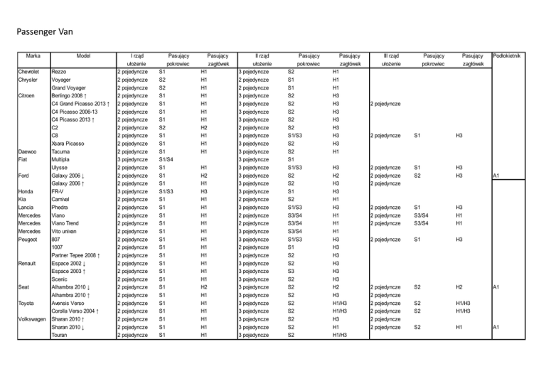
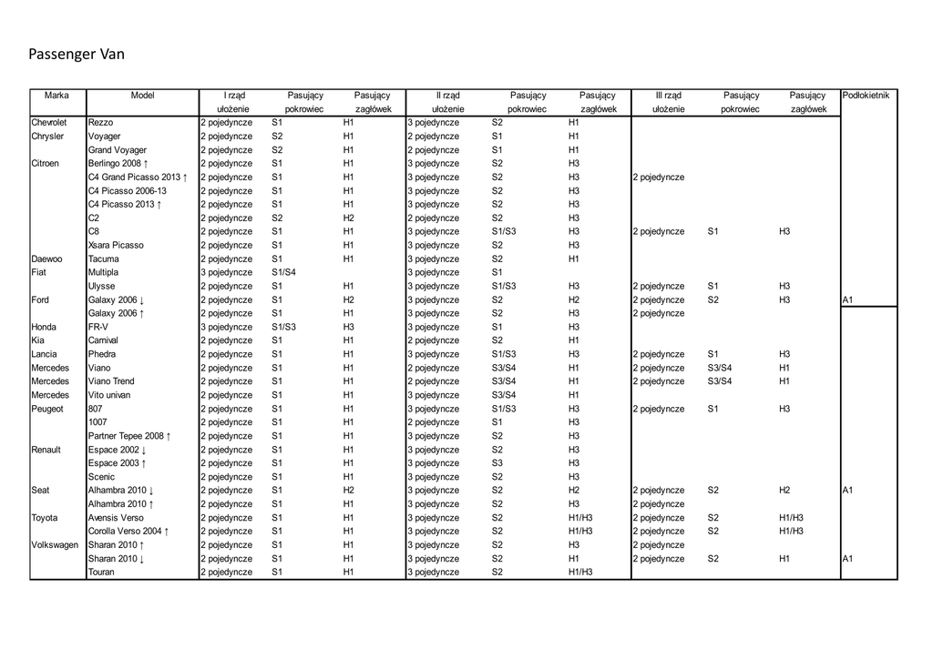
Passenger Van

Transkrypt

Passenger Van
Passenger Van
Marka
Chevrolet
Chrysler
Citroen
Daewoo
Fiat
Ford
Honda
Kia
Lancia
Mercedes
Mercedes
Mercedes
Peugeot
Renault
Seat
Toyota
Volkswagen
Model
Rezzo
Voyager
Grand Voyager
Berlingo 2008 ↑
C4 Grand Picasso 2013 ↑
C4 Picasso 2006-13
C4 Picasso 2013 ↑
C2
C8
Xsara Picasso
Tacuma
Multipla
Ulysse
Galaxy 2006 ↓
Galaxy 2006 ↑
FR-V
Carnival
Phedra
Viano
Viano Trend
Vito univan
807
1007
Partner Tepee 2008 ↑
Espace 2002 ↓
Espace 2003 ↑
Scenic
Alhambra 2010 ↓
Alhambra 2010 ↑
Avensis Verso
Corolla Verso 2004 ↑
Sharan 2010 ↑
Sharan 2010 ↓
Touran
I rząd
ułożenie
2 pojedyncze
2 pojedyncze
2 pojedyncze
2 pojedyncze
2 pojedyncze
2 pojedyncze
2 pojedyncze
2 pojedyncze
2 pojedyncze
2 pojedyncze
2 pojedyncze
3 pojedyncze
2 pojedyncze
2 pojedyncze
2 pojedyncze
3 pojedyncze
2 pojedyncze
2 pojedyncze
2 pojedyncze
2 pojedyncze
2 pojedyncze
2 pojedyncze
2 pojedyncze
2 pojedyncze
2 pojedyncze
2 pojedyncze
2 pojedyncze
2 pojedyncze
2 pojedyncze
2 pojedyncze
2 pojedyncze
2 pojedyncze
2 pojedyncze
2 pojedyncze
Pasujący
pokrowiec
S1
S2
S2
S1
S1
S1
S1
S2
S1
S1
S1
S1/S4
S1
S1
S1
S1/S3
S1
S1
S1
S1
S1
S1
S1
S1
S1
S1
S1
S1
S1
S1
S1
S1
S1
S1
Pasujący
zagłówek
H1
H1
H1
H1
H1
H1
H1
H2
H1
H1
H1
H1
H2
H1
H3
H1
H1
H1
H1
H1
H1
H1
H1
H1
H1
H1
H2
H1
H1
H1
H1
H1
H1
II rząd
ułożenie
3 pojedyncze
2 pojedyncze
2 pojedyncze
3 pojedyncze
3 pojedyncze
3 pojedyncze
3 pojedyncze
2 pojedyncze
3 pojedyncze
3 pojedyncze
3 pojedyncze
3 pojedyncze
3 pojedyncze
3 pojedyncze
3 pojedyncze
3 pojedyncze
2 pojedyncze
3 pojedyncze
2 pojedyncze
2 pojedyncze
3 pojedyncze
3 pojedyncze
2 pojedyncze
3 pojedyncze
3 pojedyncze
3 pojedyncze
3 pojedyncze
3 pojedyncze
3 pojedyncze
3 pojedyncze
3 pojedyncze
3 pojedyncze
3 pojedyncze
3 pojedyncze
Pasujący
pokrowiec
S2
S1
S1
S2
S2
S2
S2
S2
S1/S3
S2
S2
S1
S1/S3
S2
S2
S1
S2
S1/S3
S3/S4
S3/S4
S3/S4
S1/S3
S1
S2
S2
S3
S2
S2
S2
S2
S2
S2
S2
S2
Pasujący
zagłówek
H1
H1
H1
H3
H3
H3
H3
H3
H3
H3
H1
H3
H2
H3
H3
H1
H3
H1
H1
H1
H3
H3
H3
H3
H3
H3
H2
H3
H1/H3
H1/H3
H3
H1
H1/H3
III rząd
ułożenie
Pasujący
pokrowiec
Pasujący
zagłówek
Podłokietnik
2 pojedyncze
2 pojedyncze
S1
H3
2 pojedyncze
2 pojedyncze
2 pojedyncze
S1
S2
H3
H3
2 pojedyncze
2 pojedyncze
2 pojedyncze
S1
S3/S4
S3/S4
H3
H1
H1
2 pojedyncze
S1
H3
2 pojedyncze
2 pojedyncze
2 pojedyncze
2 pojedyncze
2 pojedyncze
2 pojedyncze
S2
H2
S2
S2
H1/H3
H1/H3
S2
H1
A1
A1
A1