dla jednostek resortowych i innych

Transkrypt

dla jednostek resortowych i innych
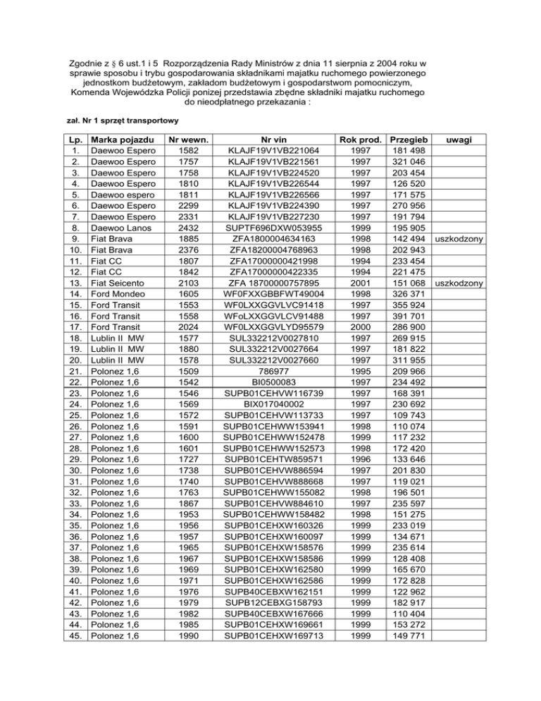
Zgodnie z § 6 ust.1 i 5 Rozporządzenia Rady Ministrów z dnia 11 sierpnia z 2004 roku w
sprawie sposobu i trybu gospodarowania składnikami majatku ruchomego powierzonego
jednostkom budżetowym, zakładom budżetowym i gospodarstwom pomocniczym,
Komenda Wojewódzka Policji ponizej przedstawia zbędne składniki majatku ruchomego
do nieodpłatnego przekazania :
zał. Nr 1 sprzęt transportowy
Lp.
1.
2.
3.
4.
5.
6.
7.
8.
9.
10.
11.
12.
13.
14.
15.
16.
17.
18.
19.
20.
21.
22.
23.
24.
25.
26.
27.
28.
29.
30.
31.
32.
33.
34.
35.
36.
37.
38.
39.
40.
41.
42.
43.
44.
45.
Marka pojazdu
Daewoo Espero
Daewoo Espero
Daewoo Espero
Daewoo Espero
Daewoo espero
Daewoo Espero
Daewoo Espero
Daewoo Lanos
Fiat Brava
Fiat Brava
Fiat CC
Fiat CC
Fiat Seicento
Ford Mondeo
Ford Transit
Ford Transit
Ford Transit
Lublin II MW
Lublin II MW
Lublin II MW
Polonez 1,6
Polonez 1,6
Polonez 1,6
Polonez 1,6
Polonez 1,6
Polonez 1,6
Polonez 1,6
Polonez 1,6
Polonez 1,6
Polonez 1,6
Polonez 1,6
Polonez 1,6
Polonez 1,6
Polonez 1,6
Polonez 1,6
Polonez 1,6
Polonez 1,6
Polonez 1,6
Polonez 1,6
Polonez 1,6
Polonez 1,6
Polonez 1,6
Polonez 1,6
Polonez 1,6
Polonez 1,6
Nr wewn.
1582
1757
1758
1810
1811
2299
2331
2432
1885
2376
1807
1842
2103
1605
1553
1558
2024
1577
1880
1578
1509
1542
1546
1569
1572
1591
1600
1601
1727
1738
1740
1763
1867
1953
1956
1957
1965
1967
1969
1971
1976
1979
1982
1985
1990
Nr vin
KLAJF19V1VB221064
KLAJF19V1VB221561
KLAJF19V1VB224520
KLAJF19V1VB226544
KLAJF19V1VB226566
KLAJF19V1VB224390
KLAJF19V1VB227230
SUPTF696DXW053955
ZFA1800004634163
ZFA18200004768963
ZFA17000000421998
ZFA17000000422335
ZFA 18700000757895
WF0FXXGBBFWT49004
WF0LXXGGVLVC91418
WFoLXXGGVLCV91488
WF0LXXGGVLYD95579
SUL332212V0027810
SUL332212V0027664
SUL332212V0027660
786977
BI0500083
SUPB01CEHVW116739
BIX017040002
SUPB01CEHVW113733
SUPB01CEHWW153941
SUPB01CEHWW152478
SUPB01CEHWW152573
SUPB01CEHTW859571
SUPB01CEHVW886594
SUPB01CEHVW888668
SUPB01CEHWW155082
SUPB01CEHVW884610
SUPB01CEHWW158482
SUPB01CEHXW160326
SUPB01CEHXW160097
SUPB01CEHXW158576
SUPB01CEHXW158586
SUPB01CEHXW162580
SUPB01CEHXW162586
SUPB40CEBXW162151
SUPB12CEBXG158793
SUPB40CEBXW167666
SUPB01CEHXW169661
SUPB01CEHXW169713
Rok prod. Przegieb
uwagi
1997
181 498
1997
321 046
1997
203 454
1997
126 520
1997
171 575
1997
270 956
1997
191 794
1999
195 905
1998
142 494 uszkodzony
1998
202 943
1994
233 454
1994
221 475
2001
151 068 uszkodzony
1998
326 371
1997
355 924
1997
391 701
2000
286 900
1997
269 915
1997
181 822
1997
311 955
1995
209 966
1997
234 492
1997
168 391
1997
230 692
1997
109 743
1998
110 074
1999
117 232
1998
172 420
1996
133 646
1997
201 830
1997
119 021
1998
196 501
1997
235 597
1998
151 275
1999
233 019
1999
134 671
1999
235 614
1999
128 408
1999
165 670
1999
172 828
1999
122 962
1999
182 917
1999
110 404
1999
153 272
1999
149 771
46.
47.
48.
49.
50.
51.
52.
53.
54.
55.
56.
57.
58.
59.
60.
61.
62.
63.
64.
65.
66.
67.
68.
69.
70.
71.
72.
73.
74.
75.
76.
77.
78.
79.
80.
81.
82.
83.
84.
85.
86.
87.
88.
89.
90.
91.
92.
93.
94.
95.
96.
97.
Polonez 1,6
Polonez 1,6
Polonez 1,6
Polonez 1,6
Polonez 1,6
Polonez 1,6
Polonez 1,6
Polonez 1,6
Polonez 1,6
Polonez 1,6
Polonez 1,6
Polonez 1,6
Polonez 1,6
Polonez 1,6
Polonez 1,6
Polonez 1,6
Polonez 1,6
Polonez 1,6
Polonez 1,6
Polonez 1,6
Polonez 1,6
Polonez 1,6
Polonez 1,6
Polonez 1,6
Peugeot 406
VW Golf
VW Golf
VW Vento
VW Vento
VW Vento
VW Vento
VW Vento
VW Vento
VW Vento
VW Vento
VW Passat
VW Passat
VW Passat
VW Passat
VW Passat
VW Passat
VW Transporter
VW Transporter
VW Transporter
VW Transporter
VW Transporter
VW Transporter
VW Transporter
VW Transporter
VW Transporter
VW Transporter
VW Transporter
1991
2005
2007
2009
2010
2011
2014
2016
2017
2018
2019
2023
2026
2032
2038
2078
2107
2111
2303
2304
2320
2378
2425
2433
2426
1383
1385
1379
1381
1394
1698
1699
1804
1840
1931
1356
1359
1389
1399
1700
1932
1408
1410
1417
1419
1421
1424
1425
1431
1433
1444
1445
SUPB01CEHXW169662
SUPB01CEHYW174117
SUPB01CEHYW173389
SUPB01CEHYW174111
SUPB01CEHYW174359
SUPB01CEHYW174346
SUPB01CEHYW174689
SUPB01CEHYW174138
SUPB01CEHYW175136
SUPB01CEHYW175166
SUPB01CEHYW175874
SUPB01CEHYW176253
SUPB01CEHYW177793
SUPB01CEHYW174967
SUPB01CEHYW179840
SUPB01CEHYW179823
SUPB01CEH1W182638
SUPB01CEH1W181677
SUPB01CEHVW128529
SUPB01CEHVW116330
SUPB01CEHVW113814
SUPB01CEHVW112041
SUPB01CEHVW890295
SUPB40CEBXW161231
VF38BRFD80077415
WVWZZZ1HZPW742308
WVZZZ1HZPW742624
WVWZZZ1HZPW740269
WVWZZZ1HZPW747044
WVWZZZ1HZPW740972
WVWZZZ1HZPW742651
WVWZZZ1HZPW741505
WVWZZZ1HZPW742698
WVWZZZ1HZPW742793
WVWZZZ1HZPW742478
WVWZZZ31ZPE105187
WVWZZZ31ZPE132137
WVWZZZ31ZPE230423
WVWZZZ31ZPE232260
VWVWZZZ31ZPE226871
WVWZZZ31ZPE230902
WV2ZZZ70ZPH131653
WV2ZZZ70ZPH128977
WV2ZZZ70ZPH130768
WV2ZZZ70ZPH131169
WV2ZZZ70ZPH130624
WV2ZZZ70ZPH130027
WV2ZZZ70ZPH131682
WV2ZZZ70ZPH129609
WV2ZZZ70ZPH131726
WV2ZZZ70ZPH129934
WV2ZZZ70ZPH131976
1999
2000
2000
2000
2000
2000
2000
2000
2000
2000
2000
2000
2000
2000
2000
2000
2001
2001
1997
1997
1997
1997
1997
1999
1996
1993
1993
1993
1993
1993
1993
1993
1993
1993
1993
1992
1993
1993
1993
1993
1993
1993
1993
1993
1993
1993
1993
1993
1993
1993
1993
1993
207 675
115 144
179 061
244 511
134 176
146 110
143 338
275 224
164 041
268 021
187 174
119 452
34 538
112 614
148 129
140 772
156 478
162 717
165 411
176 825
173 980
312 707
153 563
203 400
249 326
156 333
374 704
272 427
431 977
532 201
301 954
311 196
275 668
335 408
359 941
315 392
649 810
474 833
534 668
400 290
259 519
140 425
153 592
471 882
280 928
354 526
255 495
193 033
215 077
374 341
129 653
414 878
uszkodzony
98.
99.
100.
101.
102.
103.
104.
105.
106.
107.
108.
109.
110.
111.
112.
113.
VW Transporter
VW Transporter
VW Transporter
VW Transporter
VW Transporter
VW Transporter
VW Transporter
VW Transporter
VW Transporter
VW Transporter
VW Transporter
VW Transporter
VW Transporter
VW Transporter
VW Transporter
VW Transporter
1447
1450
1455
1456
1458
1459
1465
1466
1534
1709
1827
1904
1928
2419
2421
2422
WV2ZZZ70ZPH131269
WV2ZZZ70ZPH130373
WV2ZZZ70ZPH127407
WV2ZZZ70ZPH127427
WV2ZZZ70ZPH127537
WV2ZZZ70ZPH128174
VW2ZZZ70ZPH127446
VW2ZZZ70ZRH062003
WV2ZZZ70ZVX077396
WV2ZZZ70ZRH062000
WV2ZZZ70ZPH129339
LM1500957
WV2ZZZ70ZPH128563
WV2ZZZ70ZRH062498
VW2ZZZ70ZPH125898
WV2ZZZ70ZRH122373
zał nr 2 części zamienne do samochodów:
lp.
1.
2.
3.
4.
5.
6.
7.
8.
9.
10.
11.
12.
13.
14.
15.
16.
17.
18.
19.
20.
21.
22.
Polonez
nazwa
Silnik kompletny
pokrywa głowicy silnika
uszczelka pokrywy głowicy
uszczelka podstawy filtra
uszczekla głowicy (1 600)
uszcelka głowicy (1 500)
kadłub silnika (1500)
uszczelka misy olejowej
korek wlewu oleju
korek misy olejowej
zestaw uszczelek silnika
zaślepka olejowa
przewód odpowietrzania silnika
poduszka silnika
sprężyna poduszki silnika
wspornik poduszki silnika lewy
wspornik poduszki silnika prawy
uszczelniacz wału karbow tylny
uszczelniacz przed wału karbow
uszczelniacz wałka rozrządu
uszcz. pokr. osł. pas. Napęd. Rozrządu
uszczelka zaworu
ilość KAT
1
B
1
A
10
A
3
A
1
A
1
A
1
B
13
A
16
A
15
A
1
A
17
A
3
A
8
A
3
A
4
A
2
A
9
A
13
A
15
A
41
A
18
A
1993
1993
1993
1993
1993
1993
1993
1994
1996
1993
1993
1993
1993
1993
1993
1994
277 818
289 798
455 474
544 986
518 811
406 235
559 484
465 720
568 408
444 370
417 171
268 558
325 461
585 561
563 700
600 751
23.
24.
25.
26.
27.
28.
29.
30.
31.
32.
33.
34.
35.
36.
37.
38.
39.
40.
41.
42.
43.
44.
45.
46.
47.
48.
49.
50.
51.
52.
53.
54.
55.
56.
57.
58.
59.
60.
61.
62.
63.
64.
65.
66.
67.
68.
69.
70.
71.
72.
73.
74.
przew. odpow-filtr. pow. GSI
uszczelka korka misy
wał karbowy
wał karbowy
panewka główna
półpierścień oporowy
półpanewka karbowodowa i szlif
wieniec koła zamachowego
tłok silnika
pierścień tłoka
zabezpieczenie sworznia tłoka
sworzeń tłoka
pompa olejowa
podstawa filtra oleju
podstawa filtra oleju
koło zębate napędu pompy oleju
filtr oleju
zawór wydechowy
zawór ssący
prowadnica zaworu ssącego
sprężyna zaworu wewnętrza
sprężyna zaworu zewnętrzna
miseczka sprężyny zaworu doln
zamek zaworu
dżwignia zaworu ssącego
dżwignia zaworu wydechowego
wkręt regulacyjny zaworu
podkładka klawiatury
wałek dżwigni zaworowych
klawiatura kpl.
drążek popychaczy ssący
drążek popychaczy hydr zaw wyd
popychacz hydrauliczny
tul łożysk przedn wałka rozrząd
koło rozrządu napędzaj
koło rozrządu napędowe
pasek zębaty rozrządu
spręzyna zaworu zew.
sprężyna zaworu wew.
termostat filtra pow.
korek zbiornika paliwa
taśma mocująca zbiornik paliwa
złącze wlewu paliwa
uszczelka filtra pow. Wiatru
uszczelka pompy paliwa
przewód paliwa elastyczny gsi
filtr paliwa pn
filtr paliwa wtrysku gli
filtr paliwa przy zbior gsi
przewód gumowy
czujnik temp. Pow.
pompa paliwowa elektr. Gli
6
67
2
1
3
1
4
1
3
18
6
5
4
2
1
1
13
19
15
10
4
4
10
21
3
6
3
1
1
1
12
21
8
1
4
4
25
11
11
1
3
18
3
1
7
1
1
3
17
14
1
1
A
A
A
B
A
A
A
A
A
A
A
A
A
A
B
A
A
A
A
A
A
A
A
A
A
A
A
A
A
A
A
A
A
A
A
A
A
A
A
A
A
A
A
A
A
A
A
A
A
A
A
A
75.
76.
77.
78.
79.
80.
81.
82.
83.
84.
85.
86.
87.
88.
89.
90.
91.
92.
93.
94.
95.
96.
97.
98.
99.
100.
101.
102.
103.
104.
105.
106.
107.
108.
109.
110.
111.
112.
113.
114.
115.
116.
117.
118.
119.
120.
121.
122.
123.
124.
125.
126.
pompa paliwowa elektr. Gsi
nakrętka gażnika m5
uszczelka pompy paliwa mała
przewód metal. Paliw. Zbior. Filt
kpl uszczelek kolektora ssącego
linka gazu gli bosch
linka gazu gli abimex
linka gazu plus gsi
linka gazu wielopunkt
czujnik otwarcia przepustnicy
czujnik lambda bosch
czujnki lambda abimex
wkład filtra powietrza pn
wkład filtra pow. Gsi
przewód papierowy gruby
silnik krokowy bosch
nakładka pedału gazu
uszczel. Kolektora ssącego gsi
uszczel. Pompy paliwa wtr.
czujnik ciśnienia bezwzględnego
przewód pal. Elast. Pompa filtr
uszczelka podst. Urządze.abimex
silnik krokowygsi
pompa paliwowa plus bosch I-punk
uszczelka łącznika filtra pali
ącznik filtra paliwa odprowa.
kolektor wydechowy
uszczelka kolektorowa wydechowego
osłona kolektora wydechowego
śruba dwustronna mb
uszczelka dwururki
rura wydechowa podwżójna
rura wydech podwójna do sondy
rura wydechowa prosta
tłumik wydechowy poprzedni
tłumik wydech poprzedni
tłumik wydech środków
tłumik wydechow tylny
katalizator
śruba łącząca dwururkę z tłumik.
sprężyna śruby dwururki
pierścień uszczeln dwururkę
wieszak tłumika caro przedni
wieszak tłumika caro tylny
obejma tłumika środkowego
uszczelka płaska tłumika caro
korek chłodnicy
przewód dolny chłodnicy
przewód górny chłodnicy
pompa wodna
uszczelka podstawy termostatu
uszczelka pod pompę wodną
1
7
2
3
13
6
4
1
5
1
2
1
14
16
10
1
4
11
2
1
1
5
3
1
1
1
1
9
1
5
5
1
1
3
1
12
8
7
2
13
27
13
18
68
10
9
15
3
9
3
1
1
A
A
A
A
A
A
A
A
A
A
A
A
A
A
A
A
A
A
A
A
A
A
A
A
A
A
A
A
A
A
A
A
A
A
A
A
A
A
A
A
A
A
A
A
A
A
A
A
A
A
A
A
127.
128.
129.
130.
131.
132.
133.
134.
135.
136.
137.
138.
139.
140.
141.
142.
143.
144.
145.
146.
147.
148.
149.
150.
151.
152.
153.
154.
155.
156.
157.
158.
159.
160.
161.
162.
163.
164.
165.
166.
167.
168.
169.
170.
171.
172.
173.
174.
175.
176.
177.
178.
termostat letni
obudowa termostatu
przewód rurka pompa
zbiornik wyrównawczy caro
korek zbiornika wyrównawcz pn
pasek klinowy
silnik wentylatora
chłodnica aluminiowa
poduszka chłodnicy
wspornik moc. Chłodnicy górny prawy
wspornik moco.chłod. Górny lewy
przew. Chłodn. Dolny pn.
przew. Chłodn. Górny pn
chłodnica caro
grzejnik nagrzewniczy caro
nagrzewnica kpl caro
silnik wentylatora nagrzewnicy
silnik nagrzewnicy caro
zawór nagrzewnicy caro
przewód nagrzewn gumowy "s"
rurka metal nagrzewn pompy wod
cięgno ogrzewania długie
rurka met. Nagrzew pomp wody pn
obudowa nawiewu środkowego
tarcza sprzęgła
docisk sprzęgła
ożysko wyciskowe sprzęgła
dżwignia wyłączaj sprzęgło
osłona łapki wycis spezęgła
linka sprzęgła
linka sprzęgła lucas
nakrętka linki sprzęgła
nakładka pedału sprzęgła
NIT okładziny sprzęgła
uszczeniacz wałka sprzęgła
wałek sprzęgłowy skrzyni bieg
koł zębate i biegu
koło zębate II biegu
koło zębate III biegu
koło zębate V biegu
koło zębate V I wsteczn biegu
skrzynia biegów
piasta sprzęgła przesuwna
synchronizator
widełki przesuwne I-IV biegu
widełki zmiany V biegu
koło zębate wst. Biegu
koło zębate wst. Biegu
wałek widełek przesówki
kołek wodzika blokady
uszczelka pokrywy wybieraka
zestaw tulejek lewarka zm bieg
1
4
3
2
2
9
2
2
1
4
5
4
3
1
1
2
2
2
3
2
2
3
2
1
3
5
5
3
5
1
3
19
3
10
1
2
1
2
1
1
1
2
1
4
4
7
2
2
7
2
1
1
A
A
A
A
A
A
A
A
A
A
A
A
A
A
A
A
A
A
A
A
A
A
A
A
A
A
A
A
A
A
A
A
A
A
A
A
A
A
A
A
A
C
A
A
A
A
A
A
A
A
A
A
179.
180.
181.
182.
183.
184.
185.
186.
187.
188.
189.
190.
191.
192.
193.
194.
195.
196.
197.
198.
199.
200.
201.
202.
203.
204.
205.
206.
207.
208.
209.
210.
211.
212.
213.
214.
215.
216.
217.
218.
219.
220.
221.
222.
223.
224.
225.
226.
227.
228.
229.
230.
osłona lewarka dżwig zm bieg
ramka osłony lewarka
osłona dżwig zm biegów caro
przekładnia szybkościomiezrza
poduszka skrzyni biegów
zespół kół zębatych walek pośr
koło wtecz biegu małe przesu
tulejka dzw. Zm. Bieg. Koronka
tulejka dzw. Zm. Bieg. Gumowa
tulejka stoż. Dżw. Zm. Bieg.
podkładka gumowa podpory wał
podpora wału napędowego
wspornik podpory wału
nakrętka mocowania podpory
krzyżak wału napędowego
pierścień zabezpieczaj krzyżak
przegub wału napędowego
Sruba wału napędowego
nakrętka m-b
uszczelka pokrywy tylnego most
uszczelniacz wałka atakującego
odpowietrznik tylnego mostu
para kół zębatych
sworzeń satelitów
końcówka tylnego mostu
tuleja rozpr tylnego mostu
nakrętka wałka atakującego
oring półosi
śruba mocowania półosi
zestaw łożysk półosi
podkładka końcówki tyl. Mostu
uszczelniacz półosi truck
odrzutnik oleju wałka atakując
zbiornik płynu hamulcowego
wkładka hamulca tył pn
korektor hamowania
tarcza hamulcowa pn
linka hamulca ręcznego pn
linka hamulca ręcznego lucas
osłona sworznia zacisku
naciąg linki hamulca
wspornik zacisku hamulca
pompa hamulcowa
odpowietrznik zacisku hamulca
zestaw napr zacis przed met pn
zestaw nap ham ręcz prawy pn
zestaw nap ham ręczn lewy pn
zestaw nap ham tylny tłocz pn
osłona cylinderka przednie pn
uszczelka tłoczka przed pn
osłonka cylinderka tylna
tarcza hamulcowa lucas
7
6
7
3
3
3
2
15
2
2
8
18
4
32
27
8
2
34
2
21
7
2
2
1
9
8
9
22
11
2
8
3
2
3
3
2
8
3
10
12
1
3
1
12
3
2
4
10
68
2
31
6
A
A
A
A
A
A
A
A
A
A
A
A
A
A
A
A
A
A
A
A
A
A
A
A
A
A
A
A
A
A
A
A
A
A
A
A
A
A
A
A
A
A
A
A
A
A
A
A
A
A
A
A
231.
232.
233.
234.
235.
236.
237.
238.
239.
240.
241.
242.
243.
244.
245.
246.
247.
248.
249.
250.
251.
252.
253.
254.
255.
256.
257.
258.
259.
260.
261.
262.
263.
264.
265.
266.
267.
268.
269.
270.
271.
272.
273.
274.
275.
276.
277.
278.
279.
280.
281.
282.
cylinderek ham tylny pra lucas
cylinderek ham tylny lew lucas
nakładka hamulca przednia pn
nakładka hamulca przed lucas
szczęki hamulcowe lucas
rozpie szczęk ham prawy lucas
rozpi szczęk ham lewy lucas
zestaw mocow szczęk ham lucas
śruba centrująca
przewód ham elast przedni pn
trójnik
przew ham metal pr tylny pn
przewód metal tyl ham lewy pn
przewód elastyczny tylny krótki
przewód ham elast przedn lucas
przewód ham tylny prawy lucas
przewód ham. met. przedni lewy
osłona gumowa zacisku lucas
przew. metal. przedni pr. Lucas
zacisk ham. przedni lewy lucas
bęben hamulcowy
sprężyna zacisku pn
przewód elastyczny tył lucas
trójnik przew. hamul. Lucas
końcówka drążka zewnęt. dłuższa
końcówka drążka kierow wewnet
simering przekł.19X3710
końcówka drążka kier zew krótk
końcówka drążka kierow wewnet
końcówka wewnątrz drążka kiero
ącznik drążków kier krótki
łącznik drążków kier długi
drążek kierowniczy środkowy
wspornik drążków kierowniczych
przycisk sygnału
tuleja wspornika drążka kierow
nakrętka sworznia wspornika
sprężyna sygnału
wałek ze ślimakiem
pompka układu wspomagania
pasek klinowy wspomagania
wspor. moc. pompy wspomagania
przew . ciśn. przekładnia-pompa
przewód olejowy wspom. zbio-pom
pasek klinowy wspomag.6285
śruba obejmy łącznika drążka
przegób wahacza dolnego
wahacz górny lewy
wspornik wahacza górnego
przegób górny wahacza
tuleja wahacza górnego dłuższa
tuleja wahacza górnego krótsza
14
20
2
4
15
8
4
5
10
7
3
11
5
11
3
6
2
21
4
2
8
10
10
5
1
6
12
1
12
3
12
3
4
7
2
32
40
6
1
1
15
2
3
1
8
30
2
1
4
10
5
15
A
A
A
A
A
A
A
A
A
A
A
A
A
A
A
A
A
A
A
A
A
A
A
A
A
A
A
A
A
A
A
A
A
A
A
A
A
A
A
A
A
A
A
A
A
A
A
A
A
A
A
A
283.
284.
285.
286.
287.
288.
289.
290.
291.
292.
293.
294.
295.
296.
297.
298.
299.
300.
301.
302.
303.
304.
305.
306.
307.
308.
309.
310.
311.
312.
313.
314.
315.
316.
317.
318.
319.
320.
321.
322.
323.
324.
325.
326.
327.
328.
329.
330.
331.
332.
333.
334.
odbojnik gum przedni waha górn
przegób wahacza dolnego
tuleja wahacza dolnego
nakrętka przegubu wahacza
zwrotnica
piasta koła pn
piasta koła lucas
uszczelniacz piasty przedniej
podkładka pod nakrętkę piasty
nakrętka piasty koła z nacię
nakrętka piasty koła lewa bez
kpl łożysk polonez przód
sprężyna przedniego zawieszeni
podkładka gumowa spirali
drążek reakcyjny przedni pn
drążek reakcyjny przedni caro
tuleja metalowa drążka reakcyj
poduszka drążka reakcyj przedn
śruba drążka reakcyjnego
drążek stabilizatora caro
śruba obejmy drążka stabiliza
tuleja łącznika drążka stabiliza
poduszka stabilizatora
amortyzator przedni
podu gór amor przed praw caro
podu amor gór lew caro
nakrętka M10X1.25
zest. napr. łącz.dr.stabiliz.
wahacz dolny lewy nkpl
tulejka met. łącz. dr. stabiliza
śruba wahacza gór. M12X1.25X754
obejma drążka stabilizatora
podkładka podusz. Dr. Reakcyj.
śruba łącz. stabili.M10X1.25X60
resor polonez
tuleja resoru przednia gruba
tuleja tylna resoru
wieszak resoru
wspornik środkowy resoru
skuwka resoru
jarzmo resoru
odbojnik resoru
przekładka resoru
wkładka obejmy resoru
drążek reakcyjnt tylny
tuleja drążka reakcyjnego tyln
śrub drąż reakc tyln M 14
amortyzator tylny
amortyzator tylny Caro
śruba resoru 12x1,25x95
śruba M12x120
wspornik mocowania teleskopu tył
10
2
23
81
15
1
1
16
7
4
7
8
2
5
4
2
4
28
1
1
10
52
110
10
4
6
26
4
3
20
10
6
1
79
1
12
23
6
1
3
6
9
22
44
7
34
40
6
8
11
16
12
A
A
A
A
A
A
A
A
A
A
A
A
A
A
A
A
A
A
A
A
A
A
A
A
A
A
A
A
A
A
a
A
A
A
A
A
A
A
A
A
A
a
A
A
A
A
A
A
A
A
A
A
335.
336.
337.
338.
339.
340.
341.
342.
343.
344.
345.
346.
347.
348.
349.
350.
351.
352.
353.
354.
355.
356.
357.
358.
359.
360.
361.
362.
363.
364.
365.
366.
367.
368.
369.
370.
371.
372.
373.
374.
375.
376.
377.
378.
379.
380.
381.
382.
383.
384.
385.
386.
śruba amortyzatora tył Caro
strzemię resoru III-piórowego
obejma resoru b/uchwytu
obejma resoru z uchwytem
tarcza koła 13
tarcza koła 13
śruba tarczy koła
aparat zapłonowy
palec rozdzielacza
głowica rozdzielacza
przerywacz zapłonu
sprężyna aparatu zapłonowego
tuleja gumowa przewodu
płytka aparatu zapłonowego
zestaw naprawczy aparatu zapł.
cewka zapł. Wtrysku
podstawa cewki
moduł zapłonu
mikroprocesor sterujący
czujnik prędkości
wiązka przewodów zapłonu GLI
wiązka przewodów zapłonu I-punkt.
cewka zapłonowa ELEKTRONIK
cewka zapłonowa wielopunkt
rozrusznik
wirnik rozrusznika
zespół sprzęgąjacy BENDIX
widełki przesówne rozrusznika
włącznik rozrusznika CARO
podkładka rozrusznika
szczotka rozrusznika
włącznik zapłonu CARO +
kostka stacyjki CARO +
kostka stacyjki CARO
przewód akumulatora rozrusznik
tuleja rozrusznika długa
tuleja rozrusznika krótka
podkładka regulująca BENDIXU
pierścień oporowy BENDIXU
pierścień hamowny rozrusznika
tulejka rozrusznika (BENDIXU)
alternator
tarcza przednia alternatora
stojan alternatora
stojan alternatora CARO +
wirnik alternatora CARO +
szczotkotrzymacz alternatora
płytka diodowa
koło pasowe alternatora
tuleja mocowania alternatora
nakretk mocowania alternatora
regulator napięcia
10
11
10
15
3
15
8
1
2
1
3
10
4
1
1
3
1
1
1
2
1
1
1
1
3
1
8
2
30
1
26
1
6
3
6
25
27
6
4
20
10
1
1
1
2
1
7
2
2
2
3
1
A
A
A
A
A
B
A
A
A
A
A
A
A
A
A
A
A
A
A
A
A
A
A
A
B
A
A
A
A
A
A
A
A
A
A
A
A
A
A
A
A
A
A
A
A
A
A
A
A
A
A
A
387.
388.
389.
390.
391.
392.
393.
394.
395.
396.
397.
398.
399.
400.
401.
402.
403.
404.
405.
406.
407.
408.
409.
410.
411.
412.
413.
414.
415.
416.
417.
418.
419.
420.
421.
422.
423.
424.
425.
426.
427.
428.
429.
430.
431.
432.
433.
434.
435.
436.
437.
438.
regulator napięcia Alter CARO
regulator napięcia ze szczotkami CARO +
wirnik alternatora CARO
tuleja mocowania alternatora metalowa
pokrętło świateł hydrokorek
wkret mocujący klosz lampy
lampa tylna prawa CARO
lampa tylna lewa CARO
lampa podświetl. tablicy rej. CARO
lampa kirunkowskazu przedn. prawa CARO
lampa kierunkowskazu lewa CARO
lampa kierunkowskazu przednia prawa
lampa kierunkowskazu boczna
lampa kierunkowskazu boczna CARO+
lampa kierunkowskazu boczna CARO
lampa podświetl. tablicy rej. CARO +
czujnik temperatury wody wtryskiwacza
linka licznika
linka szybkościomierza CARO
żarówka z oprawką 1,2 W
rezystor 0,25 W CARO +
panel sterowania nagrzewn. CARO +
gniazdo bezpiecznika CARO
mikroprocesor APE 17
przekaźnik wtrysku paliwa
przekaźnik 543 P
przełącznik zespolony
przełacznik zespolony CARO +
czujnik temperatury wody
włącznik termiczny chłodnicy
przerywacz na kontrolkę
czujnik ciśnienia oleju mały
czujnok ciśnienia oleju duży
mikroprocesor APE 07
wskaźnik poziomu paliwa CARO
czujnik poziomu paliwa ABIMEX
uszczelka czujnika paliwa
przerywacz kirunkowskazu
przerywacz kierunkowskazu CARO
kontroler świateł CARO +
przekaźnik świateł P541
przekaźnik sygnałów 542
włącznik światła STOP
włącznik drzwiowy
włacznik szyby ogrzewanej
włącznik dmuchawy CARO
włącznik świateł CARO +
włacznik swiateł awaryjnych CARO +
włącznik świateł P/M przód CARO +
włacznik świateł P/M tył CARO +
włącznik świateł cofania CARO +
włacznik szyby ogrzewanej CARO +
8
1
2
6
2
6
1
3
2
1
1
5
4
4
5
5
5
1
8
19
7
1
2
4
3
1
3
1
15
15
5
13
7
9
1
5
2
1
1
19
2
1
8
4
2
8
9
4
1
2
6
4
A
A
A
A
A
A
A
A
A
A
A
A
A
A
A
A
A
A
A
A
A
A
A
A
A
A
A
A
A
A
A
A
A
A
A
A
A
A
A
A
A
A
A
A
A
A
A
A
A
A
A
A
439.
440.
441.
442.
443.
444.
445.
446.
447.
448.
449.
450.
451.
452.
453.
454.
455.
456.
457.
458.
459.
460.
461.
462.
463.
464.
465.
466.
467.
468.
469.
470.
471.
472.
473.
474.
475.
476.
477.
478.
479.
480.
481.
482.
483.
484.
485.
486.
487.
488.
489.
490.
przełacznik blokady
czujnik położenia wału korbowego
oprawka żarówki podświetlenia deski
kontroler swiateł P/M
dioda prostownicza 1N4007
wskażnik paliwa
wskaźnik temperatury wody CARO +
włącznik klawisza dmuchawy
czujnik temperatury wody GSI
przekaźnik 540
pióro wycieraczki
pióro wycieraczki CARO
spryskiwacz szby CARO
zapalniczka kpl
gniazdo zapalniczki
siłownik dwuprzewodowy
ramię wycieraczki tylnej COMBI
pompka spryskiwacza CARO +
zamek drzwi przód lewe
zamek drzwi tył prawe
zamek drzwi tył lewe
sprężyna dźwigni klamki
zamek maski silnika
mechanizm opuszczania szyby lewej
mechanizm opuszczania szyby prawej
mechanizm opuszczania szyby tył
wspornik opuszczania szyby lewej przód
prowadnica szyby tylnej lewa
prowadnica szyby lewej przód
spręzyna gazowa tylnej klapy
zamek wlewu paliwa
zawias drzwi prawy tył
zawias drzwi lewy tył
rygiel zamka drzwi lewy ATU
ogranicznik drzwi przednich
ogranicznik drzwi tył
klamka wewnętrzna
klamka wewnętrzna prawa CARO +
korba podnosnika szyby
rączka linki maski
linka bagażnika
zderzak gumowy bagażnika
zaczep oparcia tylnego
ramka reflektora
zabezpieczenie zamka paliwa
zawias maski
rynienka drzwi tylnych prawa
wspornik opuszczania szyby prawy przód
nadkole plastykowe przód prawe
nadkole plastykowe przód lewe
linka maski silnika
szkilet przód prawy
10
2
18
2
13
6
2
1
1
1
9
80
9
1
2
3
2
1
1
2
3
2
3
1
1
3
1
3
7
5
4
1
1
1
15
28
1
22
20
3
2
35
3
1
3
2
5
1
1
3
1
1
A
A
A
A
A
A
A
A
A
A
A
A
A
A
A
A
A
A
A
A
A
A
A
A
A
A
A
A
A
A
A
A
A
A
A
A
A
A
A
A
A
A
A
A
A
A
A
A
A
A
A
A
491.
492.
493.
494.
495.
496.
497.
498.
499.
500.
501.
502.
503.
504.
505.
506.
507.
508.
509.
510.
511.
512.
513.
514.
515.
516.
517.
518.
519.
520.
521.
522.
523.
524.
525.
526.
527.
528.
529.
530.
531.
532.
533.
534.
535.
536.
537.
538.
539.
540.
541.
542.
wzmocnienie przód
dźwignia otwierania maski silnika CARO+
uchwyt otwierania maski CARO +
zamek klapki schowka
sprężyna zamka drzwi
wspornik zderzaka tylnego
korba szyby CARO +
poszycie drzwi przód lewe
poszycie drzwi tył lewe
płat drzwi przednich dolny lewych
płat drzwi przednich dolny prawych
płat drzwi tylnych dolny prawych
wzmocnienie progu wewnetrzne prawe
podproże z uchwytem lewe
podproże z uchwytem prawe
pas tylny
nakładka odblaskowa tylnej klapy
zaczep holowniczy przedni
litwa ozdobna błotnika tyl
uszczelka drzwi przednich
uszczelka drzwi tylnych lewa
uszczelka drzwi tylnych prawa
uszczelka drzwi przednich P/Kurzowa
błtnik tylny lewy
uszczelka bagażnika
lusterko boczne prawe
chlapacz przedni lewy
chlapacz przedni prawy CARO
chlapacz przedni lewy CARO
chlapacz przedni prawy CARO
chlapacz tył lewy CARO
chlapacz tylny prawy CARO
chlapacz tylny lewy CARO +
chlapacz tylny prawy CARO +
zderzak przedni CARO +
klamka kasetowa tył lewa CARO +
zderzak tylny CARO +
końcówka błotnika tylnego lewa
nakładka ozdobna progu prawa
klamka kasetowa przód lewa CARO +
błotnik przedni lewy
krata wlotu powietrza CARO +
osłona kraty wlotu powietrza CARO +
koncówka progu tylna prawa
koncówka błotnika przód lewa
koncówka błotnika tył prawa
klamka kasetowa przód prawa CARO +
zderzak przedni CARO
podszybie plastikowe
błotnik przedni prawy
szyba przednia klejona
szyba drzwi przednich prawa
1
3
4
4
9
1
1
2
2
1
5
2
1
2
1
1
1
1
2
6
7
16
1
1
3
3
11
3
8
1
7
7
8
9
2
1
1
3
1
1
1
1
2
1
3
2
4
1
5
1
1
1
A
A
A
A
A
A
A
A
A
A
A
A
A
A
A
A
A
A
A
A
A
A
A
A
A
A
A
A
A
A
A
A
A
A
A
A
A
A
A
A
A
A
A
A
A
A
A
A
A
A
A
A
543.
544.
545.
546.
547.
548.
549.
550.
551.
552.
553.
554.
555.
556.
557.
558.
559.
560.
561.
562.
563.
564.
565.
566.
567.
568.
569.
570.
571.
572.
573.
574.
wkład prowadnicy drzwi przednich
wkład prowadnicy drzwi przednich przedni
wkład prowadnicy drzwi przednich tylny
wkład prowadnicy drzwi tylnych przedni
wkład prowadnicy drzwi tylnych tylny
szyba slupka tylnego L
szyba slupka tylnego P
sprężyna siedzenia
prowadnica fotela CARO +
gąbka siedzenia CARO nowy typ
gabka oparcia fotela CARO
prowadnica fotela CARO + lewa
wykładzina maski silnika
nakładka plastikowa belki przedniej
nakładka wnęki bagaznika srodek
nakładka mocowania zapalniczki
nawiew wewn. deski srodkowy prawy
nawiew wewn. deski lewy CARO
pokrywa wewnetrznego lusterka
zatrzask tapicerski drzwi
spinka uszczelki P/K dolnej
spinka wykładziny maski
sworzeń pólki tylnej
zabezpieczenie korbki
uchwyt podpory maski
kostka mocowania kraty
kostka podłokietnika
spinka mocujaca tablicę rejestracyjną
spinka plastikowa reflektora
uchwyt półki tylnej
blachonakrętka 4,8 mm
spinka cięgna klamki
Żuk
1.
2.
3.
4.
5.
6.
7.
8.
9.
10.
most napędowy
półoś napedowa
przewód metalowy hamulca
Serwo hamulca
sworzeń serwa
uszczelka zbiorniczka hamulca
tuleja zwrotnicy
pierścień dystansowy
regulator napięcia
alternator
Polonez "Rover" 1,4
uszcelniacz wałka rozrządu
pasek rozrządu
napinacz paska rozrządu
linka gazu
termostat
pasek klinowy
rurka met. pompy nagrzewnicy
1.
2.
3.
4.
5.
6.
7.
2
2
5
2
5
1
1
3
1
1
2
1
1
1
1
2
2
1
1
174
10
95
4
33
8
1
70
46
5
83
42
66
A
A
A
A
A
B
B
A
A
A
A
A
A
A
A
A
A
A
A
A
A
A
A
A
A
A
A
A
A
A
A
A
1
1
1
4
5
3
1
1
1
1
A
A
A
A
A
A
A
A
A
B
1
2
1
1
1
4
1
A
A
A
A
A
A
A
8.
1.
2.
1.
2.
przwody zapłonowe
Peugeot 406
uszczelka skrzyni RH 29x47 - 11
sworzeń wahacza
Lancia Thema
amortyzator przedni
tuleja whacza tył
1 A
1 A
1 A
1 A
2 A