EU-Sicherheitsdatenblatt white

Transkrypt

EU-Sicherheitsdatenblatt white
UNIJNA KARTA CHARAKTERYSTYKI
Zgodnie z rozporządzeniem (EG): 1907/2006
Data wejścia w życie: 18. Grudzień 2006
Data modyfikacji: 22. Listopad 2015
Care & Safe white; powłoka malarska
1. Nazwa środka / przygotowanie i przedsiębiorstwo wytwórcy
1.1. Nazwa środka Care & Safe white; powłoka malarska
1.2. Zastosowanie środka Dekontaminacja powietrza w pomieszczeniach i powierzchni;
również do stosowania w zakładach przemysłowych
1.3. Nazwa wytwórcy Care & Safe & Co k.s.; Technická 7, 82104 Bratysława, Słowacja
T: +42 1 911 631 981, Email: [email protected]
1.4. Numer telefonu alarmowego w czasie godzin pracy+42 1 911 631 981,(Pon.­Piątek 08:00­17:00)
2. Możliwe niebezpieczeństwa
brak
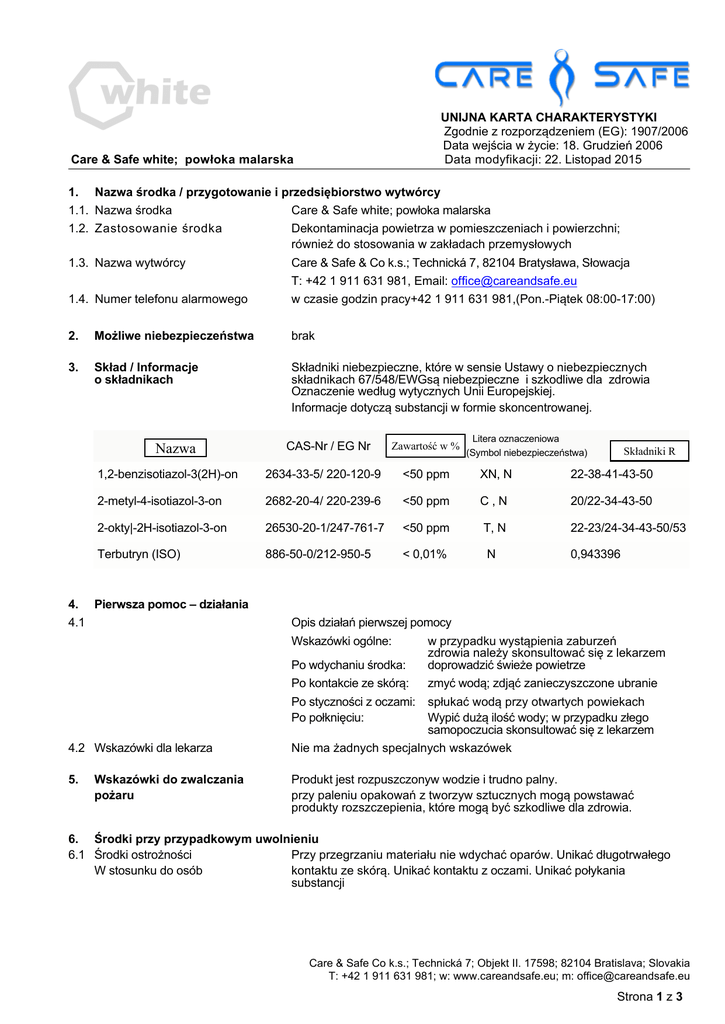
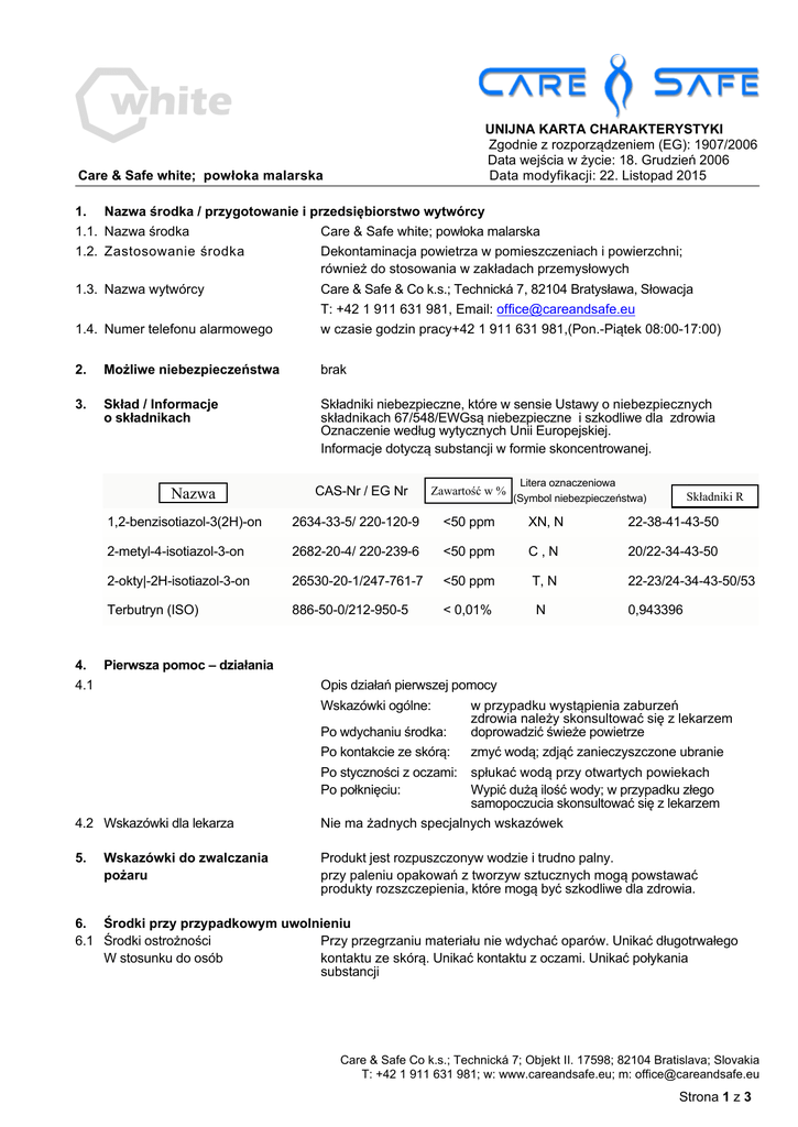
3.
Skład / Informacje o składnikach Składniki niebezpieczne, które w sensie Ustawy o niebezpiecznych
składnikach 67/548/EWGsą niebezpieczne i szkodliwe dla zdrowia
Oznaczenie według wytycznych Unii Europejskiej.
Informacje dotyczą substancji w formie skoncentrowanej.
Name
Nazwa
Gehalt
in%
Zawartość w %
Litera oznaczeniowa
(Symbol niebezpieczeństwa)
R-Sätze
Składniki R
1,2-benzisotiazol-3(2H)-on
2634-33-5/ 220-120-9
<50 ppm
XN, N
22-38-41-43-50
2-metyl-4-isotiazol-3-on
2682-20-4/ 220-239-6
<50 ppm
C,N
20/22-34-43-50
2-okty|-2H-isotiazol-3-on
26530-20-1/247-761-7
<50 ppm
T, N
22-23/24-34-43-50/53
Terbutryn (ISO)
886-50-0/212-950-5
< 0,01%
N
0,943396
4. Pierwsza pomoc – działania
4.1
4.2 Wskazówki dla lekarza 5.
CAS-Nr / EG Nr
Wskazówki do zwalczania
pożaru Opis działań pierwszej pomocy
Wskazówki ogólne: w przypadku wystąpienia zaburzeń
zdrowia należy skonsultować się z lekarzem
Po wdychaniu środka: doprowadzić świeże powietrze
Po kontakcie ze skórą: zmyć wodą; zdjąć zanieczyszczone ubranie
Po styczności z oczami: spłukać wodą przy otwartych powiekach
Po połknięciu: Wypić dużą ilość wody; w przypadku złego
samopoczucia skonsultować się z lekarzem
Nie ma żadnych specjalnych wskazówek
Produkt jest rozpuszczonyw wodzie i trudno palny.
przy paleniu opakowań z tworzyw sztucznych mogą powstawać
produkty rozszczepienia, które mogą być szkodliwe dla zdrowia.
6. Środki przy przypadkowym uwolnieniu
6.1 Środki ostrożności Przy przegrzaniu materiału nie wdychać oparów. Unikać długotrwałego
W stosunku do osób kontaktu ze skórą. Unikać kontaktu z oczami. Unikać połykania
substancji
Care & Safe Co k.s.; Technická 7; Objekt II. 17598; 82104 Bratislava; Slovakia
T: +42 1 911 631 981; w: www.careandsafe.eu; m: [email protected]
Strona 1 z 3
UNIJNA KARTA CHARAKTERYSTYKI
Zgodnie z rozporządzeniem (EG): 1907/2006
Data wejścia w życie: 18. Grudzień 2006
Data modyfikacji: 22. Listopad 2015
Care & Safe white; powłoka malarska
6.2
UmweltschutzmassnahmenNie odprowadzać do kanalizacji/ wód
powierzchniowych/ wód gruntowych. W przypadku zatrucia rzek, jezior lub
kanalizacji burzowej powiadomić odpowiednie służby zgodnie z
miejscowymi przepisami.
6.3 Procedury czyszczenia: Zebrać lub wytrzeć wylany produkt pomieszany z substancją wiążącą,
(piasek,
ziemia okrzemkowa, pochłaniacz kwasów, pochłaniacz uniwersalny,
trociny.
Zebrany względnie wytarty produkt usunąć zgodnie z przepisami..
7.
Postępowanie i przechowywanie
7.1 Postępowanie Wskazówki do bezpiecznej pracy ze środkiem:
Nie jeść i nie pić podczas pracy. Przed przerwami i po zakończeniu pracy:
dokładnie umyć ręce. Przechowywać niedostepne dla dzieci. Przed
użyciem przeczytać dokładnie informacje i instrukcję obsługi.
7.2 Przechowywanie
Wymagania dla magazynów i pojemników:
Pojemniki przechowywać dobrze zamknięte.
Nie przechowywać w temperaturze poniżej ­5°C i powyżej +25°C
Otwarte pojemniki zamknąć starannie i przechowywać w sposób
prawidłowy aby uniemożliwić ich wycieknięcie.
7.3 Opakowania Przechowywać w oryginalnych opakowaniach.
Wskazówki do przechowywania z innymi substancjami: nie przechowywać
razem ze skoncentrowanymi kwasami.
8. Wartości graniczne narażenia:
8.1 Parametry do monitorowania:
8.2 Ograniczanie i monitorowanie Ochrona dróg oddechowych i ochrona osobista:
brak
Troszczyć się o dobre napowietrzenie i wywietrzenie.
ekspozycji do ochrony instalację dróg oddechowych 8.3 Osobiste wyposażenie ochronne, Ogólne wyposażenie ochronne
Można to osiągnąć przez lokalne odciąganie powietrza lub ogólną
wywiewową.
Przy pracach natryskowych używać maski z filtrem.
Środki higieniczne
8.4 Ochrona rąk Przy dłuższym kontakcie nosić rękawice ochronne.
8.4 Ochrona oczu Przy pracach natryskowach nosić okulary ochronne.
9.
Właściwości fizyczne i chemiczne
9.1 Dane ogólne/wygląd Forma: Kolor: Zapach: płynna
biały
lekko słodki
9.2 Dane związane z bezpieczeństwem
Wartość pH: 8­9
Lepkość: bardzo lepki
Punkt zapłonu/ temp. zapłonu: nie dotyczy
Palnośćt (substancje stałe/opary) nie dotyczy
Temperatura samozapłonu : nie dotyczy
Właściwości wybuchowe: nie jest wybuchowy
Care & Safe Co k.s.; Technická 7; Objekt II. 17598; 82104 Bratislava; Slovakia
T: +42 1 911 631 981; w: www.careandsafe.eu; m: [email protected]
Strona 2 z 3
UNIJNA KARTA CHARAKTERYSTYKI
Zgodnie z rozporządzeniem (EG): 1907/2006
Data wejścia w życie: 18. Grudzień 2006
Data modyfikacji: 22. Listopad 2015
Care & Safe white; powłoka malarska
Gęstość: 1.200 g/m³
Rozpuszczalność w wodzie : nieograniczona rozpuszczalność
10. Stabilność i reaktywność
10.1 Warunki których należy unikać Unikać substancji utleniających jak produkty mocno alkaliczne
i skoncentrowanych kwasów
10.2 niebezpieczne produkty rozkładu W przypadku pożaru niewielka ilość produktów rozpadu CO i CO2
11. Dane toksykologiczne: przejściowym.
Przy kontakcie z oczami mogą wystąpić podrażnienia o charakterze
Po połknięciu może pojawić się złe samopoczucie
Przy kontakcie ze skórą mogą wystąpić podrażnienia o charakterze
przejściowym.
12. Dane ekologiczne:
brak danych.
Nie odprowadzać w stanie skoncentrowanym lub w dużych ilościach do
kanalizacji, wód powierzchniowych i wód grunowych.
13. Uwagi dotyczące unieszkodliwiania: Odpady unieszkodliwiać zgodnie z lokalnymi przepisami.
14. Dane dotyczące transportu:
Nie jest żadnym materiałem niebezpiecznym w rozumieniu przepisów transportowych
ADR, RID, IMDG jak również GGVS/GGVE/GGVSee i ICAO­TI/IATA­DGR
Nie może być przewożony w temperaturze poniżej 0°C
15. Przepisy prawne: 16. Inne dane:
Oznakowanie zgodnie z rozporządzeniem dotyczącym substancji
niebezpiecznych do etykietowania zawiera:
Składniki R
Składniki S
Informacje zgodnie z prawem wodnym dla gospodarstw domowych
Informacje zawarte w tej karcie charakterystyki odpowiadają, zgodnie z
najlepszą wiedzą, naszemu stanowi wiadomości w momencie opracowania.
Istniejące przepisy prawne i wykonawcze muszą być przestrzegane przez
odbiorców naszych produktów na własną odpowiedzialność.
Care & Safe Co k.s.; Technická 7; Objekt II. 17598; 82104 Bratislava; Slovakia
T: +42 1 911 631 981; w: www.careandsafe.eu; m: [email protected]
Strona 3 z 3