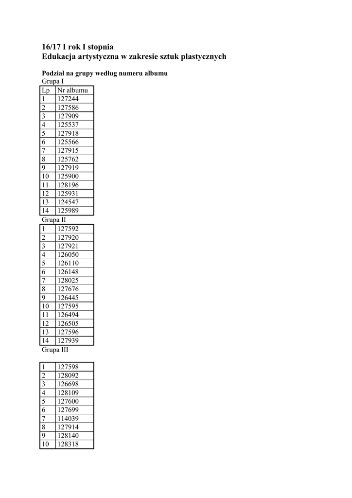
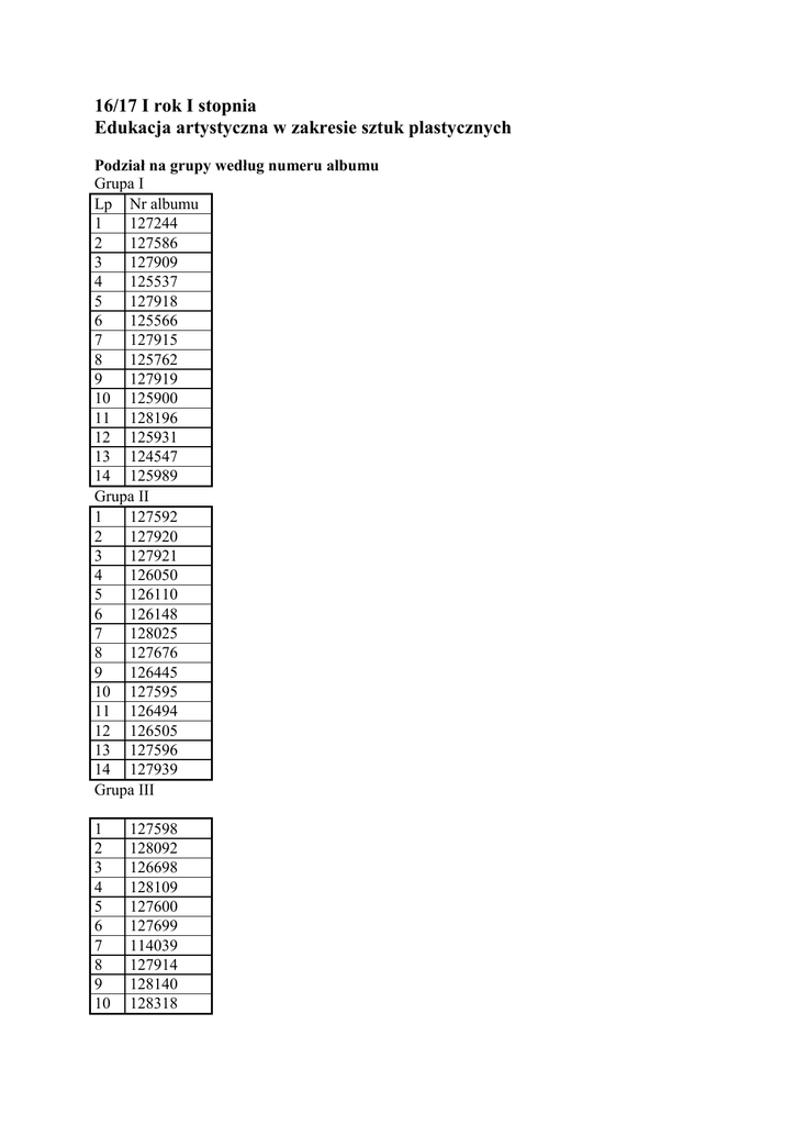
Edukacja artystyczna w zakresie sztuk plastycznych

Transkrypt

Edukacja artystyczna w zakresie sztuk plastycznych
16/17 I rok I stopnia
Edukacja artystyczna w zakresie sztuk plastycznych
Podział na grupy według numeru albumu
Grupa I
Lp Nr albumu
1
127244
2
127586
3
127909
4
125537
5
127918
6
125566
7
127915
8
125762
9
127919
10 125900
11 128196
12 125931
13 124547
14 125989
Grupa II
1
127592
2
127920
3
127921
4
126050
5
126110
6
126148
7
128025
8
127676
9
126445
10 127595
11 126494
12 126505
13 127596
14 127939
Grupa III
1
2
3
4
5
6
7
8
9
10
127598
128092
126698
128109
127600
127699
114039
127914
128140
128318
11
12
13
14
127130
127935
127190
127199