 1 września.
Komunikat
Dyrektora Centrum Medycznego Kształcenia Podyplomowego
w sprawie powierzenia obowiązków kierownika specjalizacji
i/lub członka komisji egzaminacyjnej
na podstawie § 32 rozporządzenia Ministra Zdrowia
z dnia 15 maja 2003 r.
w sprawie specjalizacji oraz uzyskiwania tytułu specjalisty przez farmaceutów
(Dz. U. Nr 101, poz. 941)
Jeżeli dotychczasowe przepisy nie przewidywały uzyskiwania
tytułu specjalisty w danej specjalności lub w danej specjalności
nie ma wystarczającej liczby osób posiadających tytuł specjali­
sty, Minister Zdrowia może wskazać osoby, którym mogą być
powierzone obowiązki kierownika specjalizacji i/lub członka
komisji egzaminacyjnej. Osoby te powinny posiadać dorobek
naukowy i zawodowy w danej dziedzinie.
Minister Zdrowia powierza obowiązki kierownika specjalizacji
i/lub członka komisji egzaminacyjnej po zasięgnięciu opinii
Dyrektora CMKP i konsultanta krajowego w danej dziedzinie lub
w dziedzinie pokrewnej, jeżeli w danej dziedzinie nie ma kon­
sultanta krajowego.
Z wnioskiem może wystąpić kierownik jednostki szkolącej.
Do wystąpienia należy dołączyć:
1. kserokopię dokumentu „Prawo wykonywania zawodu far­
maceuty";
2. informację o dorobku naukowym i zawodowym w dziedzi­
nie, która jest podmiotem wystąpienia;
3. opinię pracodawcy;
4. inne dokumenty świadczące o kwalifikacjach zawodowych.
Wnioski należy kierować do Ministra Zdrowia za pośrednic­
twem CMKP i na adres CMKP.
Do dnia 31 grudnia 2008 r. kierownikiem specjalizacji w dziedzi­
nie farmacji aptecznej, farmacji szpitalnej i farmacji klinicznej
może zostać farmaceuta, który posiada tytuł specjalisty w jed­
nej z tych specjalności lub legitymuje się dorobkiem naukowym
i zawodowym w jednej z tych specjalności.
Dyrektor
Centrum Medycznego Kształcenia Podyplomowego
Prof. dr hab. Jadwiga Słowińska-Srzednicka
Warszawa, 5 stycznia 2004 r.
Żródło: http://www.cmkp.edu.pl