Rozkaz L 6 2016 - Tczew ZHP - Związek Harcerstwa Polskiego

Transkrypt

Rozkaz L 6 2016 - Tczew ZHP - Związek Harcerstwa Polskiego
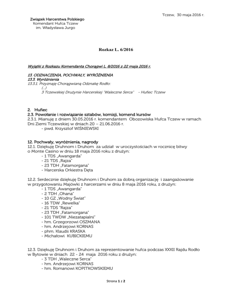
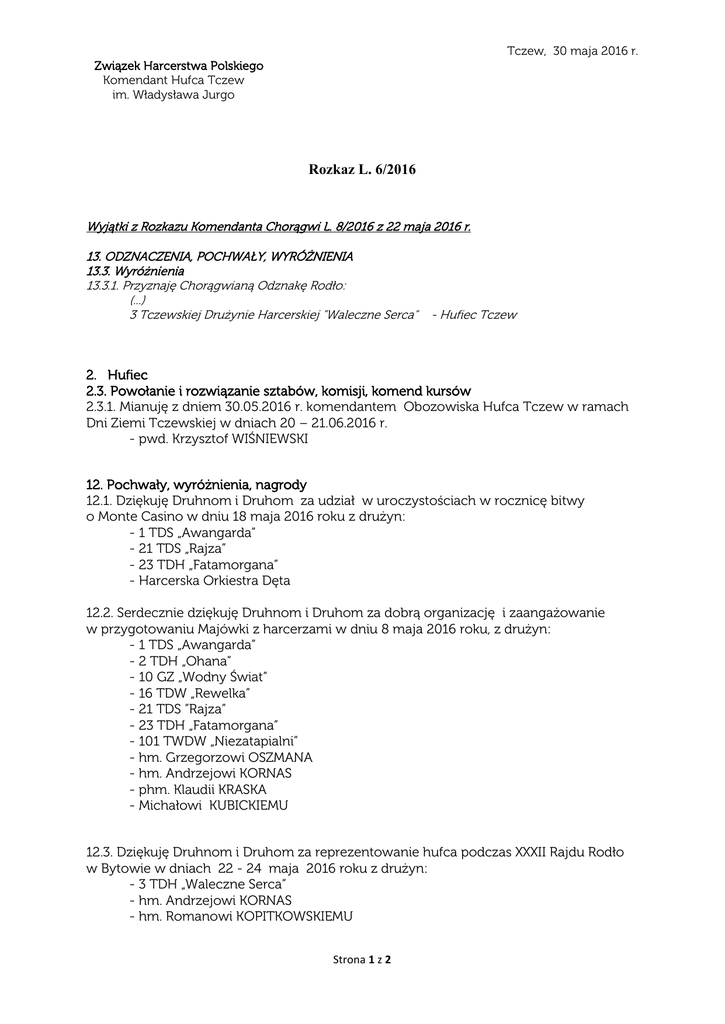
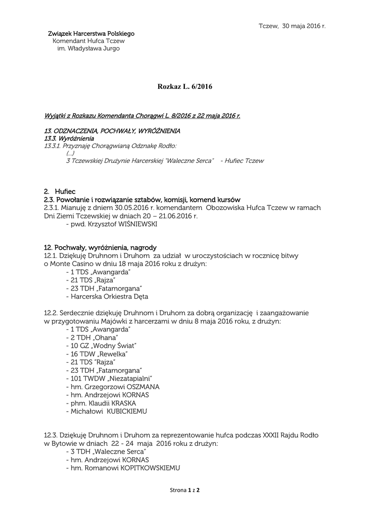
Tczew, 30 maja 2016 r.
Związek Harcerstwa Polskiego
Komendant Hufca Tczew
im. Władysława Jurgo
Rozkaz L. 6/2016
Wyjątki z Rozkazu Komendanta Chorągwi L. 8/2016 z 22 maja 2016 r.
13. ODZNACZENIA, POCHWAŁY, WYRÓŻNIENIA
13.3. Wyróżnienia
13.3.1. Przyznaję Chorągwianą Odznakę Rodło:
(...)
3 Tczewskiej Drużynie Harcerskiej "Waleczne Serca"
- Hufiec Tczew
2. Hufiec
2.3. Powołanie i rozwiązanie sztabów, komisji, komend kursów
2.3.1. Mianuję z dniem 30.05.2016 r. komendantem Obozowiska Hufca Tczew w ramach
Dni Ziemi Tczewskiej w dniach 20 – 21.06.2016 r.
- pwd. Krzysztof WIŚNIEWSKI
12. Pochwały, wyróżnienia, nagrody
12.1. Dziękuję Druhnom i Druhom za udział w uroczystościach w rocznicę bitwy
o Monte Casino w dniu 18 maja 2016 roku z drużyn:
- 1 TDS „Awangarda”
- 21 TDS „Rajza”
- 23 TDH „Fatamorgana”
- Harcerska Orkiestra Dęta
12.2. Serdecznie dziękuję Druhnom i Druhom za dobrą organizację i zaangażowanie
w przygotowaniu Majówki z harcerzami w dniu 8 maja 2016 roku, z drużyn:
- 1 TDS „Awangarda”
- 2 TDH „Ohana”
- 10 GZ „Wodny Świat”
- 16 TDW „Rewelka”
- 21 TDS ”Rajza”
- 23 TDH „Fatamorgana”
- 101 TWDW „Niezatapialni”
- hm. Grzegorzowi OSZMANA
- hm. Andrzejowi KORNAS
- phm. Klaudii KRASKA
- Michałowi KUBICKIEMU
12.3. Dziękuję Druhnom i Druhom za reprezentowanie hufca podczas XXXII Rajdu Rodło
w Bytowie w dniach 22 - 24 maja 2016 roku z drużyn:
- 3 TDH „Waleczne Serca”
- hm. Andrzejowi KORNAS
- hm. Romanowi KOPITKOWSKIEMU
Strona 1 z 2
12.4. Serdecznie dziękuję Druhnom i Druhom za dobrą organizację i zaangażowanie
w przygotowaniu Festynu z okazji Dnia Dziecka w dniu 28 maja 2016 roku, z drużyn:
- 1 TDS „Awangarda”
- 2 TDH „Ohana”
- 10 GZ „Wodny Świat”
- 16 TDW „Rewelka”
- 20 GZ „Leśne Ludki”
- 21 TDS ”Rajza”
- 23 TDH „Fatamorgana”
- 101 TWDW „Niezatapialni”
- hm. Andrzejowi KORNAS
- hm. Grzegorzowi OSZMANA
- phm. Klaudii KRASKA
- Michałowi KUBICKIEMU
Czuwaj !
/-/ phm. Renata ZAPART-KORNAS
Strona 2 z 2