SPECYFIKACJA TECHNICZNA Załącznik nr 9

Transkrypt

SPECYFIKACJA TECHNICZNA Załącznik nr 9
SPECYFIKACJA TECHNICZNA Załącznik nr 9
1.
OPIS PRZEDMIOTU ZAMÓWIENIA
1.1 Przedmiotem postępowania jest zamówienie pn „Modernizacja Systemu Informacji
Przestrzennej Gminy Stalowa Wola”, w zakresie określonym w punkcie 1 Specyfikacji
Technicznej oraz w załączniku nr 1 do Specyfikacji technicznej. Zamówienie realizuje
Gmina Stalowa Wola.
1.2. Opis stanu aktualnego SIP Gminy Stalowa Wola:
1.2.1. Infrastrukturę sprzętową Systemu stanowią serwery sprzętowe Gminy Stalowa Wola
znajdujące się w Wydziale ds. Informatyzacji Urzędu, na których zainstalowane jest
oprogramowanie systemowe, bazodanowe i aplikacyjne oraz komputery biurowe, na
których wykorzystywane są aplikacje typu Desktop GIS oraz WebGIS. Budynki Urzędu
Gminy są połączone ze sobą siecią światłowodową. Na potrzeby SIP-u Gmina jest w
stanie zapewnić łącze o przepustowości 2Mb/2Mb.
1.2.2. Do przygotowywania danych, ich obróbki, tworzenia wizualizacji kartograficznych, map i
analiz wykorzystywane jest oprogramowanie typu desktop GIS firmy Esri (ArcGIS
Desktop w wersji 9.3) które, zostało zainstalowane na stacjach roboczych w różnych
wydziałach korzystających z danych GIS. Oprogramowanie jest na licencji sieciowej, co
oznacza że może być zainstalowane na dowolnej liczbie komputerów, ale w danej chwili
może być wykorzystywana tylko taka liczba licencji jaką posiada serwer licencji.
Łącznie UG posiada 5 licencji oprogramowania ArcGIS Desktop na 2 poziomach
licencyjnych - 3 licencje Desktop Basic (ArcView), 2 licencje Desktop Standard
(ArcEditor).
1.2.3. Na serwerze bazy danych została zainstalowana baza DB2 przechowująca dane
przestrzenne.
1.2.4. Na serwerze aplikacji zostało zainstalowane oprogramowanie ArcIMS 9.3 (serwer
mapowy) oraz oprogramowanie aplikacyjne do udostępniania danych w Internecie
poprzez aplikację typu WebGIS.
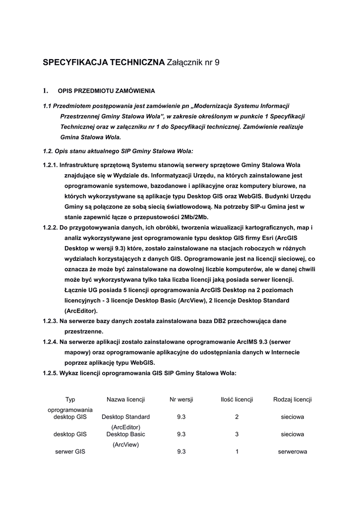
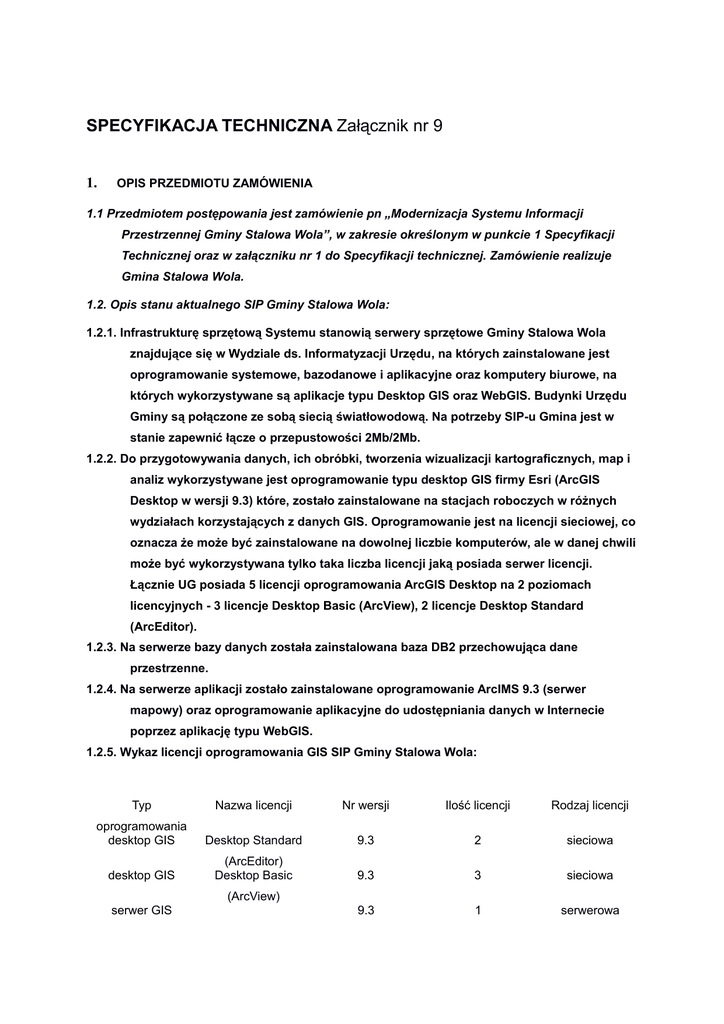
1.2.5. Wykaz licencji oprogramowania GIS SIP Gminy Stalowa Wola:
Typ
Nazwa licencji
Nr wersji
Ilość licencji
Rodzaj licencji
oprogramowania
desktop GIS
Desktop Standard
9.3
2
sieciowa
desktop GIS
(ArcEditor)
Desktop Basic
9.3
3
sieciowa
9.3
1
serwerowa
(ArcView)
serwer GIS
Serwer RDBMS
ArcIMS
ArcSDE
9.3
1
serwerowa
1.2.6. Aplikacja WebGIS oferuje kilka serwisów o różnych poziomach dostępności w zakresie
prezentowanych danych tematycznych. Z poziomu użytkownika zdefiniowanego, jako
gość (guest) – aplikacja jest dostępna powszechnie. System proponuje dla
użytkowników tego typu trzy serwisy o różnej zawartości:
Plan Miasta
• Zakres danych:
• Granice: Granice miasta, Granice obrębów, Granice działek
• Tereny otwarte: Ustalenia, Lasy, Zieleń niska, Ogródki działkowe, Wody, Tereny rolne
• Obowiązujące plany miejscowe: MPZP
• Zabudowa: Obszary zabudowane, Budynki (widoczne przy skali 1: 10000), Budynki (widoczne
przy skali większej niż 1: 5000), Nazwy osiedli, Punkty adresowe
• Sieć komunikacyjna: Koleje (widoczne przy skali większej niż 1: 1000), Koleje, Drogi
• Ważne obiekty: Apteki, Opieka zdrowotna, Dworce
• Ortofotomapa: Ortofotomapa
• Tło: Tło
• Narzędzia:
• Pliki: Drukowanie
• Widok: Legenda, Ustawianie jednostek, Powiększanie do pełnej mapy, Powiększanie do
aktywnej warstwy
• Wyszukiwanie: Adresów, Planów
• Selekcja: Wyczyszczenie selekcji (pomiaru)
• Pomoc
• Powiększanie mapy
• Pomniejszanie mapy
• Powiększanie do pełnej mapy
• Przełączanie pomiędzy legendą i listą warstw
• Przywracanie poprzedniego rozmiaru mapy
• Przesuwanie mapy
• Pomiar odległości
• Wyczyszczenie selekcji (pomiaru)
• Skala: możliwość wybierania przedziałów skalowych (1:500, 1000, 5000, 10000, 50000,
100000)
• Odświeżanie mapy
Bezpieczeństwo publiczne
• Zakres danych:
• Rejony: Policja
• Tło: Obszary zabudowane, Budynki (widoczne przy skali 1:10 000), Budynki (widoczne przy
skali większej niż 1:5000), Punkty adresowe, Drogi, Lasy, Zieleń niska, Ogródki działkowe,
Wody
• Narzędzia
• analogiczne jak w przypadku serwisu Plan Miasta
Fizjografia
• Zakres danych:
• Użytkowanie terenu: Użytkowanie terenu
• Rzeźba: Hipsometria, Rzeźba terenu
• Tło: Obszary zabudowane, Budynki (widoczne przy skali 1:10 000), Budynki (widoczne przy
skali większej niż 1:5000), Punkty adresowe, Drogi, Lasy, Zieleń niska, Ogródki działkowe,
Wody
• Narzędzia:
• analogicznie jak w przypadku serwisów Plan Miasta i Bezpieczeństwo Publiczne
Gminny geoportal, oprócz wyżej wymienionych szeroko-dostępnych serwisów, wystawia
trzynaście wewnętrznych serwisów dostępnych dla Wydziałów i pracowników korzystających z
SIP. Dostęp do poszczególnych z nich jest administrowany i ograniczony kontami użytkownika
lub hasłami.
Serwis wewnętrzny
• Zakres danych:
• Granice
• Zagospodarowanie terenu
• Użytkowanie terenu i inwestycje
• Miejscowy plan zagospodarowania
• Zabudowa
• Infrastruktura społeczna
• Sieć komunikacyjna
• Wodociągi i kanalizacja
• Ekologia
• Rzeźba terenu
• Tło
Bezpieczeństwo publiczne
• Zakres danych:
• Wydarzenia policyjne: Wydarzenia policyjne
• Policja: Dzielnicowi
• Tło: Obszary zabudowane, Budynki, Budynki, Adresy, Ulice, Lasy, Zieleń niska, Ogródki
działkowe, Wody, Nazwy osiedli
Fizjografia
• Zakres danych:
• Użytkowanie terenu: Użytkowanie terenu
• Rzeźba: Hipsometria, Rzeźba terenu
• Tło: Obszary zabudowane, Budynki, Budynki, Adresy, Ulice, Lasy, Zieleń niska, Ogródki
działkowe, Wody
Plany miejscowe
• Zakres danych:
• Działki/adresy: Adresy, Działki
• Budynki/ulice: Ulice, Budynki (duża skala), Zabudowa (zgeneralizowana)
• Plany miejscowe: Obszary objęte MPZP, Obszary zamknięte, Tereny zamknięte, Tereny
przeznaczone pod zabudowę, Przeznaczenie terenu
• Studium: Kierunki zagospodarowania
• Struktura własności: Charakter własności
• Klasoużytki: Klasoużytki – klasy, Klasoużytki – typy
• Obręby
Ochrona środowiska
• Adresy
• Budynki/ulice
• Granica/tło
• Obszary/obiekty chronione: Pomniki przyrody, Obszar ECONET, Obszar CORINE, Obszar
ochrony przyrody, Lasy ochronne
• Wody podziemne: Wg. miąższości, Wg. głębokości zalegania, Wg. wydajności, Wg. stopnia
izolacji, Lej depresyjny
• Zagadnienia glebowe: Bonitacja gleb – ewidencja
• Wyłącznie gruntów z produkcji rolniczej
• Poziomice
Infrastruktura transportowa
• Adresy
• Budynki: Budynki (duża skala), Zabudowa (zgeneralizowana)
• Transport kolejowy: Dworce i przystanki kolejowe, Odcinki tras kolejowych
• Transport kołowy: Przystanki komunikacji, Ulice
• Place przeznaczone dla ruchu pieszego
• Granice: Granica, Tło
Infrastruktura sieci
• Adresy
• Budynki/ulice: Ulice, Budynki (duża skala), Zabudowa (zgeneralizowana)
• Infr. ciepłownicza: Sieć ciepłownicza, Siec ciepłownicza
• Infr. energetyczna: Linie energetyczne, Stacje rozdzielcze, Stacje transformatorowe, Źródło
ciepła/energii
• Infrastruktura gazownicza: Stacja gazowa redukcyjno-pomiarowa, Stacja gazowa redukcyjnopomiarowa
• Infr. kanalizacyjna: Przelew burzowy, Wydajność przepompowni kanalizacyjnej, Oczyszczalnia
ścieków
• Infr. zarządzania odpadami: Składowisko odpadów
• Infr. przeciwpowodziowa: Obiekty regulacji rzek, Wał przeciwpowodziowy
• Infr. wodociągowa: Strefa ochrony ujęć wody, Zakłady uzdatniania wody, Zbiorniki
wodociągowe, Ujęcia wody podziemnej, Sieć wodociągowa, Sieć wod. – materiał przewodu
sieci wodociągowej, Sieć wod. – średnica przewodu wodociągowego
• Granica/tło
Mapa zasadnicza
• UEEOO – Opis funkcji linii elektroenergetycznych
• UKKOO – Typ przewodów kanalizacyjnych
• UKKOA – Opis funkcji sieci kanalizacyjnej
• UKKOC – odnośnik do przewodu kanalizacyjnego
• UTTOA – Opis przewodu telekomunikacyjnego
• UTTOC – Opis przewodu telekomunikacyjnego
• UTTOC – odnośnik do przewodu telekomunikacyjnego
• UGGOC – odnośnik do przewodu gazowego
• EKLTK – Opis konturu klasyfikacyjnego
• Adresy
• Budynki
• Granice obiektów/obszarów
• Transport
• Infr. elektroenergetyczna
• Infr. kanalizacyjna
• Infr. telekomunikacyjna
• Infr. ciepłownicza
• Infr. gazownicza
• Infr. wodociągowa
• Zieleń
• Hipsometria
• Ortofotomapa
VMap L2
• Ulice i adresy
• Granice
• Obszary zabudowane
• Drogi/infrastruktura komunalna
• Obiekty sportowe
• Infrastruktura wodna
• Hydrografia
• Zieleń
• Ukształtowanie terenu
• Turystyka/kultura
• Obiekty produkcyjno-prze
• Zarządzanie odpadami
• Ortofotomapa
Ewidencja gruntów
• Ewidencja gruntów: Użytkowanie gruntów, Klasoużytki, Działki, Budynki, Obręby
• Dane referencyjne
Transakcje nieruchomości
• Ulice/adresy
• Zabudowa: Zabudowa (generalizacja), Budynki – duża skala
• Transakcje nieruchomości – Transakcje nieruchomości
• Działki
Decyzje
Inwestycje
• Ulice/adresy
• Zabudowa: Zabudowa (generalizacja), Budynki – duża skala
• Inwestycje: Obszary inwestycji
• Działki: Działki
Struktura bazy danych (lista klas obiektów) została przedstawiona w poniższej tabeli:
ADMAREA_AFT
ADMBNDL_LFT
ADR
adresy
adresy
ADRESYGEO
ADRESYPOL
AIRPORTA_AFT
AIRPORTP_PFT
analiza_wlasn
anno_kopia
apteki
apteki
arkusze
ATHLFLDA_AFT
BAMBOOP_PFT
bar_odwad
BLUFFL_LFT
BNDMONTP_PFT
bon_gl
bon_gl_oryg
LKL
LOCKA_AFT
lok_czynn
lokale
lotniska_O_4_8_1
mag_gaz
mel_odw
miejscowosci
MINEP_PFT
MLZ
MONUMNTP_PFT
mpzp_ostat
nap_pas_O_4_2_3
niep_lin_zab_O_8_2_4
nlin_zab_O_8_2_4
NOTARIUSZE_KOD
O_BUD
O_DZE
O_JEW
O_OBR
ob_lin_zab_O_8_2_5
BRIDGEC_PFT
BRIDGEL_LFT
BRKWATRL_LFT
bud_geo
bud_zarz
budynki
budynki_gp
budynki_ostat
budynki_ostat
BUILDINGA_AFT
BUILDNGP_PFT
BUILTUPA_AFT
CAIRNP_PFT
CAMPSITA_AFT
CANALA_AFT
CANALL_LFT
CARTRACL_LFT
CAVEP_PFT
CEMETRYA_AFT
CEMETRYP_PFT
cent_tel
char_lin_zab_O_8_1_2
n
ob_n2000
STALWOL_calosc_dwg_Polyline
ob_nie_zab_O_8_2_3
STALWOL_drogi
ob_nie_zab_O_8_3_3
STALWOL_dwg_linie_kopia
ob_och_prz_O_8_2_9
STALWOL_gleby
ob_och_prz_O_8_3_7
STALWOL_granica_st_wola_lin
ob_och_uzd
STALWOL_kanalizacja
ob_reg_rz_pkt
STALWOL_kor_eko
ob_reg_rzek
STALWOL_lin_kolej
obk_tow_lot_O_4_8_2
STALWOL_obreby
obreby
STALWOL_san
obreby
STALWOL_tereny_rolne
obreby
STALWOL_tory_kolejowe
obreby_gp
STALWOL_ulice
obszary
STALWOL_warstwice
obszary_zarz
STALWOL_zabudowa_gen
obw_zoo
str_kons_O_8_2_2
ochk
str_kons_O_8_3_2
ocz_sciek
str_och_wod
odc_drog_np_O_4_1_2
studnie
odc_drog_pub_O_4_1_1
SWAMPA_AFT
odc_drog_pub_O_4_1_1_linia SWMPOOLA_AFT
odc_drog_pub_szcz_O_4_1_ ter_do_sc_O_8_2_8
3
SNAPTBSPACE
SNAPTBSPACEPART
spal_odp
st_dok
st_gaz
st_gaz_pow_O_3_3_4
st_miejska_podzial
st_miejska_podzial_lin
st_och_uj
st_przel_odp
st_rozdz
st_trans
st_wl_O_8_4_2
st_wola_dzialki
st_wola_dzialki
st_wola_dzialki
STADIUMA_AFT
STALWOL_adresy
STALWOL_budynki_ostat
STALWOL_calosc_dwg_Ann_old
STALWOL_calosc_dwg_Annotatio
CHIMNEYP_PFT
CLEARWL_LFT
cment_ziem
COASTL_LFT
CONTOURL_LFT
corine
CROPA_AFT
CROSSP_PFT
CULTXT_PFT
czynn_zmien
DAML_LFT
decyzje_arch
decyzje_linie
decyzje_poligony
decyzje_punkty
DEPOTA_AFT
DEPTHCL_LFT
odc_kolej_O_4_6_1
odc_kolej_O_4_6_1_oryg
odc_m_kp_O_4_2_1
odc_piesi_O_4_4_1
odc_rower_O_4_5_1
opieka_zdrowotna
opieka_zdrowotna
ORCHARA_AFT
osad_pias
OSF
OSIE_ULIC
OSIE_ULIC_ed
OSIE_ULIC_gp
Osie_ulicOpis
osiedla
osiedla_CopyFeatures
osiedla_O_8_2_10
ter_rol
ter_rol_oryg
ter_sc_O_8_3_6
ter_wod
ter_zam_O_8_3_5
ter_ziel
ter_ziel_oryg
tereny
tereny_rolne
tereny_zainwestowane_all
tereny_zainwestowane_all_union
tereny_zainwestowane_mn
tereny_zainwestowane_ms
tereny_zainwestowane_mw
tereny_zainwestowane_p
tereny_zainwestowane_uc
tereny_zainwestowane_up
DISPOSA_AFT
DOK
drogi
drogi
dw_kolej_O_4_6_5
dw_kolej_O_4_6_5_pkt
dworce
dzialki
dzialki_arch
dzialki_gm
dzialki_gm_old
dzialki_gp
dzialki_zarz
dzierzawa
DZW
econet
ELEVP_PFT
EMBANKA_AFT
EMBANKL_LFT
FARMP_PFT
FERRYCRL_LFT
FISHFRMA_AFT
for_rzez
FORDC_PFT
FORESTA_AFT
FORESTP_PFT
FORTIFNA_AFT
gaz
GISDB.PCSW_ADM.V_KOLUMNY
OSZ
park_gm
PARKA_AFT
parking_r_O_4_5_2
PDZ
PIPELNL_LFT
pk
pkt_adr
pkt_zlew_byt
PKTADR_SDE
PKTADR_SDE_ed
PKTADR_SDE_oryg
PKTADR_SDE_oryg_ed
plac_piesi_O_4_4_2
plany
PLAZAA_AFT
pn
pod_bud
podm
policja_podzial
policja_strazm
policja_strazm
pom_przyr
pomp_wod
porty_zeg_O_4_7_1
POWERPLA_AFT
powiaty
prz_burz
prze_mel
tereny_zainwestowane_us
terenyzainwestowane
test
tlocz_gaz
tory_kolejowe
TPHERICL_LFT
TRAILL_LFT
TREESP_PFT
TUNNELL_LFT
typ_gl
typy_dok
UDD
UDW
UDZ
udzialy_wld
udzialy_wls
uj_gaz
uj_wody
uj_wpod
uj_wpow
ULICA_ALIASY
ULICA_ALIASY_ed
ULICE
ulice
ULICE_1
ULICE_ALL
ULICE_ed
Ulice_edycjaOpis
ulice_kopia
GISDB.PCSW_ADM.ZGLOSZENIA_AD przep_kan
ulice_sl
R
gleby
gleby
gminy
gr_ob_kolej_O_4_6_2
gr_ob_ou_lot_O_4_8_3
gr_ob_ou_O4_6_4
gr_obsz_ou_O_4_1_4
gr_plan_O_8_2_6
gr_plan_O_8_2_6_1
gr_plan_O_8_2_6_ed
gr_plan_O_8_2_6_oryg
gr_ter_mpzp_O_8_3_4
gr_ter_zam_O_8_2_7
granica
granica_st_wola_lin
granica_st_wola_lin
granica_st_wola_pol
GRASSA_AFT
grz_spal_zw
GULLYL_LFT
hips
hips_oryg
inf_spol
infr_lin_zeg_O4_7_2
INS
INUNDA_AFT
ISLANDA_AFT
JDR
JRZ
kan_byt
kan_desz
kan_ulg
kanal
kanalizacja
kier_zag_O_8_3_1
klasouzytki
klasouzytki_gp
klim
KLU
kompo
kont_uzyt
kont_uzytk2
kor_eko
krem
ustalenia
ustalenia
usuniecia
uz_eko
uzytk_wiecz
uzytkowanie
uzytkowanie
uzytkowanie2
uzytkowaniegr
uzytkownik
V_PKTADR
V_ULICE
VEHICLEP_PFT
wal_ppow
warstwice
WATERA_AFT
WELLSPRP_PFT
wersje_xsl
WINDMILP_PFT
wl_nier_gr_O_8_4_1
wod_pod
wojewodztwa
wp_rz
wp_wyp
wpow_hyd
wpow_jez
wpow_mor
wpow_zal
wybuch
Wydarzenia_Policja
wyl_gl_rol
wypadki_od_O_4_1_6
wypadki_sk_O_4_1_9
zabudowa_gen
zak_uzd
zb_kan_desz
zb_les
zb_nles
zb_such_pold
zb_wod
zb_zap
zesp_pk
zielen_dzialki
zielen_niska
przestepstwa
przez_ter_O_8_2_1
przez_ter_O_8_2_1_oryg
przyrost_ter_zainwest
przyst_km_O_4_2_2
przyst_km_O_4_2_2_pkt
QUARRY_PFT
RAILRDL_LFT
reg_fit
reg_fizgeog
reg_klim
reg_zas
REJESTRY
rejony_zarz
rek_gl
RENI_PARAMETRY
RENI_SEKWENCJE
rep_dok
rep_pliki
RESERVRA_AFT
rez_bios
rez_prz
RIVERA_AFT
RIVERL_LFT
ROADL_LFT
RODZ_DOK_KOD
RODZAJDEC
rowy
ruch_odc_drog_O_4_1_5
ruch_sk_O_4_1_8
RUINSP_PFT
rzeka
san
SANCTRYA_AFT
SCRUBP_PFT
SEAWALLL_LFT
siec_ciep
siec_tel
siec_wod
SKIJUMPP_PFT
SKILIFTL_LFT
skl_odp
skrzyz_O_4_1_7
SLUGATEC_PFT
krp_gl
LAKEA_AFT
las_och_O_1_9_11
LIGHTP_PFT
lin_ener
lin_kolej
SNAPCONT
SNAPDB
SNAPDETAILLOG
SNAPDYNSQL
SNAPSTOPATHS
SNAPTAB
zielen_wysoka
zl_kop
ZMN
ZOOA_AFT
zr_ciep
zr_energ
zwierz
1.2.8. Na potrzeby modernizacji SIP Zamawiający zapewni host serwerów wirtualnych 16
rdzeni CPU, z łączną pamięcią masową 1,5 TB, z możliwą do wykorzystania przez
Wykonawcę opcja wirtualizacji.
1.3. Celem zamówienia jest modernizacja istniejącego Systemu Informacji Przestrzennej (SIP)
Gminy Stalowa Wola poprzez:
1.3.1. dostosowanie systemu do funkcjonowania w nowym środowisku ArcGIS –
obecnie wersja 10.1 - przy zapewnieniu lub rozszerzeniu dotychczasowej
funkcjonalności z użyciem API i technologii zapewniających możliwie jak
najdłuższą kompatybilność z przyszłymi wersjami;
1.3.2. dostarczenie aktualizacji licencji oprogramowania GIS:
Nazwa licencji
Nazwa licencji po aktualizacji
Ilość licencji
Rodzaj licencji
aktualizowanej
Desktop Standard
Desktop Standard wersja 10.1
1
sieciowa
Desktop Basic
Desktop Basic wersja 10.1
2
sieciowa
(ArcView wersja 9.3)
ArcGIS Server
ArcGIS Server Standard Enterprise
1
serwerowa
(ArcEditor wersja 9.3)
Stadnard Enterprise
9.3
1.3.3. dostosowanie systemu do funkcjonowania na nowym sprzęcie komputerowym
zakupionym częściowo przez Zamawiającego - komputerów typu desktop, system
operacyjny Windows 7 Professional 64 Bit z pływającymi licencjami na ArcGIS –
przez instalację oprogramowania ArcGIS for Desktop w najnowszej wersji;
1.3.4. modernizację modułu serwera apikacji – przez instalację na serwerze aplikacji
oprogramowania ArcGIS for Server Standard Enterprise w najnowszej wersji na
systemie operacyjnym Windows 2012.;
1.3.5. modernizację modułu bazy danych działającej w środowisku Linux – przez
instalację na serwerze bazy danych oprogramowania PostgreSQL dla systemu
operacyjnego Linux (Ubuntu) i założenie repozytorium do przechowywania
danych przestrzennych (Geobazy GIS) w najnowszej wersji wraz przeniesieniem
posiadanych zasobów z bazy DB2 .
1.3.6. migrację danych przestrzennych wyszczególnionych w 1.2.7 ze struktur DB2 do
PostgreSQL;
1.3.7. migrację publikowanych usług serwera danych przestrzennych
wyszczególnionych w 1.2.6 (Plan Miasta, Plany Miejscowe oraz Ochrona
Środowiska) przez przeniesienie serwisów mapowych z ArcIMS do ArcGIS for
Server; modernizację modułu WebGIS – przez instalację aplikacji Web o
rozbudowanej funkcjonalności i opartej na najnowszej wersji Api tzn. ArcGIS API
for Flex 3.4 lub wyższej, ArcGIS API for JavaScript 3.6 lub wyższej, ArcGIS API for
3.1 lub wyższej;
1.3.8. opisanie istniejących danych przestrzennych za pomocą stosownych
metadanych zgodnie Dyrektywą 2007/2/WE Parlamentu Europejskiego i Rady z
dnia 14 marca 2007 r. ustanawiająca infrastrukturę informacji przestrzennej we
Wspólnocie Europejskiej (INSPIRE) i wdrożenie usługi katalogowej – przez
instalację na serwerze aplikacji oprogramowania serwera metadanych;
1.3.9. przeszkolenie pracowników Zamawiającego w zakresie korzystania ze
zmodernizowanego SIP Gminy Stalowa Wola i oprogramowania.
1.4. Szczegółowy opis przedmiotu zamówienia zawiera załącznik nr 1 do specyfikacji
technicznej.
ZAŁĄCZNIK NR 1
DO SPECYFIKACJI TECHNICZNEJ
Przedmiotem zamówienia w ramach niniejszego postępowania są prace analityczne,
projektowe, wdrożeniowe i modernizacjne polegająca na aktualizacji, dostawie i instalacji
w systemie informatycznym Zamawiającego systemu informatycznego SIP Gminy Stalowa
Wola służącego do udostępniania w sieci Internet aplikacji WebGIS prezentującej plan
miasta, ortofotomapę, plany zagospodarowania przestrzennego oraz punkty adresowe,
wraz z metadanymi, oraz aplikacji WebGIS dostępnej wyłącznie wewnątrz sieci Intranet
Zamawiającego, umożliwiającej prezentowanie i analizowanie danych dotyczących planu
miasta, ortofotomapy, planów zagospodarowania przestrzennego i punktów adresowych
oraz metadanych. Wraz z systemem dostarczone winne zostać serwisy mapowe,
dokumentacja systemu oraz aktualizacja niezbędnych licencji oprogramowania na ich
użytkowanie.
1.
W związku z posiadaniem przez Zamawiającego oprogramowania:
•
ArcGIS Desktop ArcView 9.3 – 3 sztuki
•
ArcGIS Desktop ArcEditor 9.3 – 2 sztuki
•
ArcGIS Server Stadnard Enterprise 9.3 – licencja na cztery rdzenie
Wykonawca powinien zapewnić uaktualnienie wymienionego wyżej oprogramowania do
najnowszej dostępnej wersji, tj. co najmniej:
•
ArcGIS for Desktop Basic 10.1 – 2 sztuki
•
ArcGIS for Desktop Standard 10.1 – 1 sztuki
•
ArcGIS for Server Stadnard Enterprise 10.1 – licencja na cztery rdzenie
i w oparciu o tą infrastrukturę dostarczyć system informatyczny.
2.
Zamawiający wymaga , aby została zachowana dotychczasowa architektura trójwarstwowa
systemu. System zbudowany jest o następujące warstwy: warstwa bazodanowa, warstwa aplikacji,
warstwa serwera WWW.
3. Warstwa bazodanowa systemu informatycznego powinna zostać oparta o system zarządzania
bazą danych PostreSQL działający w środowisku Linux (Ubuntu). W zakresie prac Wykonawcy
leży instalacja i uruchomienie środowiska bazodanowego, przygotowanie systemu, instalacja
niezbędnych pakietów i uaktualnień, konfiguracja usługi. W tym również migracja danych z
istniejącej w środowisku Zamawiającego bazy danych GIS opartej o ArcGIS Serwer Basic i
Bazę danych DB2. W bazie danych powinny być również przechowywane metadane opisujące
dane przestrzenne udostępnianie w module metadanych.
4. Zamawiający wymaga , aby została zachowana dotychczasowa architektura trójwarstwowa
systemu. System zbudowany jest o następujące warstwy: warstwa bazodanowa, warstwa
aplikacji, warstwa serwera WWW.
5.
Warstwa aplikacji realizowana w oparciu o ArcGIS for Server w wersji 10.1 lub nowszej
dostępnej. W zakresie prac Wykonawcy leży instalacja i uruchomienie środowiska aplikacji ArcGIS for
Server w wersji 10.1 lub nowszej dostępnej wraz z odpowiednim serwerem licencji, przygotowanie
systemu i instalacja niezbędnych pakietów i aktualizacji, konfiguracja usług, w tym usługi połączenia z
uprzednio wymienioną bazą danych oraz usług mapowych..
6.
Warstwa serwera WWW oparta o system operacyjny Microsoft Windows Server 2012. W
zakresie obowiązków Wykonawcy leży instalacja i uruchomienie środowiska serwera WWW,
przygotowanie systemu i instalacja niezbędnych pakietów i aktualizacji, instalacja i konfiguracja
aplikacji WebGIS.
7.
Dodatkowo w warstwie serwera aplikacji lub WWW do obowiązków Wykonawcy leży instalacja i
uruchomienie modułu metadanych realizującego punkt 1.3.8 Specyfikacji Technicznej.
8.
Dopuszcza się połączenie warstw WWW systemu informatycznego (nowej i istniejącej) do
odpowiedniego modelu architektury zaakceptowanego przez Zamawiającego.
9.
Dodatkowo w ramach modernizacji SIP Gminy Stalowa Wola Wykonawca opracuje i wdroży
sposób wymiany danych dla modernizowanego systemu z aplikacją EMUiA dostarczoną przez GUGiK
służącą do prowadzenia bazy punktów adresowych.
10. Aplikacja WebGIS będzie posiadała następujące funkcjonalności:
10.1 Wyświetlanie wybranych danych z zasobu (lista warstw, możliwość ich
włączania/wyłączania oraz ustawiania przeźroczystości) swobodne poruszanie się po
mapie i komponowanie jej treści, wyświetlanie metadanych opisujących dane.
10.2. Nawigacja po mapie:
Przyciski: powiększ, zmniejsz, przesuń, pełny zasięg, poprzedni/następny widok
(funkcjonalności: wybieralna lista ze zdefiniowanymi wartościami poszczególnych
skal, możliwość zbliżenia do zaznaczonego prostokąta), suwak skokowej zmiany
skali;
10.3. Gesty myszy: przesuwanie mapy metodą „przeciągnij i upuść”, powiększanie /
zmniejszanie za pomocą rolki.
10.4. Wyświetlanie strzałki północy, aktualnej skali (liniowej, cyfrowej) wraz z paskiem skali.
10.5. Opcja prezentacji współrzędnych kursora oraz możliwość lokalizacji współrzędnych na
mapie.
10.6. Wykonywanie pomiarów na mapie (odległości, długości, powierzchni).
10.7. Wyszukiwanie obiektów według zadanych atrybutów, wyszukiwanie w zasobie
metadanych.
10.8. Prezentowanie miniaturowej mapki przeglądowej pokazującej umiejscowienie na tle
pełnego widoku obszaru mapy wyświetlanego w oknie głównym.
10.9. Dynamiczna legenda mapy (wyświetlanie symboli i nazw warstw widocznych w oknie
głównym mapy).
10.10 Drukowanie wyświetlonej mapy lub jej fragmentu.
10.11 Automatyczna zmiana wyświetlanej treści w zależności od aktualnej skali w sytuacji,
gdzie wymaga tego dokładność danych.
10.12. Umożliwianie prezentacji danych przestrzennych i opisowych różnego typu:
10.12.1. Rastrowe (np.: ortofotomapa);
10.12.2. Wektorowe (np.: punkty adresowe);
10.12.3. Przypisane im atrybuty.
10.12.4. Prezentowanie danych z innych serwisów zaciągniętych dzięki usłudze WMS.
10.13. Aplikacja w szczególności umożliwi prezentowanie i wyszukiwanie adresów na mapie.
10.14. Aplikacja w szczególności umożliwi prezentowanie i wyszukiwanie planów
zagospodarowania przestrzennego na mapie oraz obsługę załączników (podgląd
załączonej decyzji administracyjnej).
10.15. Uruchamianie aplikacji: po uruchomieniu aplikacji WebGIS zostanie wyświetlone okno
powitalne z informacją na temat uwarunkowań technicznych i prawnych korzystania z
serwisu. Tekst oraz znaki graficzne Zamawiający udostępni Wykonawcy po
zaakceptowaniu projektu do dalszej realizacji.
11. Moduł metadanych spełni następujące wymagania funkcjonalne:
11.1. Serwer metadanych umożliwi gromadzenie metadanych dotyczących danych
przestrzennych gromadzonych w ramach systemu. Oprogramowanie umożliwi
wyszukiwanie danych przestrzennych w oparciu o wprowadzone metadane a także
wyszukiwanie metadanych z innych zbiorów metadanych korzystając z funkcjonalności
harvestingu (przenoszenie metadanych) lub/ i zapytania bezpośrednio do innych
serwerów katalogowych, o ile serwisy takowe pracują zgodnie z standardami usług CSW.
11.2. Serwer umożliwi zarządzanie zawartością katalogu metadanych danych przestrzennych.
11.3. Dostarczone rozwiązanie powinno posiadać klienta WWW metadanych z zintegrowanym
edytorem i walidatorem metadanych dla danych przestrzennych.
11.4. Dla danych przestrzennych serwer powinien być zgodny z Dyrektywą INSPIRE oraz
normami ISO 19115 i ISO 19139.
11.5. Serwer umożliwi tworzenie dedykowanego schematu metadanych opartego o
standardowe schematy.
11.6. Serwer powinien umożliwiać dostęp do bazy metadanych w różny sposób:
zaawansowany (z pełną funkcjonalnością dla użytkowników wewnętrznych) i
uproszczony (dla użytkowników zewnętrznych).
11.7. Zaawansowany dostęp do metadanych danych przestrzennych powinien umożliwiać
m.in.:
11.7.1. przeglądanie metadanych dla pojedynczych warstw tematycznych lub zbiorów danych
opisowych,
11.7.2. wyszukiwanie metadanych po słowach kluczowych lub innych parametrach (np.: dacie)
w ramach całej bazy metadanych przestrzennych,
11.7.3. edycja metadanych przez użytkowników posiadających odpowiednie uprawnienia,
11.7.4. możliwość wyświetlenia mapy z wyszukanymi za pomocą metadanych warstwami
tematycznymi,
11.7.5. możliwość generowania zbiorów metadanych w formacie XML.
11.8. Uproszczony dostęp do metadanych danych przestrzennych umożliwiać powinien m.in.:
11.8.1. przeglądanie listy dostępnych metadanych,
11.8.2. docieranie do wyselekcjonowanych zestawów metadanych dla wskazanych danych
przestrzennych oraz po słowach kluczowych lub innych parametrach (np.: dacie),
11.8.3 składanie zapytania o metadane do Administratora, na przykład poprzez wysłanie
emaila.
11.9. Serwer umożliwi definiowanie źródła metadanych danych przestrzennych dla usługi
harvestingu realizowanej poprzez usługi CSW.
11.10. Serwer umożliwi definiowanie źródeł danych dla zapytań w środowisku rozproszonym
(distributed query).
11.11. Serwer umożliwi przeszukiwanie metadanych z poziomu aplikacji ArcGIS for Desktop za
pomocą dodatku.
11.12. Serwer umożliwi dodawanie metadanych bezpośrednio z poziomu aplikacji ArcGIS for
Desktop za pomocą dodatku.
11.13. Metadane będą przechowywane we wspólnej bazie danych systemu tzn. w PostgreSQL.
12. Całość menu aplikacji WebGIS i interfejsu modułu metadanych ma być wykonana w języku
polskim.
13. Dokumentacja porealizacyjna wykonanej aplikacji zostanie przekazana Zamawiającemu przez
Wykonawcę po zakończeniu prac wdrożeniowych.
14. Odpowiedzialność za przygotowanie do udostępnienia danych źródłowych leży w całości po
stronie Zamawiającego. Zamawiający przygotuje i udostępni Wykonawcy dostęp do danych
rastrowych i wektorowych zgromadzonych w posiadanej bazie DB2 oraz innych danych wektorowych i
rastrowych przechowywanych w postaci plikowej. Wszystkie dane będą odniesione przestrzennie w
docelowym systemie współrzędnych. Zamawiający przekaże Wykonawcy wstępnie przygotowane
projekty mapowe do publikacji serwisów mapowych (np.: pliki .mxd) oraz metadane do wybranych
danych. Wykonawca sprawdzi je pod kątem poprawności i wydajności i przeprowadzi ich
optymalizację.
15. Wykonawca w terminie 2 tygodni od podpisania umowy przygotuje i przedstawi Zamawiającemu
projekt interfejsu użytkownika aplikacji WebGIS oraz klienta WWW metadanych w zakresie
rozmieszczenia i wyglądu okien, przycisków i narzędzi składających się na aplikację. Zamawiający
dostarczy Wykonawcy niezbędne loga, znaki graficzne i opisowe, wraz z informacją co do
oczekiwanego umieszczenia ich w obrębie szaty graficznej aplikacji. Po ustaleniu niezbędnych zmian i
poprawek w interfejsie użytkownika w terminie kolejnych 7 dni, aplikacje WebGIS i klient WWW
metadanych przejdą do dalszej realizacji.
16. Wykonawca stworzy również aplikację WebGIS na użytek wewnętrzny Zamawiającego, dostępną
w wewnętrznej sieci intranet Zamawiającego. Funkcjonalność i szata graficzna interfejsu użytkownika
wewnętrznej aplikacji WebGIS odpowiadać będzie przygotowanym dla aplikacji udostępnianej w sieci
Internet. Odpowiedzialność za przygotowanie do udostępnienia danych dla celów aplikacji
wewnętrznej w całości spoczywa na Zamawiającym. Zamawiający przygotuje i udostępni Wykonawcy
dostęp do danych rastrowych i wektorowych oraz tabelarycznych dedykowanych publikacji, projekty
mapowe (np.: w postaci plików .mxd). Wszystkie dane będą odniesione w docelowym układzie
współrzędnych.
17. Po zrealizowaniu projektu Wykonawca przekaże Zamawiającemu pliki projektów serwisów GIS
(dostępnego w sieci Internet i wewnętrznego).
18. Wykonawca zapewni też asystę techniczną na wdrożony system informatyczny w okresie jednego
roku od ukończenia zamówienia.
19. Wykonawca zobowiązany jest przeprowadzić szkolenie 2 administratorów Zamawiającego w
zakresie administrowania ArcGIS for Server, aplikacją WebGIS i modułem metadanych, oraz 4
użytkowników (pracowników Zamawiającego) w zakresie użytkowania aplikacji WebGIS i przeglądania
metadanych.