Informacja o zuzytych i zbednych składnikach majątku będących na

Transkrypt

Informacja o zuzytych i zbednych składnikach majątku będących na
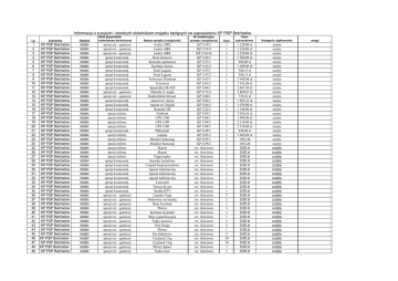
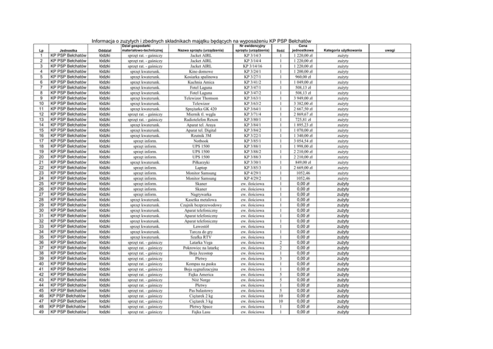
Informacja o zuzytych i zbednych składnikach majątku będących na wyposażeniu KP PSP Bełchatów
Lp
Jednostka
Oddział
Dział gospodarki
materiałowo-technicznej
1
2
3
4
5
6
7
8
9
10
11
12
13
14
15
16
17
18
19
20
21
22
23
24
25
26
27
28
29
30
31
32
33
34
35
36
37
38
39
40
41
42
43
44
45
46
47
48
49
KP PSP Bełchatów
KP PSP Bełchatów
KP PSP Bełchatów
KP PSP Bełchatów
KP PSP Bełchatów
KP PSP Bełchatów
KP PSP Bełchatów
KP PSP Bełchatów
KP PSP Bełchatów
KP PSP Bełchatów
KP PSP Bełchatów
KP PSP Bełchatów
KP PSP Bełchatów
KP PSP Bełchatów
KP PSP Bełchatów
KP PSP Bełchatów
KP PSP Bełchatów
KP PSP Bełchatów
KP PSP Bełchatów
KP PSP Bełchatów
KP PSP Bełchatów
KP PSP Bełchatów
KP PSP Bełchatów
KP PSP Bełchatów
KP PSP Bełchatów
KP PSP Bełchatów
KP PSP Bełchatów
KP PSP Bełchatów
KP PSP Bełchatów
KP PSP Bełchatów
KP PSP Bełchatów
KP PSP Bełchatów
KP PSP Bełchatów
KP PSP Bełchatów
KP PSP Bełchatów
KP PSP Bełchatów
KP PSP Bełchatów
KP PSP Bełchatów
KP PSP Bełchatów
KP PSP Bełchatów
KP PSP Bełchatów
KP PSP Bełchatów
KP PSP Bełchatów
KP PSP Bełchatów
KP PSP Bełchatów
KP PSP Bełchatów
KP PSP Bełchatów
KP PSP Bełchatów
KP PSP Bełchatów
łódzki
łódzki
łódzki
łódzki
łódzki
łódzki
łódzki
łódzki
łódzki
łódzki
łódzki
łódzki
łódzki
łódzki
łódzki
łódzki
łódzki
łódzki
łódzki
łódzki
łódzki
łódzki
łódzki
łódzki
łódzki
łódzki
łódzki
łódzki
łódzki
łódzki
łódzki
łódzki
łódzki
łódzki
łódzki
łódzki
łódzki
łódzki
łódzki
łódzki
łódzki
łódzki
łódzki
łódzki
łodzki
łodzki
łodzki
łodzki
łodzki
sprzęt rat. - gaśniczy
sprzęt rat. - gaśniczy
sprzęt rat. - gaśniczy
sprzęt kwaterunk.
sprzęt kwaterunk.
sprzęt kwaterunk.
sprzęt kwaterunk.
sprzęt kwaterunk.
sprzęt kwaterunk.
sprzęt kwaterunk.
sprzęt kwaterunk.
sprzęt rat. - gaśniczy
sprzęt rat. - gaśniczy
sprzęt kwaterunk.
sprzęt kwaterunk.
sprzęt kwaterunk.
sprzęt inform.
sprzęt inform.
sprzęt inform.
sprzęt inform.
sprzęt kwaterunk.
sprzęt inform.
sprzęt inform.
sprzęt inform.
sprzęt inform.
sprzęt inform.
sprzęt inform.
sprzęt kwaterunk.
sprzęt kwaterunk.
sprzęt kwaterunk.
sprzęt kwaterunk.
sprzęt kwaterunk.
sprzęt kwaterunk.
sprzęt kwaterunk.
sprzęt kwaterunk.
sprzęt rat. - gaśniczy
sprzęt rat. - gaśniczy
sprzęt rat. - gaśniczy
sprzęt rat. - gaśniczy
sprzęt rat. - gaśniczy
sprzęt rat. - gaśniczy
sprzęt rat. - gaśniczy
sprzęt rat. - gaśniczy
sprzęt rat. - gaśniczy
sprzęt rat. - gaśniczy
sprzęt rat. - gaśniczy
sprzęt rat. - gaśniczy
sprzęt rat. - gaśniczy
sprzęt rat. - gaśniczy
Nazwa sprzętu (urządzenia)
Nr ewidencyjny
sprzętu (urządzenia)
Ilość
Cena
jednostkowa
Kategoria użytkowania
Jacket AIRL
Jacket AIRL
Jacket AIRL
Kino domowe
Kosiarka spalinowa
Kuchnia Amica
Fotel Laguna
Fotel Laguna
Telewizor Thomson
Telewizor
Sprężarka GK 420
Miernik tl. węgla
Radiotelefon Rexon
Aparat tel. Araya
Aparat tel. Digital
Rzutnik 3M
Notbook
UPS 1500
UPS 1500
UPS 1500
Piłkarzyki
Laptop
Monitor Samsung
Monitor Samsung
Skaner
Skaner
Nagrywarka
Kasetka metalowa
Czajnik bezprzewodowy
Aparat telefoniczny
Aparat telefoniczny
Aparat telefoniczny
Ławostół
Tarcza do gry
Szafka RTV
Latarka Vega
Pokrowiec na latarkę
Boja Jecostop
Płetwy
Kompas na pasku
Boja sygnalizacyjna
Fajka America
Nóż Norge
Płetwy
Pas balastowy
Ciężarek 2 kg
Ciężarek 3 kg
Płetwy Space
Fajka Lasu
KP 3/14/3
KP 3/14/4
KP 3/14/16
KP 3/24/1
KP 3/27/1
KP 3/41/2
KP 3/47/1
KP 3/47/2
KP 3/63/1
KP 3/63/2
KP 3/64/1
KP 3/71/4
KP 3/80/1
KP 3/84/1
KP 3/84/2
KP 3/22/1
KP 3/85/1
KP 3/88/1
KP 3/88/2
KP 3/88/3
KP 3/30/1
KP 3/85/3
KP 4/29/1
KP 4/29/2
ew. ilościowa
ew. ilościowa
ew. ilościowa
ew. ilościowa
ew. ilościowa
ew. ilościowa
ew. ilościowa
ew. ilościowa
ew. ilościowa
ew. ilościowa
ew. ilościowa
ew. ilościowa
ew. ilościowa
ew. ilościowa
ew. ilościowa
ew. ilościowa
ew. ilościowa
ew. ilościowa
ew. ilościowa
ew. ilościowa
ew. ilościowa
ew. ilościowa
ew. ilościowa
ew. ilościowa
ew. ilościowa
1
1
1
1
1
1
1
1
1
1
1
1
1
1
1
1
1
1
1
1
1
1
1
1
1
1
1
1
1
1
1
1
1
1
1
2
2
1
3
1
1
5
5
1
5
10
10
1
1
1 220,00 zł
1 220,00 zł
1 220,00 zł
1 200,00 zł
960,00 zł
1 049,00 zł
508,13 zł
508,13 zł
3 949,00 zł
3 382,00 zł
2 667,50 zł
2 869,67 zł
725,81 zł
1 895,23 zł
1 070,00 zł
1 340,00 zł
3 054,54 zł
1 998,00 zł
2 210,00 zł
2 210,00 zł
849,00 zł
2 669,00 zł
1052,46
1052,46
0,00 zł
0,00 zł
0,00 zł
0,00 zł
0,00 zł
0,00 zł
0,00 zł
0,00 zł
0,00 zł
0,00 zł
0,00 zł
0,00 zł
0,00 zł
0,00 zł
0,00 zł
0,00 zł
0,00 zł
0,00 zł
0,00 zł
0,00 zł
0,00 zł
0,00 zł
0,00 zł
0,00 zł
0,00 zł
zużyty
zużyty
zużyty
zużyty
zużyty
zużyty
zużyty
zużyty
zużyty
zużyty
zużyty
zużyty
zużyty
zużyty
zużyty
zużyty
zużyty
zużyty
zużyty
zużyty
zużyty
zużyty
zużyty
zużyty
zużyty
zużyty
zużyty
zużyty
zużyty
zużyty
zużyty
zużyty
zużyty
zużyty
zużyty
zużyty
zużyty
zużyty
zużyty
zużyty
zużyty
zużyty
zużyty
zużyty
zużyty
zużyty
zużyty
zużyty
zużyty
uwagi
50
51
52
53
54
55
56
57
58
59
60
61
62
63
64
65
66
67
68
69
70
71
72
73
74
75
76
77
78
79
80
81
82
83
84
85
86
KP PSP Bełchatów
KP PSP Bełchatów
KP PSP Bełchatów
KP PSP Bełchatów
KP PSP Bełchatów
KP PSP Bełchatów
KP PSP Bełchatów
KP PSP Bełchatów
KP PSP Bełchatów
KP PSP Bełchatów
KP PSP Bełchatów
KP PSP Bełchatów
KP PSP Bełchatów
KP PSP Bełchatów
KP PSP Bełchatów
KP PSP Bełchatów
KP PSP Bełchatów
KP PSP Bełchatów
KP PSP Bełchatów
KP PSP Bełchatów
KP PSP Bełchatów
KP PSP Bełchatów
KP PSP Bełchatów
KP PSP Bełchatów
KP PSP Bełchatów
KP PSP Bełchatów
KP PSP Bełchatów
KP PSP Bełchatów
KP PSP Bełchatów
KP PSP Bełchatów
KP PSP Bełchatów
KP PSP Bełchatów
KP PSP Bełchatów
KP PSP Bełchatów
KP PSP Bełchatów
KP PSP Bełchatów
KP PSP Bełchatów
łodzki
łodzki
łodzki
łodzki
łodzki
łodzki
łodzki
łodzki
łodzki
łodzki
łodzki
łodzki
łodzki
łodzki
łodzki
łodzki
łodzki
łodzki
łodzki
łodzki
łodzki
łodzki
łodzki
łodzki
łodzki
łodzki
łodzki
łodzki
łodzki
łodzki
łodzki
łodzki
łodzki
łodzki
łodzki
łodzki
łodzki
sprzęt rat. - gaśniczy
sprzęt kwaterunk/
sprzęt rat. - gaśniczy
sprzęt kwaterunk/
sprzęt kwaterunk/
sprzęt kwaterunk/
sprzęt kwaterunk/
sprzęt kwaterunk.
sprzęt kwaterunk.
sprzęt kwaterunk.
sprzęt rat. - gaśniczy
sprzęt rat. - gaśniczy
sprzęt kwaterunk.
sprzęt kwaterunk.
sprzęt kwaterunk.
sprzęt kwaterunk.
sprzęt kwaterunk.
sprzęt kwaterunk.
sprzęt kwaterunk.
sprzęt kwaterunk.
sprzęt kwaterunk.
sprzęt kwaterunk.
sprzęt kwaterunk.
sprzęt kwaterunk.
sprzęt kwaterunk.
sprzęt kwaterunk.
sprzęt rat. - gaśniczy
sprzęt rat. - gaśniczy
sprzęt kwaterunk.
sprzęt kwaterunk.
sprzęt kwaterunk.
sprzęt kwaterunk.
sprzęt rat. - gaśniczy
sprzęt rat. - gaśniczy
sprzęt łączności
sprzęt łączności
sprzęt łączności
Buty neoprenowe
Stół bilardowy
Zbiornik brezent.
Telewizor Delstar
Odtwarzacz Funai
Szafa
Kanapa narożna
Spawarka
Dźwignik hydrauliczny Żaba
Pistolet natryskowy
Butla powietrzna
Linka strażacka
Alkomat
Maszyna do pisania
Maszyna do szycia
Antena satelitarna
Tuner satelitarny
Materac
Szafka nocna
Szafa BHP
Stolik RTV
Ława
Stół
Tapczan
Łóżko polowe
Alurama
Wąż W-52
Wąż W-75
Czajnik elektryczny
Szafka wisząca
Szafka pod zlew
Szafka na środki czystości
Radiotelefon R-2432
Radiotelefon
Aparat tel. 2702
Tele FDN ISDN
Telefon Linksys SPA 942-EU
ew. ilościowa
ew. ilościowa
KW 2/22/1
KW 2/31/2
KW 2/32/2
KW 2/58/8
KW 2/80/1
ew. ilościowa
ew. ilościowa
ew. ilościowa
ew. ilościowa
ew. ilościowa
ew. ilościowa
ew. ilościowa
ew. ilościowa
ew. ilościowa
ew. ilościowa
ew. ilościowa
ew. ilościowa
ew. ilościowa
ew. ilościowa
ew. ilościowa
ew. ilościowa
ew. ilościowa
ew. ilościowa
ew. ilościowa
ew. ilościowa
ew. ilościowa
ew. ilościowa
ew. ilościowa
ew. ilościowa
ew. ilościowa
ew. ilościowa
ew. ilościowa
ew. ilościowa
ew. ilościowa
ew. ilościowa
1
1
1
1
1
1
1
1
1
1
4
5
1
1
1
1
1
5
9
19
1
1
1
9
5
2
5
7
1
1
1
1
3
4
2
2
1
0,00 zł
0,00 zł
750,00 zł
1 440,00 zł
579,02
560,00 zł
2 488,80 zł
0,00 zł
0,00 zł
0,00 zł
0,00 zł
0,00 zł
0,00 zł
0,00 zł
0,00 zł
0,00 zł
0,00 zł
0,00 zł
0,00 zł
0,00 zł
0,00 zł
0,00 zł
0,00 zł
0,00 zł
0,00 zł
0,00 zł
0,00 zł
0,00 zł
0,00 zł
0,00 zł
0,00 zł
0,00 zł
0,00 zł
0,00 zł
0,00 zł
0,00 zł
0,00 zł
zużyty
zużyty
zużyty
zużyty
zużyty
zużyty
zużyty
zużyty
zużyty
zużyty
zużyty
zużyty
zużyty
zużyty
zużyty
zużyty
zużyty
zużyty
zużyty
zużyty
zużyty
zużyty
zużyty
zużyty
zużyty
zużyty
zużyty
zużyty
zużyty
zużyty
zużyty
zużyty
zużyty
zużyty
zużyty
zużyty
zużyty