Ubezpieczenie od ognia i innych zdarzeń losowych budynków i

Transkrypt

Ubezpieczenie od ognia i innych zdarzeń losowych budynków i
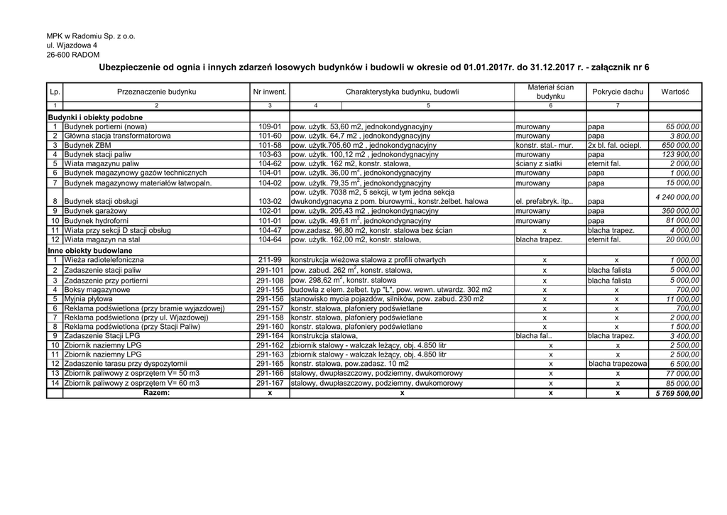
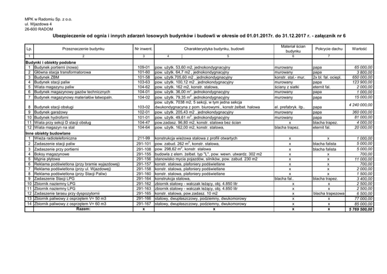
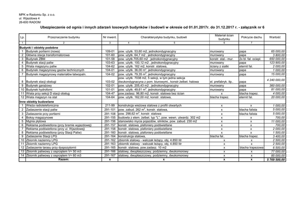
MPK w Radomiu Sp. z o.o.
ul. Wjazdowa 4
26-600 RADOM
Ubezpieczenie od ognia i innych zdarzeń losowych budynków i budowli w okresie od 01.01.2017r. do 31.12.2017 r. - załącznik nr 6
Lp.
Przeznaczenie budynku
Nr inwent.
1
2
3
Budynki i obiekty podobne
1 Budynek portierni (nowa)
2 Główna stacja transformatorowa
3 Budynek ZBM
4 Budynek stacji paliw
5 Wiata magazynu paliw
6 Budynek magazynowy gazów technicznych
7 Budynek magazynowy materiałów łatwopaln.
8
9
10
11
12
Budynek stacji obsługi
Budynek garażowy
Budynek hydroforni
Wiata przy sekcji D stacji obsług
Wiata magazyn na stal
Inne obiekty budowlane
1 Wieża radiotelefoniczna
2 Zadaszenie stacji paliw
3 Zadaszenie przy portierni
4 Boksy magazynowe
5 Myjnia płytowa
6 Reklama podświetlona (przy bramie wyjazdowej)
7 Reklama podświetlona (przy ul. Wjazdowej)
8 Reklama podświetlona (przy Stacji Paliw)
9 Zadaszenie Stacji LPG
10 Zbiornik naziemny LPG
11 Zbiornik naziemny LPG
12 Zadaszenie tarasu przy dyspozytornii
13 Zbiornik paliwowy z osprzętem V= 50 m3
14 Zbiornik paliwowy z osprzętem V= 60 m3
Razem:
109-01
101-60
101-58
103-63
104-62
104-01
104-02
Charakterystyka budynku, budowli
4
5
Materiał ścian
budynku
Pokrycie dachu
6
7
murowany
murowany
konstr. stal.- mur.
murowany
ściany z siatki
murowany
murowany
papa
papa
2x bl. fal. ociepl.
papa
eternit fal.
papa
papa
103-02
102-01
101-01
104-47
104-64
pow. użytk. 53,60 m2, jednokondygnacyjny
pow. użytk. 64,7 m2 , jednokondygnacyjny
pow. użytk.705,60 m2 , jednokondygnacyjny
pow. użytk. 100,12 m2 , jednokondygnacyjny
pow. użytk. 162 m2, konstr. stalowa,
pow. użytk. 36,00 m2, jednokondygnacyjny
pow. użytk. 79,35 m2, jednokondygnacyjny
pow. użytk. 7038 m2, 5 sekcji, w tym jedna sekcja
dwukondygnacyna z pom. biurowymi., konstr.żelbet. halowa
pow. użytk. 205,43 m2 , jednokondygnacyjny
pow. użytk. 49,61 m2, jednokondygnacyjny
pow.zadasz. 96,80 m2, konstr. stalowa bez ścian
pow. użytk. 162,00 m2, konstr. stalowa,
el. prefabryk. itp..
murowany
murowany
x
blacha trapez.
papa
papa
papa
blacha trapez.
eternit fal.
211-99
291-101
291-108
291-155
291-156
291-157
291-158
291-160
291-164
291-162
291-163
291-165
291-166
291-167
x
konstrukcja wieżowa stalowa z profili otwartych
2
pow. zabud. 262 m , konstr. stalowa,
2
pow. 298,62 m , konstr. stalowa
budowla z elem. żelbet. typ "L", pow. wewn. utwardz. 302 m2
stanowisko mycia pojazdów, silników, pow. zabud. 230 m2
konstr. stalowa, plafoniery podświetlane
konstr. stalowa, plafoniery podświetlane
konstr. stalowa, plafoniery podświetlane
konstrukcja stalowa,
zbiornik stalowy - walczak leżący, obj. 4.850 litr
zbiornik stalowy - walczak leżący, obj. 4.850 litr
konstr. stalowa, pow.zadasz. 10 m2
stalowy, dwupłaszczowy, podziemny, dwukomorowy
stalowy, dwupłaszczowy, podziemny, dwukomorowy
x
x
x
x
x
x
x
x
x
blacha fal..
x
x
x
x
x
x
x
blacha falista
blacha falista
x
x
x
x
x
blacha trapez.
x
x
blacha trapezowa
x
x
x
Wartość
65 000,00
3 800,00
650 000,00
123 900,00
2 000,00
1 000,00
15 000,00
4 240 000,00
360 000,00
81 000,00
4 000,00
20 000,00
1 000,00
5 000,00
5 000,00
700,00
11 000,00
700,00
2 000,00
1 500,00
3 400,00
2 500,00
2 500,00
6 500,00
77 000,00
85 000,00
5 769 500,00