Szablon mieszka%F1 pusty

Transkrypt

Szablon mieszka%F1 pusty
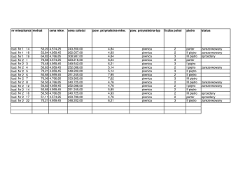
nr mieszkania metraż
bud. Nr 1
bud. Nr 1
bud. Nr 1
bud. Nr 2
bud. Nr 2
bud. Nr 2
bud. Nr 2
bud. Nr 2
bud. Nr 2
bud. Nr 2
bud. Nr 2
bud. Nr 2
bud. Nr 2
bud. Nr 2
bud. Nr 2
14
18
19
1
3
4
5
6
7
8
12
14
16
17
22
53,20
52,84
64,82
70,66
70,48
50,83
70,21
50,66
70,06
50,50
50,83
50,66
50,50
51,11
70,21
cena mkw.
cena całości
4.574,25
4.959,45
4.766,85
4.574,25
4.959,45
4.959,45
4.959,45
4.959,45
4.766,85
4.766,85
4.959,45
4.959,45
4.766,85
4.574,25
4.959,45
243.350,00
262.057,00
308.987,00
323.216,00
349.542,00
252.088,00
348.202,00
251.245,00
333.965,00
240.725,00
252.088,00
251.245,00
240.725,00
233.789,00
348.202,00
pow. przynależna-mkw.
4,84
4,93
4,84
6,24
6,21
5,14
5,14
7,95
7,62
4,76
4,76
5,85
4,93
4,76
6,21
pow. przynależna-typ
piwnica
piwnica
piwnica
piwnica
piwnica
piwnica
piwnica
piwnica
piwnica
piwnica
piwnica
piwnica
piwnica
piwnica
piwnica
liczba pokoi
2
2
3
3
3
2
3
2
3
2
2
2
2
2
3
piętro
status
parter
II piętro
III piętro
parter
I piętro
I piętro
II piętro
II piętro
III piętro
III piętro
I piętro
II piętro
III piętro
parter
II piętro
zarezerwowany
zarezerwowany
sprzedany
zarezerwowany
zarezerwowany
zarezerwowany
sprzedany
sprzedany
zarezerwowany