likwidacja ksiazek SP-5 protokół 4

Transkrypt

likwidacja ksiazek SP-5 protokół 4
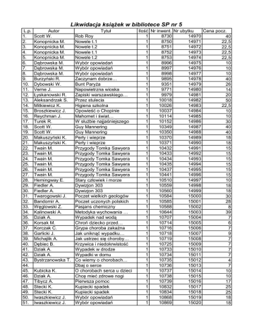
Likwidacja książek w bibliotece SP nr 5
L.p.
1.
2.
3.
4.
5.
6.
7.
8.
9.
10.
11.
12.
13.
14.
15.
16.
17.
18.
19.
20.
21.
22.
23.
24.
25.
26.
27.
28.
29.
30.
31.
32.
33.
34.
35.
36.
37.
38.
39.
40.
41.
42.
43.
44.
45.
46.
47.
48.
49.
50.
51.
Autor
Scott W.
Konopnicka M.
Konopnicka M.
Konopnicka M.
Konopnicka M.
Dąbrowska M.
Dąbrowska M.
Dąbrowska M.
Burzyński R.
Dybowski W.
Verne J.
Łyskanowski R.
Aleksandrzak S.
Mitkiewicz K.
Broszkiewicz J.
Reychman J.
Turek R.
Scott W.
Scott W.
Makuszyński K.
Makuszyński K.
Twain M.
Twain M.
Twain M.
Twain M.
Twain M.
Twain M.
Hemingway E.
Fiedler A.
Fiedler A.
Twarogowski J.
Bandomir A.
Węglowski Z.
Kalinowski A.
Dziak A.
Korsak M.
Korczak C.
Garlicki J.
Michajlik A.
Dębiec B.
Dziak A.
Dziak A.
Bystrzanowska T.
Kubicka K.
Dziak A.
Tibycz A.
Stecki K.
Stecki K.
Iwaszkiewicz J.
Iwaszkiewicz J.
Tytuł
Rob Roy
Nowele t.1
Nowele t.2
Nowele t.1
Nowele t.2
Wybór opowiadań
Wybór opowiadań
Wybór opowiadań
Zaczynam dobrze…
Bunt Paryża
Napowietrzna wioska
Zapiski warszawskiego…
Przez stulecia
Higiena szkolna
Opowieść o Chopinie
Mahomet i świat…
W służbie najjaśniejszego
Guy Mannering
Guy Mannering
Perły i wieprze
Perły i wieprze
Przygody Tomka Sawyera
Przygody Tomka Sawyera
Przygody Tomka Sawyera
Przygody Tomka Sawyera
Przygody Tomka Sawyera
Przygody Tomka Sawyera
Stary człowiek i morze
Dywizjon 303
Dywizjon 303
Poczet wielkich geologów
Poczet uczonych polskich
Pasjans chemiczny
Metodyka wychowania …
Wypadek nad wodą
Chroń dziecko przed…
Grypa choroba zakaźna
Jak uniknąć wypadku…
Jak ustrzec się choroby…
Krzywica i niedokrwistość
Wypadek w drodze
Wypadki w domu
Co wiemy o chorobach…
Dbaj o serce
O chorobach serca u dzieci
Chcę mieć zdrowe nogi
Pierwsza pomoc
Kupiecki spadek
Kupiecki spadek
Wybór opowiadań
Wybór opowiadań
Ilość Nr inwent. Nr ubytku
Cena pocz.
1
8730
14970
40
1
8750
14971
22,5
1
8751
14972
22,5
1
8752
14973
22,5
1
8753
14974
22,5
1
8996
14975
10
1
8997
14976
10
1
8998
14977
10
1
9895
14978
40
1
9351
14979
26
1
9771
14980
14
1
9979
14981
20
1
10018
14982
50
1
10026
14983
22,5
1
10037
14984
10
1
10114
14985
10
1
10152
14986
30
1
10349
14987
40
1
10350
14988
40
1
10370
14989
18
1
10371
14990
18
1
10432
14991
15
1
10433
14992
15
1
10434
14993
15
1
10435
14994
15
1
10437
14995
15
1
10441
14996
15
1
10510
14997
10
1
10559
14998
18
1
10560
14999
18
1
10584
15000
30
1
10585
15001
28
1
10588
15002
8
1
10644
15003
39
1
10707
15004
7
1
10714
15005
6
1
10716
15006
7
1
10718
15007
9
1
10719
15008
7
1
10725
15009
7
1
10733
15010
7
1
10734
15011
7
1
10735
15012
4
1
10736
15013
7
1
10737
15014
10
1
10738
15015
10
1
10739
15016
17
1
10832
15017
25
1
10834
15018
25
1
10868
15019
18
1
10869
15020
18
52.
53.
54.
55.
56.
57.
58.
59.
60.
61.
62.
63.
64.
65.
66.
67.
68.
69.
70.
71.
72.
73.
74.
75.
76.
77.
78.
79.
80.
81.
82.
83.
84.
85.
86.
87.
88.
89.
90.
91.
92.
93.
94.
95.
96.
97.
98.
99.
100.
101.
102.
103.
104.
Wybór opowiadań
Lekkoatletyka
Moje metody pracy…
Opowiadania muzyczne
500 zagadek o dawnym…
Józef Wybicki
Wędrówki górskie…
Matematyka wspólczesna…
Noce i dnie
Matematyka współczesna…
Poetycka twórczość…
Noce i dnie
Noce i dnie
Razem, ale jak?
Kazimierz Pułaski
Wyprawa "Śmiały"
Powtórka
Przygody Tomka Sawyera
Przygody Tomka Sawyera
Przygody Hucka
Szlakiem Kopernika
Dzikie ziele
Dzikie ziele
Vademecum nauczyciela
Leżeński M.
Jarek i Marek bronią…
Anioł A.
Laboratorium przyrody
Nauczanie początkowe…
Kuncewiczowa M. Cudzoziemka
Omiljanowicz A.
Argentyńska mozaika
Jurga B.
Bzura 1939
Lubicz J.
Kościuszko na ziemi…
Górnicki G.
Bitwa szalała do wieczora
Scott W.
Waverley
Scott W.
Waverley
Skrzypek E.
500 zagadek olimpijskich
Gałczyński K.I.
Serwus, Madonna
Lem S.
Eden
Maupassant G.
Paryska przygoda
Haanpaa P.
Wedrujące buciory
Lem S.
Summa technologiae
Sowińska T.
Józef Brandt
Pawlas J.
Józef Pankiewicz
Krawczuk A.
Mitologia starożytnej Italii
Piórkowski J.
Warszawska lekcja…
Metodyka zajęć…
Grzybowski S.
Henryk Walezy
Woźnicka Z.
Było takie lato
Wojtyszko M.
Synteza
Cybis J.
Z biologią za pan brat
Dernałowicz M.
Adam Mickiewicz
Pałęcka J.
Lizbońskie ABC
Olszański T.
Budapesztańskie ABC
Kaden J.
Dzieła wybrane
Iwaszkiewicz J.
Kalinowski A.
Kościowa M.
Iwaszkiewicz J.
Spieralski G.
Zajewski W.
Czarnowski A.
Semadeni Z.
Dąbrowska M.
Semadeni Z.
Semenowicz H.
Dąbrowska M.
Dabrowska M.
Garczyński S.
Kopczewski J.
Kowalski B.
Lem S.
Twain M.
Twain M.
Twain M.
Bałdowski J.
Dąbrowska M.
Dąbrowska M.
1
1
1
1
1
1
1
1
1
1
1
1
1
1
1
1
1
1
1
1
1
1
1
1
1
1
1
1
1
1
1
1
1
1
1
1
1
1
1
1
1
1
1
1
1
1
1
1
1
1
1
1
1
10870
10929
10957
11080
11189
11198
11236
11270
11378
11421
11422
11458
11459
11474
11508
11509
11510
11583
11584
11682
11746
11782
11783
11840
12000
12015
12078
12129
12130
12143
12149
12153
12162
12163
12194
12214
12239
12262
12268
12272
12278
12279
12307
12406
12408
12427
12498
12513
12554
12569
12640
12649
12653
15021
15022
15023
15024
15025
15026
15027
15028
15029
15030
15031
15032
15033
15034
15035
15036
15037
15038
15039
15040
15041
15042
15043
15044
15045
15046
15047
15048
15049
15050
15051
15052
15053
15054
15055
15056
15057
15058
15059
15060
15061
15062
15063
15064
15065
15066
15067
15068
15069
15070
15071
15072
15073
18
30
21
24
25
50
14
28
40
28
55
40
40
30
35
80
18
25
25
35
11
45
45
130
60
60
260
80
200
80
255
140
65
75
120
120
180
140
175
200
50
50
50
150
150
220
145
65
300
230
220
160
380
105.
106.
107.
108.
109.
110.
111.
112.
113.
114.
115.
116.
117.
118.
119.
120.
121.
122.
123.
124.
125.
126.
127.
128.
129.
130.
131.
132.
133.
134.
135.
136.
137.
138.
139.
140.
141.
142.
143.
144.
145.
146.
147.
148.
149.
150.
151.
152.
153.
154.
155.
156.
157.
Kaden J.
Molier
London J.
Adamczyk M.
Zbudniewek S.
Zbudniewek S.
Zbudniewek S.
Ziemiański A.
Ziemiański A.
Pełzowski A.
Latoś H.
Pełzowski A.
Pełzowski A.
Tazbir J.
Tazbir J.
Eustachiewicz L.
Masłowski M.
Wieczerska J.
Jurowska
Klima F.
Kozłowski A.
Stobiński J.
Sękowski S.
Soroka M.
Wernic W.
Wernic W.
London J.
London J.
Mitchell L.M.
Mitchell L.M.
Mitchell L.M.
Mitchell L.M.
Mitchell L.M.
Mitchell L.M.
Kaltenbergh L.
Kosko L.
Dobrowolska J.
Dobrowolska J.
Reymont W.
Reymont W.
Reymont W.
Reymont W.
Prus B.
Prus B.
Prus B.
Prus B.
Fontaine
Sienkiewicz H.
Kownacka M.
Boy
Łopalewski T.
Nałkowska Z.
Dzieła wybrane
Świętoszek
Maleńka pani…
Konstytucje polskie
Warsztat młodego…
Warsztat młodego…
Warsztat młodego…
Daimanion
Daimanion
Plastyka w klasach I-III
Polska w latach 1918-39
500 zagadek fotograficz.
Plastyka w klasach I-III
Plastyka w klasach I-III
Spotkania z historią
Spotkania z historią
Dramaturgia wspólczesna
Piotr Michałowski
Zawsze jakieś jutro
wyprawa kapitana…
500 zagadek geograficz.
Z geologią za pan brat
Chemiczne laboratoria…
Efektowna chemia
Polskie okręty wojenne
Słońce Arizony
Skarby Mackenzie
Martin Eden
Martin Eden
Przeminęło z wiatrem t.1
Przeminęło z wiatrem t.2
Przeminęło z wiatrem t.3
Przeminęło z wiatrem t.1
Przeminęło z wiatrem t.2
Przeminęło z wiatrem t.3
Żołnierz taty Bema
Mitologia ludów Syberii
Żywe wotum
Żywe wotum
Chłopi t.1
Chłopi t.2
Chłopi t.3
Chłopi t.4
Wybór nowel
Wybór nowel
Wybór nowel
Wybór nowel
Bajki
Bez dogmatu
Cztery mile za piec
Słówka
Niebezpieczne…
Medaliony
1
1
1
1
1
1
1
1
1
1
1
1
1
1
1
1
1
1
1
1
1
1
1
1
1
1
1
1
1
1
1
1
1
1
1
1
1
1
1
1
1
1
1
1
1
1
1
1
1
1
1
1
1
12654
12850
12978
12990
13040
13041
13042
13133
13134
13194
13214
13215
13278
13279
13364
13365
13422
13540
13605
13936
14131
14325
14326
14357
14404
15213
15256
15337
15345
15509
15510
15511
15512
15513
15514
15759
15859
16063
16064
8516
8517
8518
8519
9162
9164
9165
9169
9659
9936
10030
10040
10075
10206
15074
15075
15076
15077
15078
15079
15080
15081
15082
15083
15084
15085
15086
15087
15088
15089
15090
15091
15092
15093
15094
15095
15096
15097
15098
15099
15100
15101
15102
15103
15104
15105
15106
15107
15108
15109
15110
15111
15112
15113
15114
15115
15116
15117
15118
15119
15120
15121
15122
15123
15124
15125
15126
380
120
135
210
110
110
110
100
100
125
450
170
125
125
200
200
270
120
280
180
200
750
480
680
420
2550
6300
10000
10000
15000
15000
15000
15000
15000
15000
50
3000
3000
3000
15
15
15
15
10
10
10
10
70
30
60
20
3,65
5
158.
159.
160.
161.
162.
163.
164.
165.
166.
167.
168.
169.
170.
171.
172.
173.
174.
175.
176.
177.
178.
179.
180.
181.
182.
183.
184.
185.
186.
187.
188.
189.
190.
191.
192.
193.
194.
195.
196.
197.
198.
199.
200.
201.
202.
203.
204.
205.
206.
207.
208.
209.
210.
Słowacki J.
Gardawski A.
Reymont W.
Reymont W.
Reymont W.
Reymont W.
Reymont W.
Reymont W.
Orłowski B.
Kozak W.
Elszteinn P.
Tulicki L.
Wolter H.
Voynich E.
Życzyński J.
Adriański
Hanus Z.
Bąk P.
Wróbel T.
Słowacki J.
Orzeszkowa E.
Orzeszkowa E.
Orzeszkowa E.
Orzeszkowa E.
Rymaszewska
Wróbel T.
Jęczyk L.
Jakubowski Z.
Nagajowa M.
Malmquist E.
Goock R.
Goock R.
Sawaszkiewicz J.
Jóźwicki T.
Ałmazow B.
Szatkowski N.
Prus B.
Prus B.
Prus B.
Mickiewicz A.
Mickiewicz A.
Mickiewicz A.
Mickiewicz A.
Wagner K.
Rutha B.
Przyłubska E.
Wittlin J.
Okidżawa B.
Kłuszancew P.
Parandowski J.
Balladyna
Ziemia odsłania…
Chłopi t.2
Chłopi t.1
Chłopi t.2
Chłopi t.1
Chłopi t.1
Chłopi t.2
Poczet polskich…
Radioamatorstwo…
Budowa i pilotaż…
O tzw. żółtaczce…
Oczy zdrowe…
Szerszeń
Pi plus oko
Piśni sercu bliskie
Kulisy kroju i szycia
Gramatyka j.polskiego
Współczesne tendencje…
Balladyna
Opowiadania
Opowiadania
Opowiadania
Opowiadania
Dziecko w mieszkaniu
Współczesne tendencje…
Czy ti pies, czy to bies
Porozmawiajmy o poezji
Słowo do słowa
Dzieje Tristana i Izoldy
Dzieje Tristana i Izoldy
Nauka czytania w szkole…
Zrób to sam
Zrób to sam
Kronika Akaszy
Opowiadanie jako forma…
Mój piękny złoty koń
W zimowej kniei
Placówka
Placówka
Placówka
Ballady i romanse
Ballady i romanse
Ballady i romanse
Ballady i romanse
Budowa plastykowych…
Opowieści z Davos
Język polski na co dzien
Przedstawiamy humor…
Zamek nadziei
Kiermasz rozmaitości
Oczym opowiedział …
Niebo w płomieniach
1
1
1
1
1
1
1
1
1
1
1
1
1
1
1
1
1
1
1
1
1
1
1
1
1
1
1
1
1
1
1
1
1
1
1
1
1
1
1
1
1
1
1
1
1
1
1
1
1
1
1
1
1
10235
10517
10570
10571
10572
10573
10575
10578
10586
10591
10638
10706
10740
10915
10942
11081
11096
11265
11370
11377
11379
11380
11381
11383
11419
11427
11457
11640
11713
11778
11779
11841
11856
11857
12068
12085
12104
12128
12139
12140
12141
12165
12166
12167
12168
12179
12229
12237
12253
12260
12261
12303
12343
15127
15128
15129
15130
15131
15132
15133
15134
15135
15136
15137
15138
15139
15140
15141
15142
15143
15144
15145
15146
15147
15148
15149
15150
15151
15152
15153
15154
15155
15156
15157
15158
15159
15160
15161
15162
15163
15164
15165
15166
15167
15168
15169
15170
15171
15172
15173
15174
15175
15176
15177
15178
15179
20
9
50
50
50
50
50
50
22
52
50
10
7
35
20
32
65
50
36
20
22
22
22
22
18
36
14
69
55
50
50
30
30
30
95
65
70
110
70
70
70
30
30
30
30
150
130
140
120
300
48
150
130
211.
212.
213.
214.
215.
216.
217.
218.
219.
220.
221.
222.
223.
224.
225.
226.
227.
228.
229.
230.
231.
232.
233.
234.
235.
236.
237.
238.
239.
240.
241.
242.
243.
244.
245.
246.
247.
248.
249.
250.
251.
252.
253.
254.
255.
256.
257.
258.
259.
260.
261.
262.
263.
Parandowski J.
Skrodzka Z.
Szczepański J.
Nałkowska Z.
Nałkowska Z.
Nałkowska Z.
Nałkowska Z.
Nałkowska Z.
Handke R.
Wawrzykowska
Wawrzykowska
Wawrzykowska
Dickens K.
Dygasiński A.
Dygasiński A.
Dygasiński A.
Dygasiński A.
Dygasiński A.
Dygasiński A.
Dygasiński A.
Szołochow M.
Rodziewiczówna
Szaniawski J.
Szaniawski J.
Szaniawski J.
Szaniawski J.
Szaniawski J.
Loboziewicz T.
Słowacki J.
Słowacki J.
Chrząstowska
Żukrowski W.
Żukrowski W.
Galant J.
Galant J.
Polański E.
Czechow A.
Żukrowski W.
Komornicka A.
Komornicka A.
Zajfen M.
Prus B.
Prus B.
Prus B.
Prus B.
Reed J.
Zeromski S.
Żukrowski W.
Żukrowski W.
Bortnowski S.
Prus B.
Niebo w płomieniach
Kompoty, marynaty…
Sprawy ludzkie
Medaliony
Medaliony
Medaliony
Medaliony
Medaliony
O czytaniu
Kiermasz rozmaitości
Pieśń nadziei i …
Pieśń nadziei i …
Pieśń nadziei i …
Opowieści wigilijne
As
As
AS
As
As
Wilk, psy i ludzie
Wilk, psy i ludzie
Los człowieka
Czahary
Profesor Tutka
Profesor Tutka
Profesor Tutka
Profesor Tutka
Profesor Tutka
Hartować czy chorować
Polskie skrzydła
Fantazy
Fantazy
Kształcenie literackie w kl.7
Córeczka
Córeczka
Dostrzeganie i rozwijanie…
Dostrzeganie i rozwijanie…
Dydaktyka ortografii…
Święta noc i…
Opowiadania z czasu…
Historie nie z tej ziemi
Historie nie z tej ziemi
Poradnik kosmetyczny…
Placówka
Placówka
Placówka
Placówka
Dziesięć dni, które…
Ludzie bezdomni
Z kraju milczenia
Z kraju milczenia
Spór z polonistyką…
Anielka
1
1
1
1
1
1
1
1
1
1
1
1
1
1
1
1
1
1
1
1
1
1
1
1
1
1
1
1
1
1
1
1
1
1
1
1
1
1
1
1
1
1
1
1
1
1
1
1
1
1
1
1
1
12344
12347
12356
12363
12364
12365
12366
12367
12401
12411
12603
12605
12607
12756
12832
12833
12834
12835
12836
12839
12840
12846
12861
12876
12877
12878
12879
12880
12941
12991
13121
13122
13209
13223
13224
13689
13690
13696
13719
13780
13978
13979
14007
14235
14236
14237
14239
14270
14315
14419
14421
14436
14868
15180
15181
15182
15183
15184
15185
15186
15187
15188
15189
15190
15191
15192
15193
15194
15195
15196
15197
15198
15199
15200
15201
15202
15203
15204
15205
15206
15207
15208
15209
15210
15211
15212
15213
15214
15215
15216
15217
15218
15219
15220
15221
15222
15223
15224
15225
15226
15227
15228
15229
15230
15231
15232
130
80
300
26
26
26
26
26
130
48
220
220
220
290
55
55
55
55
55
40
40
25
200
160
160
160
160
160
80
680
90
90
55
100
100
250
250
200
400
220
230
230
200
250
250
250
250
380
460
300
300
380
250
264.
265.
266.
267.
268.
269.
270.
271.
272.
273.
274.
275.
276.
277.
278.
279.
280.
281.
282.
283.
284.
285.
286.
287.
288.
289.
290.
291.
292.
293.
294.
295.
296.
297.
Prus B.
Żukrowski W.
Żukrowski W.
Drabek J.
Curwood J.
Curwood J.
Curwood J.
Curwood J.
Curwood J.
Mrożek S.
Mrożek S.
Mrożek S.
Mrożek S.
Mrożek S.
Mrożek S.
Mrożek S.
Mrożek S.
London J.
Defoe D.
Defoe D.
Defoe D.
Collodi C.
Curwood J.
Curwood J.
Curwood J.
Prus B.
Kochanowski J.
Pollock
Orzeszkowa E.
Orzeszkowa E.
Sienkiewicz H.
Defoe D.
Komornicka A.
Anielka
Z kraju milczenia
Z kraju milczenia
1000 słów o mapach…
Włóczęgi Północy
Włóczęgi Północy
Włóczęgi Północy
Włóczęgi Północy
Włóczęgi Północy
Nauczanie j.polskiego
Tango
Tango
Tango
Tango
Tango
Tango
Tango
Tango
Martin Eden
Przypadki Robinsona…
Przypadki Robinsona…
Przypadki Robinsona…
Pinokio
Włóczęgi Północy
Włóczęgi Północy
Włóczęgi Północy
Anielka
Odprawa posłów…
Zagrożenie
A…B…C…
A…B…C…
Bartek Zwycięzca
Przypadki Robinsona…
Historie nie z tej ziemi
1
1
1
1
1
1
1
1
1
1
1
1
1
1
1
1
1
1
1
1
1
1
1
1
1
1
1
1
1
1
1
1
1
1
14872
14919
14922
15138
15171
15176
15181
15185
15186
15237
15258
15259
15261
15263
15264
15265
15266
15267
15341
15377
15381
15389
15486
15494
15499
15500
15676
15773
15884
16086
16087
16114
16327
16330
15233
15234
15235
15236
15237
15238
15239
15240
15241
15242
15243
15244
15245
15246
15247
15248
15249
15250
15251
15252
15253
15254
15255
15256
15257
15258
15259
15260
15261
15262
15263
15264
15265
15266
po
denominacji
250
300
300
4500
2000
2000
2000
2000
2000
750
3000
3000
3000
3000
3000
3000
3000
3000
10000
15000
15000
15000
15000
3000
3000
3000
80
20
10000
10000
10000
20000
5000
5000
332170,15
33,21