Zajęcia pozalekcyjne w ZS w CHYBICACH

Transkrypt

Zajęcia pozalekcyjne w ZS w CHYBICACH
Gimnazjum w Chybicach
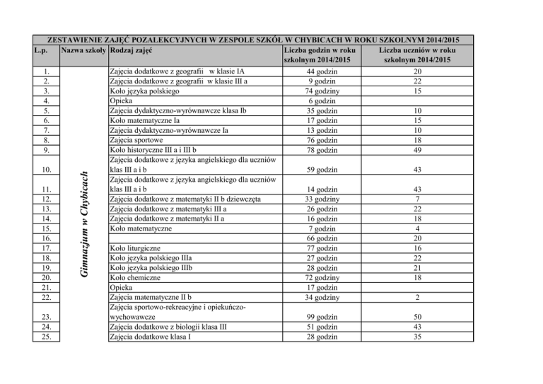
ZESTAWIENIE ZAJĘĆ POZALEKCYJNYCH W ZESPOLE SZKÓŁ W CHYBICACH W ROKU SZKOLNYM 2014/2015
L.p.
Nazwa szkoły Rodzaj zajęć
Liczba godzin w roku
Liczba uczniów w roku
szkolnym 2014/2015
szkolnym 2014/2015
Zajęcia dodatkowe z geografii w klasie IA
1.
44 godzin
20
Zajęcia dodatkowe z geografii w klasie III a
2.
9 godzin
22
Koło języka polskiego
3.
74 godziny
15
Opieka
4.
6 godzin
Zajęcia dydaktyczno-wyrównawcze klasa Ib
5.
35 godzin
10
Koło matematyczne Ia
6.
17 godzin
15
Zajęcia dydaktyczno-wyrównawcze Ia
7.
13 godzin
10
Zajęcia sportowe
8.
76 godzin
18
Koło historyczne III a i III b
9.
78 godzin
49
Zajęcia dodatkowe z języka angielskiego dla uczniów
klas III a i b
10.
59 godzin
43
Zajęcia dodatkowe z języka angielskiego dla uczniów
klas III a i b
11.
14 godzin
43
Zajęcia dodatkowe z matematyki II b dziewczęta
12.
33 godziny
7
Zajęcia
dodatkowe
z
matematyki
III
a
13.
26 godzin
22
Zajęcia dodatkowe z matematyki II a
14.
16 godzin
18
Koło matematyczne
15.
7 godzin
4
16.
66 godzin
20
Koło liturgiczne
17.
77 godzin
16
Koło języka polskiego IIIa
18.
27 godzin
22
Koło języka polskiego IIIb
19.
28 godzin
21
Koło chemiczne
20.
72 godziny
18
Opieka
21.
17 godzin
Zajęcia matematyczne II b
22.
34 godziny
2
Zajęcia sportowo-rekreacyjne i opiekuńczowychowawcze
23.
99 godzin
50
Zajęcia dodatkowe z biologii klasa III
24.
51 godzin
43
Zajęcia dodatkowe klasa I
25.
28 godzin
35
Opieka
Zajęcia dodatkowe z języka niemieckiego
Opieka
RAZEM
26.
27.
28.
32 godziny
68 godzin
12 godzin
1118 godzin
19
542
Szkoła Podstawowa w Chybicach
ZESTAWIENIE ZAJĘĆ POZALEKCYJNYCH W ZESPOLE SZKÓŁ W CHYBICACH W ROKU SZKOLNYM 2014/2015
Lp.
Nazwa szkoły Rodzaj zajęć
Liczba godzin w roku
Liczba uczniów w roku
szkolnym 2014/2015
szkolnym 2014/2015
Zajęcia dodatkowe z przyrody w klasie VIa
1.
25 godzin
15
Opieka
2.
3 godziny
Zajęcia sportowe w klasie VIb
3.
31 godzin
9
Opieka
4.
9 godzin
Zajęcia dydaktyczno-wyrównawcze z matematyki
klasa VIb
5.
30 godzin
15
Zajęcia artystyczne i zajęcia wyrównawcze
6.
77 godzin
19
Zajęcia logopedyczne
7.
42 godziny
39
Zajęcia plastyczne i wyrównawcze
8.
81 godzin
9
Zajęcia dodatkowe z matematyki
9.
77 godzin
16
Koło biblioteczne
10.
56 godzin
12
Zajęcia dodatkowe i zajęcia wyrównawcze
11.
81 godzin
19
Zajęcia sportowe
12.
59 godzin
20
Zajęcia logopedyczne
13.
42 godziny
66
Zajęcia dodatkowe z języka niemieckiego klasa IV a
14.
34 godziny
14
Zajęcia dodatkowe z języka niemieckiego klasa V
15.
40 godzin
10
Zajęcia dodatkowe z języka angielskiego klasa III
16.
36 godzin
12
Zajęcia dodatkowe z języka angielskiego klasa IV a
17.
37 godzin
12
Opieka
18.
5 godzin
Zajęcia opiekuńczo-wychowawcze
19.
90 godzin
5
Zajęcia
korekcyjno-kompensacyjne
20.
88 godzin
17
Zajęcia dodatkowe z religii
21.
69 godzin
37
Opieka
22.
7 godzin
Szkoła Podstawo
23.
24.
25.
26.
27.
28.
29.
30.
31.
32.
33.
34.
Karta rowerowa
Opieka
Zajęcia dodatkowe
Opieka
Koło języka polskiego klasa VI a
Koło języka polskiego klasa VI b
Język polski klasa V
Język polski IV b
Zajęcia wyrównawcze
Zajęcia dodatkowe z matematyki klasa IV a
opieka
Zajęcia zwiększające szansę edukacyjną uczniów
Zajęcia dodatkowe z języka angielskiego w klasie VI
Zajęcia integracyjne. ruchowe i zajęcia plastyczne
RAZEM
35.
50 godzin
40 godzin
73 godziny
10 godzin
25 godzin
12 godzin
46 godzin
39 godzin
76 godzin
34 godziny
16 godzin
72 godzin
23
83
76
1 671 godzin
30
7
537
18
16
15
18
17
19
1
27
Szkoła Podstawowa Filia Grabków
ZESTAWIENIE ZAJĘĆ POZALEKCYJNYCH W ZESPOLE SZKÓŁ W CHYBICACH W ROKU SZKOLNYM 2014/2015
Lp.
Nazwa szkoły Rodzaj zajęć
Liczba godzin w roku Liczba uczniów w roku
szkolnym 2014/2015
szkolnym 2014/2015
Bawimy i uczymy się – zabawy edukacyjne
1.
58 godzin
6
Koło odkrywców – gry i zabawy edukacyjne
2.
57 godzin
24
English is fun – zajęcia wspomagające naukę języka
angielskiego
3.
34 godziny
12
Chcę wiedzieć więcej
4.
46 godzin
6
Gry i zabawy ogólnorozwojowe „Klub Maluchy”
5.
25 godzin
12
Gry i zabawy edukacyjne i bilioterapeutyczne
6.
24 godziny
10
Niemiecki dla dzieci
7.
9,5 godziny
7
RAZEM
253,5 godziny
77
ZESTAWIENIE ZAJĘĆ POZALEKCYJNYCH W SZKOŁACH W ROKU SZKOLNYM 2014/2015
1.
2.
3.
4.
Nazwa szkoły
Rodzaj zajęć
Szkoła
Podstawowa Filia Bostów
Lp.
Zajęcia dydaktyczne, wyrównawcze i opiekuńcze, koło
wokalno-taneczne
Zajęcia teatralne (artystyczne)
Zajęcia dydaktyczno-wyrównawcze Klasa I
Niemiecki dla dzieci
RAZEM
Liczba godzin w roku
szkolnym 2014/2015
Liczba uczniów w roku
szkolnym 2014/2015
80 godzin
32 godziny
49 godzin
9 godzin
170 godzin
19
11
21
8
59