Internet – „Nowa 24” Regulamin Oferty Specjalnej dla Usługi

Transkrypt

Internet – „Nowa 24” Regulamin Oferty Specjalnej dla Usługi
Internet – „Nowa 24”
Regulamin Oferty Specjalnej dla Usługi Internet w Ornet Sieci
zwany dalej „Ofertą Specjalną”
Pojęcia niezdefiniowane w niniejszym Regulaminie Oferty Specjalnej, a zdefiniowane w Regulaminie Świadczenia Usługi Internet w Ornet Sieci Sp. z o.o.
lub Ustawie z dnia 16 lipca 2004r. Prawo telekomunikacyjne (Dz. U. Nr 171, poz. 1800, z późn. zm.), użyte zostały zgodnie ze znaczeniami nadanymi im
przez ww. dokumenty.
1. Warunki ogólne
1.1
Oferta Specjalna obowiązuje w okresie od 01.07.2016 roku do 30.08.2016 roku i jest skierowana zarówno do obecnych jak i do nowych
Klientów Operatora, którzy spełnią warunki określone w punkcie 1.2.
1.2
Ofertą Specjalną objęci zostają Klienci, którzy w okresie od 01.07.2016 roku do 30.08.2016 roku spełnią poniższe warunki:
1.2.1
Klienci, którzy nie mają zawartej z Operatorem Umowy o świadczenie usług internetowych (zwanej dalej „Umową”): podpiszą z
Operatorem Umowę na czas określony 24 miesięcy na warunkach określonych w Regulaminie Świadczenia Usług Internetowych w
Ornet Sieci Sp. z o.o. przez Ornet Sieci Sp. z o.o., Umowie oraz Ofercie Specjalnej.
1.2.2
Klienci, którzy mają zawartą Umowę o świadczenie usług internetowych (zwanej dalej „Umową”) na czas nieokreślony: podpiszą z
Operatorem Aneks do Umowy, zmieniający Okres Świadczenia Usługi na 24 miesiące (liczony od pierwszego dnia kolejnego Okresu
Rozliczeniowego). Wówczas Usługa będzie świadczona na warunkach określonych w Regulaminie Świadczenia Usług Internetowych
w Ornet Sieci Sp. z o.o. przez Ornet Sieci Sp. z o.o., Umowie oraz Ofercie Specjalnej
1.2.3
Oferta jest ograniczona terytorialnie. Ofertą specjalną są objęci klienci, którzy na dzień 01.01.2016 r. znajdują się w zasięgu Ornet
Sieci Sp. z o.o.
1.3
Po zakończeniu okresu obowiązywania Umowy, o ile Klient w terminie do 30 dni przed jej upływem nie zgłosi rezygnacji z usługi Umowa
automatycznie przekształca się w Umowę zawartą na czas nieokreślony, na warunkach dotychczasowych.
1.4
W przypadku rozwiązania Umowy, zawartej na warunkach Oferty Specjalnej, przed zakończeniem okresu 24 miesięcy, o którym mowa w
punkcie 1.2.1 i 1.2.2, jeżeli Umowa jest rozwiązana jednostronnie przez Klienta, lub przez Operatora z winy Klienta, Operator będzie miał
prawo do naliczenia kary umownej:
1.4.1
w wysokości określonej w pkt. 2.1 wynikającej z ulgi przyznanej w ramach Oferty Specjalnej w zakresie opłaty aktywacyjnej
pomniejszonej o jej proporcjonalną wartość za okres od dnia zawarcia Umowy do dnia jej rozwiązania oraz,
1.4.2
w wysokości równej różnicy między opłatami abonamentowymi w standardowym Cenniku Usług Internetowych, a opłatami
wynikającymi z Cennika Oferty Specjalnej, określonymi w Tabeli 1 poniżej za okres, na jaki Umowa została zawarta, pomniejszonej o
jej proporcjonalną wartość za okres od dnia zawarcia Umowy do dnia jej rozwiązania. Wysokość przyznanej Klientowi ulgi w związku z
Ofertą Specjalną, określona jest w Tabeli 1 poniżej.
2. Zakres Oferty Specjalnej
2.1
W ramach Oferty Specjalnej Operator udzieli Klientom, spełniającym warunek określony w pkt 1.2.1 i 1.2.2, ulgi abonamentowej i
aktywacyjnej w ramach, której opłaty te wynoszą:
2.2
Pakiet Na początek do 2 Mb – opłata abonamentowa stała w kwocie 39 zł brutto za każdy miesiąc przez okres trwania umowy.
Jednorazowa opłata aktywacyjna 79 zł brutto
2.2.1
Pakiet Codzienny do 6 MB/s - 1 zł brutto za każdy z trzech pierwszych miesięcy trwania umowy, po tym okresie 49 zł brutto, za każdy
następny miesiąc rozliczeniowy. Jednorazowa opłata aktywacyjna za przyłączenie do sieci 79 zł brutto.
2.2.2
Pakiet Szybki do 12 MB/s – 1 zł brutto za każdy z trzech pierwszych miesięcy trwania umowy, po tym okresie 79 zł brutto, za każdy
następny miesiąc rozliczeniowy. Jednorazowa opłata aktywacyjna za przyłączenie do sieci 49 zł brutto.
2.2.3
Pakiet Błyskawiczny do 20 MB/s – 1 zł brutto za każdy z trzech pierwszych miesięcy trwania umowy, po tym okresie 99 zł , za każdy
następny miesiąc rozliczeniowy. Jednorazowa opłata aktywacyjna za przyłączenie do sieci 49 zł brutto
2.2.4
W ramach oferty specjalnej Operator oferuje specjalne warunki i opłaty za poszczególne Pakiety usług internetowych w Ornet Sieci
wymienione w punktach od 2.2 do 2.2.3, obowiązujące przez okres 24 miesięcy od daty uruchomienia Usługi, który stanowi minimalny
okres wymagany do skorzystania z warunków Oferty Specjalnej.
2.3
W ramach Oferty Specjalnej Operator przyznaje klientom objętych Ofertą Promocyjną Internet NOWA 24 ulgi z tytułu uczestnictwa w
promocji:
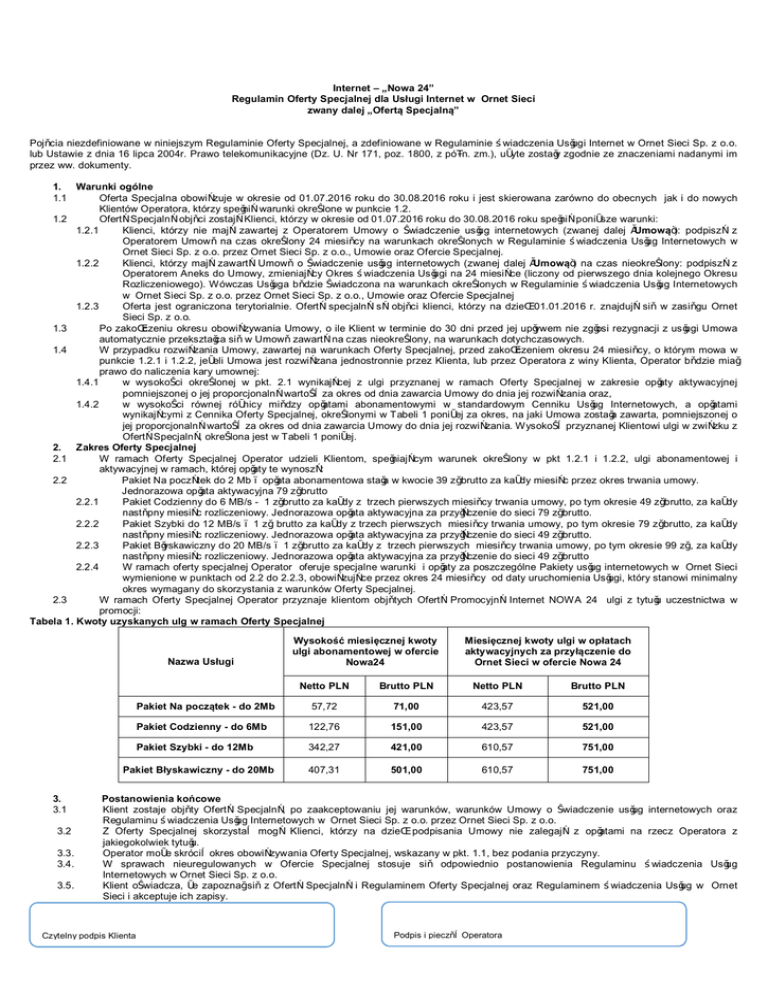
Tabela 1. Kwoty uzyskanych ulg w ramach Oferty Specjalnej
Nazwa Usługi
Brutto PLN
Netto PLN
Brutto PLN
57,72
71,00
423,57
521,00
Pakiet Codzienny - do 6Mb
122,76
151,00
423,57
521,00
Pakiet Szybki - do 12Mb
342,27
421,00
610,57
751,00
407,31
501,00
610,57
751,00
Pakiet Błyskawiczny - do 20Mb
3.2
3.3.
3.4.
3.5.
Miesięcznej kwoty ulgi w opłatach
aktywacyjnych za przyłączenie do
Ornet Sieci w ofercie Nowa 24
Netto PLN
Pakiet Na początek - do 2Mb
3.
3.1
Wysokość miesięcznej kwoty
ulgi abonamentowej w ofercie
Nowa24
Postanowienia końcowe
Klient zostaje objęty Ofertą Specjalną, po zaakceptowaniu jej warunków, warunków Umowy o świadczenie usług internetowych oraz
Regulaminu Świadczenia Usług Internetowych w Ornet Sieci Sp. z o.o. przez Ornet Sieci Sp. z o.o.
Z Oferty Specjalnej skorzystać mogą Klienci, którzy na dzień podpisania Umowy nie zalegają z opłatami na rzecz Operatora z
jakiegokolwiek tytułu.
Operator może skrócić okres obowiązywania Oferty Specjalnej, wskazany w pkt. 1.1, bez podania przyczyny.
W sprawach nieuregulowanych w Ofercie Specjalnej stosuje się odpowiednio postanowienia Regulaminu Świadczenia Usług
Internetowych w Ornet Sieci Sp. z o.o.
Klient oświadcza, że zapoznał się z Ofertą Specjalną i Regulaminem Oferty Specjalnej oraz Regulaminem Świadczenia Usług w Ornet
Sieci i akceptuje ich zapisy.
Czytelny podpis Klienta
Podpis i pieczęć Operatora