Systematyka i budowa roślin Nauka zajmująca się tworzeniem

Transkrypt

Systematyka i budowa roślin Nauka zajmująca się tworzeniem
Systematyka i budowa roślin
Nauka zajmująca się tworzeniem systemu klasyfikacji organizmów Ŝywych, nazywaniem ich i
opisywaniem w uporządkowany sposób to:
A. ornitologia
B. genetyka
C. anatomia
D. systematyka
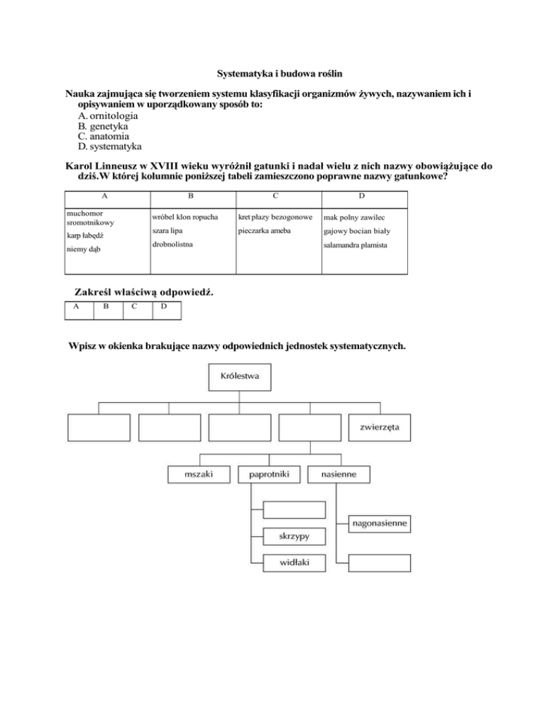
Karol Linneusz w XVIII wieku wyróŜnił gatunki i nadał wielu z nich nazwy obowiąŜujące do
dziś.W której kolumnie poniŜszej tabeli zamieszczono poprawne nazwy gatunkowe?
A
B
muchomor
sromotnikowy
karp łabędź
D
wróbel klon ropucha
kret płazy bezogonowe
mak polny zawilec
szara lipa
pieczarka ameba
gajowy bocian biały
drobnolistna
niemy dąb
C
salamandra plamista
Zakreśl właściwą odpowiedź.
A
B
C
D
Wpisz w okienka brakujące nazwy odpowiednich jednostek systematycznych.
Na rysunkach przedstawiono kilku przedstawicieli róŜnych Królestw i Gromad.
Podpisz rysunki nazwą Królestwa, do którego zaliczysz poniŜsze okazy
Na schematycznym rysunku przedstawiono glony jedno i wielokomórkowe. Rozpoznaj je
wpisując odpowiednie nazwy gatunkowe. Wyjaśnij dlaczego nie moŜna zaliczyć glonów
wielokomórkowych do roślin tkankowych?
........................................................................................................................................................
PoniŜszy rysunek przedstawia roślinę okrytonasienną. Literami A, B, C i D oznaczono
poszczególne jej organy.
Nazwij je i podaj ich podstawowe funkcje.
Nazwa organu
Pełniona funkcja
A
B
C
D
W odpowiednich miejscach narysuj systemy korzeniowe roślin
System wiązkowy
System palowy
Przeczytaj uwaŜnie poniŜszy tekst i odpowiedz na zamieszczone pod nim pytania.
Drewno przewodzi wodę z solami mineralnymi w jednym kierunku – z korzenia przez
łodygę do liści i do wierzchołka rośliny. Przewodzenie to zachodzi dzięki parciu
korzeniowemu oraz sile ssącej liści, które powodują unoszenie się wody. Asymilaty,
wytwarzane przede wszystkim w liściach, transportuje łyko. Transport ten odbywa się
dwukierunkowo: w górę i w dół rośliny, bowiem substancje organiczne muszą dotrzeć
równieŜ do tych miejsc, gdzie nie zachodzi fotosyn-teza, np. do korzeni, kwiatów,
owoców.
a. Jakie substancje przewodzi łyko? W którym kierunku?
.........................................................................................................................................
.........................................................................................................................................
a. Jakie substancje przewodzi drewno? W którym kierunku?
.........................................................................................................................................
.........................................................................................................................................
Uzupełnij poniŜsze zdania, wykorzystując podane terminy:
cewki, rurki sitowe, naczynia
Łyko tworzą ...............................................................
Drewno zbudowane jest z .......................... ... i ............................................
Wpisz do tabeli nazwy wskazanych elementów budowy kwiatu.
A
B
C
D