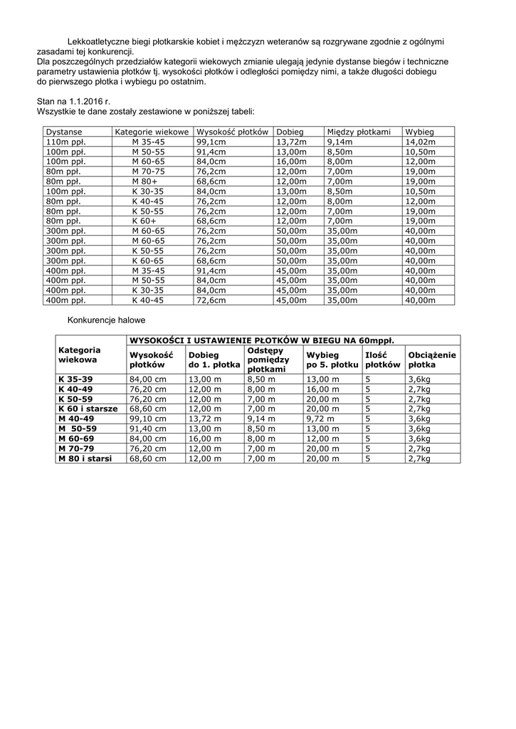
Lekkoatletyczne biegi płotkarskie kobiet i mężczyzn

Transkrypt

Lekkoatletyczne biegi płotkarskie kobiet i mężczyzn
Lekkoatletyczne biegi płotkarskie kobiet i mężczyzn weteranów są rozgrywane zgodnie z ogólnymi
zasadami tej konkurencji.
Dla poszczególnych przedziałów kategorii wiekowych zmianie ulegają jedynie dystanse biegów i techniczne
parametry ustawienia płotków tj. wysokości płotków i odległości pomiędzy nimi, a także długości dobiegu
do pierwszego płotka i wybiegu po ostatnim.
Stan na 1.1.2016 r.
Wszystkie te dane zostały zestawione w poniższej tabeli:
Dystanse
110m ppł.
100m ppł.
100m ppł.
80m ppł.
80m ppł.
100m ppł.
80m ppł.
80m ppł.
80m ppł.
300m ppł.
300m ppł.
300m ppł.
300m ppł.
400m ppł.
400m ppł.
400m ppł.
400m ppł.
Kategorie wiekowe
M 35-45
M 50-55
M 60-65
M 70-75
M 80+
K 30-35
K 40-45
K 50-55
K 60+
M 60-65
M 60-65
K 50-55
K 60-65
M 35-45
M 50-55
K 30-35
K 40-45
Wysokość płotków
99,1cm
91,4cm
84,0cm
76,2cm
68,6cm
84,0cm
76,2cm
76,2cm
68,6cm
76,2cm
76,2cm
76,2cm
68,6cm
91,4cm
84,0cm
84,0cm
72,6cm
Dobieg
13,72m
13,00m
16,00m
12,00m
12,00m
13,00m
12,00m
12,00m
12,00m
50,00m
50,00m
50,00m
50,00m
45,00m
45,00m
45,00m
45,00m
Między płotkami
9,14m
8,50m
8,00m
7,00m
7,00m
8,50m
8,00m
7,00m
7,00m
35,00m
35,00m
35,00m
35,00m
35,00m
35,00m
35,00m
35,00m
Wybieg
14,02m
10,50m
12,00m
19,00m
19,00m
10,50m
12,00m
19,00m
19,00m
40,00m
40,00m
40,00m
40,00m
40,00m
40,00m
40,00m
40,00m
Konkurencje halowe
Kategoria
wiekowa
K 35-39
K 40-49
K 50-59
K 60 i starsze
M 40-49
M 50-59
M 60-69
M 70-79
M 80 i starsi
WYSOKOŚCI I USTAWIENIE PŁOTKÓW W BIEGU NA 60mppł.
Odstępy
Wysokość
Dobieg
Wybieg
Ilość
pomiędzy
płotków
do 1. płotka
po 5. płotku płotków
płotkami
84,00 cm
13,00 m
8,50 m
13,00 m
5
76,20 cm
12,00 m
8,00 m
16,00 m
5
76,20 cm
12,00 m
7,00 m
20,00 m
5
68,60 cm
12,00 m
7,00 m
20,00 m
5
99,10 cm
13,72 m
9,14 m
9,72 m
5
91,40 cm
13,00 m
8,50 m
13,00 m
5
84,00 cm
16,00 m
8,00 m
12,00 m
5
76,20 cm
12,00 m
7,00 m
20,00 m
5
68,60 cm
12,00 m
7,00 m
20,00 m
5
Obciążenie
płotka
3,6kg
2,7kg
2,7kg
2,7kg
3,6kg
3,6kg
3,6kg
2,7kg
2,7kg