Część opisowa projektu wraz z programem prac konserwatorskich

Transkrypt

Część opisowa projektu wraz z programem prac konserwatorskich
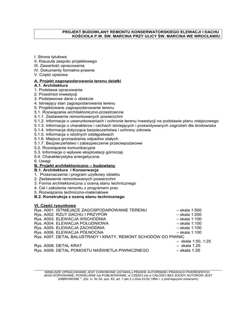
PROJEKT BUDOWLANY REMONTU KONSERWATORSKIEGO ELEWACJI I DACHU
KOŚCIOŁA P.W. ŚW. MARCINA PRZY ULICY ŚW. MARCINA WE WROCŁAWIU
I. Strona tytułowa
II. Klauzula zespołu projektowego
III. Zawartość opracowania
IV. Dokumenty formalno-prawne
V. Część opisowa
A. Projekt zagospodarowania terenu działki
A.1. Architektura
1. Podstawa opracowania
2. Przedmiot inwestycji
3. Podstawowe dane o obiekcie
4. Istniejący stan zagospodarowania terenu
5. Projektowane zagospodarowanie terenu
5.1. Rozwiązania architektoniczno-przestrzenne
5.1.1. Zestawienie remontowanych powierzchni
5.1.2. Informacje o uwarunkowaniach i ochronie terenu inwestycji na podstawie planu miejscowego
5.1.3. Informacje o charakterze i cechach istniejących i przewidywanych zagrożeń dla środowiska
5.1.4. Informacja dotycząca bezpieczeństwa i ochrony zdrowia
5.1.5. Informacja o istotnych odstępstwach
5.1.6. Miejsce gromadzenia odpadów stałych
5.1.7. Bezpieczeństwo i zabezpieczenie przeciwpożarowe
5.2. Rozwiązania komunikacyjne
5.3. Informacja o wpływie eksploatacji górniczej
5.4. Charakterystyka energetyczna
6. Uwagi
B. Projekt architektoniczno – budowlany
B.1. Architektura i Konserwacja
1. Przeznaczenie i program użytkowy obiektu
2. Zestawienie remontowanych powierzchni
3. Forma architektoniczna z oceną stanu technicznego
4. Cel i założenia remontu z programem prac
5. Rozwiązania techniczno-materiałowe
B.2. Konstrukcja z oceną stanu technicznego
VI. Część rysunkowa
Rys. A001. ISTNIEJĄCE ZAGOSPODAROWANIE TERENU
– skala 1:500
Rys. A002. RZUT DACHU I PRZYPÓR
– skala 1:200
Rys. A003. ELEWACJA WSCHODNIA
– skala 1:100
Rys. A004. ELEWACJA POŁUDNIOWA
– skala 1:100
Rys. A005. ELEWACJA ZACHODNIA
– skala 1:100
Rys. A006. ELEWACJA PÓŁNOCNA
– skala 1:100
Rys. A007. DETAL BALUSTRADY I KRATY, REMONT SCHODÓW DO PIWNIC
– skala 1:50, 1:25
Rys. A008. DETAL KRAT
– skala 1:25
Rys. A009. DETAL POMOSTU NAŚWIETLA PIWNICZNEGO
– skala 1:25
NINIEJSZE OPRACOWANIE JEST CHRONIONE USTAWĄ o PRAWIE AUTORSKIM i PRAWACH POKREWNYCH.
JEGO KOPIOWANIE, POWIELANIE lub PUBLIKOWANIE, w CZĘŚCI lub w CAŁOŚCI BEZ ZGODY AUTORÓW JEST
ZABRONIONE ®. (Dz. U. Nr 24, poz. 83, art. 1 pkt 2 z dnia 23.02.1994 r. z późniejszymi zmianami)
PROJEKT BUDOWLANY REMONTU KONSERWATORSKIEGO ELEWACJI I DACHU
KOŚCIOŁA P.W. ŚW. MARCINA PRZY ULICY ŚW. MARCINA WE WROCŁAWIU
II. Klauzula zespołu projektowego
Oświadczenie projektanta o zgodności projektu budowlanego z obowiązującymi przepisami oraz
zasadami wiedzy technicznej
O5
Wrocław, 27.11.2014r.
OŚWIADCZENIE
Na podstawie art. 20 ust. 4 ustawy z dnia 7 lipca 1994r.- Prawo budowlane z późniejszymi zmianami
OŚWIADCZAM, że
PROJEKT BUDOWLANY REMONTU KONSERWATORSKIEGO ELEWACJI I DACHU ORAZ
ELEMENTÓW KAMIENNYCH KOŚCIOŁA P.W. ŚW. MARCINA PRZY ULICY ŚW. MARCINA WE
WROCŁAWIU
został sporządzony zgodnie z obowiązującymi przepisami oraz zasadami wiedzy technicznej.
Projektant:
Sprawdzający:
Przedstawione w projekcie materiały i urządzenia oraz ich znaki towarowe i nazwy własne traktowane są jako
przykładowe. Materiały i urządzenia użyte do wykonania zadania mają być równoważne pod względem cech
technicznych i jakościowych do materiałów i rządzeń przedstawionych w projekcie oraz w stosunku do Polskich
Norm przenoszących normy europejskie lub norm innych państw członkowskich Europejskiego Obszaru
Gospodarczego przenoszących te normy. W przypadku braku Polskich Norm przenoszących normy europejskie
lub norm innych państw członkowskich Europejskiego Obszaru Gospodarczego przenoszących te normy
uwzględnia się w kolejności:
1. Europejskie aprobaty techniczne,
2. Wspólne specyfikacje techniczne,
3. Normy międzynarodowe,
4. Inne techniczne systemy odniesienia ustanowione przez europejskie organy normalizacyjne.
IV. Dokumenty formalno-prawne
Zaświadczenia stwierdzające przynależność projektantów
zawodowego:
1.
Zaświadczenie Pana mgr inż. arch. Bartosza Żmudy
2.
Zaświadczenie Pana mgr inż. arch. Grzegorza Pawelca
3.
Zaświadczenie Pana dr inż. Radosława Tatki
4.
Zaświadczenie Pana mgr inż. Mariusza Smektałty
5.
Zaświadczenie Pana mgr sztuki Tomasza Czujki
do
właściwej
izby
samorządu
NINIEJSZE OPRACOWANIE JEST CHRONIONE USTAWĄ o PRAWIE AUTORSKIM i PRAWACH POKREWNYCH.
JEGO KOPIOWANIE, POWIELANIE lub PUBLIKOWANIE, w CZĘŚCI lub w CAŁOŚCI BEZ ZGODY AUTORÓW JEST
ZABRONIONE ®. (Dz. U. Nr 24, poz. 83, art. 1 pkt 2 z dnia 23.02.1994 r. z późniejszymi zmianami)
PROJEKT BUDOWLANY REMONTU KONSERWATORSKIEGO ELEWACJI I DACHU
KOŚCIOŁA P.W. ŚW. MARCINA PRZY ULICY ŚW. MARCINA WE WROCŁAWIU
V. Opis techniczny
A. Projekt zagospodarowania terenu działki
1. Podstawa opracowania
1.1. Zlecenie Inwestora oraz wytyczne funkcjonalno - budowlane i konserwatorskie oraz
zatwierdzone przez Inwestora i Użytkownika zalecenia techniczne i konserwatorskie w zakresie
remontu, będące podstawą opracowania dokumentacji projektowej
1.2. UCHWAŁA NR XIII/442/99 RADY MIEJSKIEJ WROCŁAWIA z dnia 21 października 1999
roku w sprawie uchwalenia miejscowego planu zagospodarowania przestrzennego obszaru OSTRÓW TUMSKI - WYSPY – OGRÓD BOTANICZNY we Wrocławiu z późniejszymi zmianami
1.3. ROZPORZĄDZENIE MINISTRA INFRASTRUKTURY z dnia 2 września 2004 r. w sprawie
szczegółowego zakresu i formy dokumentacji projektowej, specyfikacji technicznych wykonania i
odbioru robót budowlanych oraz programu funkcjonalno – użytkowego. Dz.U. 2013 poz. 1129
1.4. ROZPORZĄDZENIE MINISTRA INFRASTRUKTURY w sprawie warunków technicznych, jakim
powinny odpowiadać budynki i ich usytuowanie z późniejszymi zamianami Dz. U. Nr 75, poz.690 z
2002r., Dz. U. Nr 201, poz. 1238 z 2008r., Dz. U. Nr 228, poz. 1514 z 2008r., Dz. U. Nr 56, poz. 461
z 2009r., Dz. U. Nr 239 poz. 1597 z 2010r., Dz. U. Nr 220, poz. 1289 z 2012r., Dz. U. poz. 926 z
2013r.
1.5. ROZPORZĄDZENIE MINISTRA TRANSPORTU, BUDOWNICTWA I GOSPODARKI
MORSKIEJ z dnia 25 kwietnia 2012 r. w sprawie szczegółowego zakresu i formy projektu
budowlanego Dz.U.2013 poz. 762
1.6. Ustawa z dnia 07.07.1994r. Prawo budowlane Dz. U.2013, poz.1409
1.7. ROZPORZĄDZENIE MINISTRA PRACY I POLITYKI SOCJALNEJ z dnia 26 września 1997 r. w
sprawie ogólnych przepisów bezpieczeństwa i higieny pracy. Dz. U. 1997 r. Nr 129 poz. 844 ze zm.
1.8. Polskie Normy
1.9. Inne przepisy szczególne i zasady wiedzy technicznej przywołane w niniejszym projekcie
związane w szczególności z ochroną radiologiczną i procesem budowlanym
Powyższa lista nie zawiera całości dokumentów potwierdzających zgodność planowej inwestycji z
Polskim Prawem. Nie wymienienie tytułu jakiejkolwiek dziedziny, grupy czy też podgrupy nie zwalnia
Wykonawcy od obowiązku stosowania wymogów określonych Polskim Prawem.
2. Przedmiot inwestycji
Przedmiotem opracowania jest: PROJEKT BUDOWLANY REMONTU KONSERWATORSKIEGO
ELEWACJI I DACHU KOŚCIOŁA P.W. ŚW. MARCINA PRZY ULICY ŚW. MARCINA WE
WROCŁAWIU.
Planowana inwestycja obejmuje dach oraz zewnętrzne elewacje kościoła św. Marcina wraz z
remontem ceglanych nakryw i lica przypór zewnętrznych, przyległego fragmentu muru oraz
remontem ceglanego lica istniejących ekspozycji przebiegu dawnych konstrukcji murowych
zlokalizowanych w płaszczyźnie terenu otaczającego kaplicę z wyłączeniem kamiennego portalu
wejściowego zlokalizowanego od strony północnej. Realizacja robót remontowych jednoetapowa z
podziałem na zadania.
Remont nie obejmuje żadnych prac ziemnych.
NINIEJSZE OPRACOWANIE JEST CHRONIONE USTAWĄ o PRAWIE AUTORSKIM i PRAWACH POKREWNYCH.
JEGO KOPIOWANIE, POWIELANIE lub PUBLIKOWANIE, w CZĘŚCI lub w CAŁOŚCI BEZ ZGODY AUTORÓW JEST
ZABRONIONE ®. (Dz. U. Nr 24, poz. 83, art. 1 pkt 2 z dnia 23.02.1994 r. z późniejszymi zmianami)
PROJEKT BUDOWLANY REMONTU KONSERWATORSKIEGO ELEWACJI I DACHU
KOŚCIOŁA P.W. ŚW. MARCINA PRZY ULICY ŚW. MARCINA WE WROCŁAWIU
Przedmiotem opracowania nie jest projekt naprawy konstrukcji budynku.
Funkcja obiektu i pomieszczeń pozostaje bez zmian.
3. Podstawowe dane o obiekcie
Nazwa obiektu:
KOŚCIOŁA P.W. ŚW. MARCINA
Adres:
ul. św. Marcina, Dz. nr 12, AM-27, obręb Plac Grunwaldzki, 50-327 Wrocław
Inwestor:
ARCHIDIECEZJA WROCŁAWSKA, ul. KATEDRALNA 13/15, 50-328 WROCŁAW
4. Istniejący stan zagospodarowania terenu
Istniejący budynek kościoła znajduje się w centralnej części miasta na Ostrowie Tumskim. Dojazd i
dojście do kościoła istniejącą siecią dróg publicznych. Obiekt jest dostępny z każdej strony a działka
nieogrodzona. Na całej powierzchni działki znajduje się istniejąca nawierzchnia utwardzona płytami
granitowymi, miejscami występuje także powierzchniowa ekspozycja przebiegu fundamentów
średniowiecznych murów wykończona cegłą.
5. Projektowane zagospodarowanie terenu
5.1. Rozwiązania architektoniczno – przestrzenne
Zagospodarowanie terenu nie ulega zmianie.
PROJEKTOWANE PRACE REMONTOWE NIE OBEJMUJĄ ŻADNYCH ROBÓT ZIEMNYCH.
Wszystkie sieci i przyłącza pozostają bez zmian.
Obiekt znajduje się w obszarze ochrony zabytków archeologicznych na terenie miasta
Wrocławia, wg zapisów Studium historyczno-urbanistyczno-konserwatorskiego wraz z
wytycznymi konserwatorskimi dla obszaru miasta Wrocławia, opracowany przez zespół pod
kierunkiem W. Kononowicz, Wrocław 1997 r.: Wyspy Odrzańskie, Teren wysp odrzańskich
Tamki, Piaskowej, Słodowej, Bielarskiej i Tumskiej w granicach ulic: Wieczorka ob. Kardynała
St. Wyszyńskiego-H. Sienkiewicza-z placem J. Bema, nr rej.: A/678/213 z 1967.05.13.
Teren zainwestowania oznaczony na podstawie rysunku MPZP symbolem A5 ZPn-UKs:
- teren otwartej przestrzeni publicznej.
Niniejszy projekt budowlany w zakresie planowanego remontu konserwatorskiego jest
zgodny z UCHWAŁĄ NR XIII/442/99 RADY MIEJSKIEJ WROCŁAWIA z dnia 21 października
1999 roku w sprawie uchwalenia miejscowego planu zagospodarowania przestrzennego
obszaru - OSTRÓW TUMSKI - WYSPY – OGRÓD BOTANICZNY we Wrocławiu z późniejszymi
zmianami.
NINIEJSZE OPRACOWANIE JEST CHRONIONE USTAWĄ o PRAWIE AUTORSKIM i PRAWACH POKREWNYCH.
JEGO KOPIOWANIE, POWIELANIE lub PUBLIKOWANIE, w CZĘŚCI lub w CAŁOŚCI BEZ ZGODY AUTORÓW JEST
ZABRONIONE ®. (Dz. U. Nr 24, poz. 83, art. 1 pkt 2 z dnia 23.02.1994 r. z późniejszymi zmianami)
PROJEKT BUDOWLANY REMONTU KONSERWATORSKIEGO ELEWACJI I DACHU
KOŚCIOŁA P.W. ŚW. MARCINA PRZY ULICY ŚW. MARCINA WE WROCŁAWIU
Kościół pw. Świętego Marcina (Kościół Rektoralny Duszpasterstwa Środowisk Twórczych)
wpisany jest do rejestru zabytków pod nr A/428/81 decyzją z dnia 06.02.1962 r.
Budynek nadaje się do wnioskowanego remontu.
Zakres inwestycji objętej opracowaniem obejmuje remont konserwatorski ceglanego lica elewacji
zewnętrznych kościoła wraz z licami i okrywami ceglanych przypór ponad ziemią, powierzchnią
ceglanych ekspozycji przebiegu murów w poziomie otaczającego terenu, przylegających
bezpośrednio do kaplicy, zejściem do piwnic od strony południowo-zachodniej oraz remontem dachu
wraz z wymianą pokrycia ceramicznego na nowe z bieżącą konserwacją i remontem elementów
nadziemnego odwodnienia, odgromienia i stolarki okiennej, zgodnie z częścią rysunkową i opisową
projektu.
Zakres inwestycji nie obejmuje północnego kamiennego portalu wejściowego z drzwiami, który
wcześniej został poddany pracom konserwatorskim, jak również odwodnienia i konserwacji
powierzchni murów znajdujących się pod ziemią, które należy zrealizować w ramach odrębnego
projektu zagospodarowania otoczenia kościoła.
5.1.1. Zestawienie remontowanych powierzchni
Charakterystyka obiektu (wg PN-ISO 6241:1994).
Charakterystyczne parametry obiektu pozostają bez zmian w związku z pracami remontowymi.
Powierzchnia dachu objęta planowaną przebudową i remontem po obrysie ścian zewnętrznych
248,07 m²
5.1.2. Informacje o uwarunkowaniach i ochronie terenu inwestycji na podstawie planu miejscowego
Projektowana inwestycja jest zgodna z UCHWAŁĄ NR XIII/442/99 RADY MIEJSKIEJ
WROCŁAWIA z dnia 21 października 1999 roku w sprawie uchwalenia miejscowego planu
zagospodarowania przestrzennego obszaru - OSTRÓW TUMSKI - WYSPY – OGRÓD
BOTANICZNY we Wrocławiu z późniejszymi zmianami w zakresie planowanego remontu
konserwatorskiego.
Teren zainwestowania oznaczony na podstawie rysunku MPZP symbolem
- teren otwartej przestrzeni publicznej.
A5 Zpn-UKs:
5.1.3. Informacje o charakterze i cechach istniejących i przewidywanych zagrożeń dla środowiska
Projektowana inwestycja nie stanowi zagrożenia dla środowiska, nie narusza interesu osób trzecich.
5.1.4. Informacja dotycząca bezpieczeństwa i ochrony zdrowia
Zgodnie z rozporządzeniem Ministra Infrastruktury z 23.06.2003 w sprawie informacji dotyczącej
bezpieczeństwa i ochrony zdrowia informuje się:
Zakres robót oraz kolejność realizacji
- zgodnie z opisem technicznym projektu
Wykaz istniejących obiektów
- istniejący kościół pw. św. Marcina,
NINIEJSZE OPRACOWANIE JEST CHRONIONE USTAWĄ o PRAWIE AUTORSKIM i PRAWACH POKREWNYCH.
JEGO KOPIOWANIE, POWIELANIE lub PUBLIKOWANIE, w CZĘŚCI lub w CAŁOŚCI BEZ ZGODY AUTORÓW JEST
ZABRONIONE ®. (Dz. U. Nr 24, poz. 83, art. 1 pkt 2 z dnia 23.02.1994 r. z późniejszymi zmianami)
PROJEKT BUDOWLANY REMONTU KONSERWATORSKIEGO ELEWACJI I DACHU
KOŚCIOŁA P.W. ŚW. MARCINA PRZY ULICY ŚW. MARCINA WE WROCŁAWIU
- istniejąca infrastruktura pieszo-jezdna,
Elementy zagospodarowania działki mogące stwarzać zagrożenie bezpieczeństwa i zdrowia
ludzi
- nie dotyczy.
Występowanie zagrożeń podczas realizacji robót budowlanych
- spadające elementy,
- upadek elementów pokrycia z połaci dachów i obluzowanych elementów ceramicznych i
kamiennych z elewacji,
- porażenie prądem elektrycznym (brak zabezpieczenia przewodów zasilających urządzenia
mechaniczne przed uszkodzeniami mechanicznymi),
- roboty na wysokości ponad 5.0 m,
- kontakt z przedmiotami ostrymi na terenie budowy oraz składowiska materiałów
- kontakt z przedmiotami będącymi w ruchu.
System instruktażu pracowników przed przystąpieniem do realizacji robót
Przed przystąpieniem do pracy na poszczególnych rodzajach robót, należy dokonać szkolenia
stanowiskowego pracowników w zakresie bhp, które powinno również obejmować zasady
stosowania przez pracowników środków ochrony indywidualnej.
Należy określić szczegółowo zasady postępowania w przypadku wystąpienia zagrożenia.
Należy określić zasady bezpośredniego nadzoru nad pracami szczególnie niebezpiecznymi przez
wyznaczone w tym celu osoby.
Osobne szkolenie powinni przejść operatorzy wszystkich maszyn używanych na budowie.
Szkolenia w dziedzinie bezpieczeństwa i higieny pracy dla pracowników zatrudnionych na
stanowiskach robotniczych, przeprowadza się jako:
- szkolenia wstępne
- szkolenia okresowe.
Szkolenia te przeprowadzane są w oparciu o programy poszczególnych rodzajów szkolenia.
Szkolenie wstępne ogólne („instruktaż ogólny”) przechodzą wszyscy nowo zatrudniani pracownicy
przed dopuszczeniem do wykonywania pracy. Obejmuje ono zapoznanie pracowników z
podstawowymi przepisami bhp zawartymi w Kodeksie pracy, w układach zbiorowych pracy i
regulaminach pracy, zasadami bhp obowiązującymi w danym zakąłdzie pracy oraz zasadami
udzielania pierwszej pomocy.
Szkolenie wstępne na stanowisku pracy („instruktaż stanowiskowy”) powinien zapoznać
pracowników z zagrożeniami występującymi na określonym stanowisku pracy sposobami ochrony
przed zagrożeniami, oraz metodami bezpiecznego wykonywania pracy na tym stanowisku.
Pracownicy przed przystąpieniem do pracy powinni być zapoznani z ryzykiem zawodowym
NINIEJSZE OPRACOWANIE JEST CHRONIONE USTAWĄ o PRAWIE AUTORSKIM i PRAWACH POKREWNYCH.
JEGO KOPIOWANIE, POWIELANIE lub PUBLIKOWANIE, w CZĘŚCI lub w CAŁOŚCI BEZ ZGODY AUTORÓW JEST
ZABRONIONE ®. (Dz. U. Nr 24, poz. 83, art. 1 pkt 2 z dnia 23.02.1994 r. z późniejszymi zmianami)
PROJEKT BUDOWLANY REMONTU KONSERWATORSKIEGO ELEWACJI I DACHU
KOŚCIOŁA P.W. ŚW. MARCINA PRZY ULICY ŚW. MARCINA WE WROCŁAWIU
związanym z pracą na danym stanowisku pracy.
Fakt odbycia przez pracownika szkolenia wstępnego ogólnego, szkolenia wstępnego na stanowisku
pracy oraz zapoznania z ryzykiem zawodowym, powinien być potwierdzony przez pracownika na
piśmie oraz odnotowany w aktach osobowych pracownika.
Szkolenia wstępne podstawowe w zakresie bhp, powinny być przeprowadzane w okresie nie
dłuższym niż 6 miesięcy od rozpoczęcia pracy na określonym stanowisku pracy.
Szkolenia okresowe w zakresie bhp dla pracowników zatrudnionych na stanowiskach robotniczych,
powinny być przeprowadzane w formie instruktażu nie rzadziej niż raz na 3 lata, a na stanowiskach
pracy, na których występują szczególne zagrożenia dla zdrowia lub życia oraz zagrożenia
wypadkowe – nie rzadziej niż raz w roku.
Pracownicy zatrudnieni na stanowiskach operatorów żurawi, maszyn budowlanych i innych maszyn
o napędzie silnikowym powinni posiadać wymagane kwalifikacje.
Na placu budowy powinny być udostępnione pracownikom do stałego korzystania, aktualne
instrukcje bezpieczeństwa i higieny pracy dotyczące:
- wykonywania prac związanych z zagrożeniami wypadkowymi lub zagrożeniami zdrowia
pracowników,
- obsługi maszyn i innych urządzeń technicznych,
- postępowania z materiałami szkodliwymi dla zdrowia i niebezpiecznymi,
- udzielania pierwszej pomocy.
Ww. instrukcje powinny określać czynności do wykonywania przed rozpoczęciem danej pracy,
zasady i sposoby bezpiecznego wykonywania danej pracy, czynności do wykonywania po jej
zakończeniu oraz zasady postępowania w sytuacjach awaryjnych, stwarzających zagrożenia dla
życia lub zdrowia pracowników.
Nie wolno dopuścić pracownika do pracy, do której wykonywania nie posiada wymaganych
kwalifikacji lub potrzebnych umiejętności, a także dostatecznej znajomości przepisów oraz zasad
BHP.
Bezpośrednio nadzór nad bezpieczeństwem i higieną pracy na stanowiskach pracy sprawują
odpowiednio kierownik budowy (kierownik robót) oraz mistrz budowlany, stosownie do zakresu
obowiązków.
Środki techniczne i organizacyjne na wypadek zagrożeń
- zapewnienie łączności,
- informacja o numerach telefonów odpowiednich służb,
- rusztowania z daszkami zabezpieczającymi przed spadającymi przedmiotami.
Pracownicy zatrudnienia na budowie powinni być wyposażeni w środki ochrony indywidualnej oraz
odzież i obuwie robocze, zgodnie z tabelą norm przydziału środków ochrony indywidualnej oraz
odzieży i obuwia roboczego opracowaną przez pracodawcę.
NINIEJSZE OPRACOWANIE JEST CHRONIONE USTAWĄ o PRAWIE AUTORSKIM i PRAWACH POKREWNYCH.
JEGO KOPIOWANIE, POWIELANIE lub PUBLIKOWANIE, w CZĘŚCI lub w CAŁOŚCI BEZ ZGODY AUTORÓW JEST
ZABRONIONE ®. (Dz. U. Nr 24, poz. 83, art. 1 pkt 2 z dnia 23.02.1994 r. z późniejszymi zmianami)
PROJEKT BUDOWLANY REMONTU KONSERWATORSKIEGO ELEWACJI I DACHU
KOŚCIOŁA P.W. ŚW. MARCINA PRZY ULICY ŚW. MARCINA WE WROCŁAWIU
Charakter i stopień skomplikowania obiektu i robót budowlanych
Ze względu na charakter prowadzonych prac budowlanych /min. praca na wysokości pow. 5 metrów,
kierownik budowy jest zobowiązany do zapewnienia sporządzenia planu Bezpieczeństwa I
Ochrony Zdrowia. Jest to zgodne z art. 21a ustawy Prawo Budowlane z dnia 7 lipca 1994 r z
późniejszymi zmianami. Plan BIOZ należy sporządzić w oparciu o rozporządzenie Ministra
Infrastruktury z dnia 27 sierpnia 2002 roku (Dz.U. 02.151.1256 z późniejszymi zmianami).
Z UWAGI NA STOPIEŃ SKOMPLIKOWANIA ROBÓT BUDOWLANO-KONSERWATORSKICH I
POTRZEBĘ WYSOKIEJ JAKOŚCI I PRECYZJI WYKONAWCZEJ, PROJEKTANT WSKAZUJE
NA KONIECZNOŚĆ PEŁNIENIA NADZORU KONSERWATORSKIEGO DLA EWENTUALNEJ
BIEŻĄCEJ KOREKTY PRZYJĘTYCH ROZWIĄZAŃ PROJEKTOWYCH.
5.1.5. Informacja o istotnych odstępstwach
Nieistotne odstąpienia od zatwierdzonego projektu budowlanego lub innych warunków
pozwolenia na budowę, które nie wymagają decyzji o zmianie pozwolenia na budowę to i są
dopuszczalne:
5.1.5.1. Zmiany w zakresie objętym projektem zagospodarowania działki lub terenu:
•
nie dotyczy wnioskowanego remontu
5.1.5.2. Zmiana charakterystycznych parametrów obiektu budowlanego:
• powierzchni remontu z tolerancją do ±10%,
• zmiana geometrii i podziałów posadzki pod nadzorem konserwatorskim
• zmiana o dwa tony projektowanej kolorystki pod nadzorem konserwatorskim
• wprowadzenie dodatkowych otworów technologicznych
• zmiana materiałów i technologii
5.1.5.3. Zmiana geometrii pomieszczeń
• nie dotyczy wnioskowanego remontu
5.1.5.4. Zmiana niezbędnych elementów wyposażenia budowlano - instalacyjnego, zapewniające
użytkowanie obiektu zgodne z przeznaczeniem:
• zmiany materiałów budowlanych o podobnych parametrach technicznych,
• zmiana wykonania elementów i urządzeń budowlanych,
Wszystkie opisane nieistotne odstąpienia i inne odstąpienia wg Prawa Budowlanego art. 36a ust. 5
są dopuszczalne, gdy nie wymagają uzyskania opinii, uzgodnień, pozwoleń i innych dokumentów
wymaganych przepisami szczególnymi. W/w odstąpienia mogą być wykonane przez autora projektu
lub uprawnionego projektanta upoważnionego przez autora i być zgodne z przepisami.
Ewentualne zmiany dotyczące technologii i wykonawstwa wykończenia obiektu należy uzgodnić z
inspektorem nadzoru i reprezentantem nadzoru autorskiego.
Wszystkie użyte materiały muszą być dopuszczone do obrotu i powszechnego lub
jednostkowego stosowania w budownictwie.
PROJEKTANT NIE DOPUSZCZA ZMIAN PROJEKTOWANYCH ROZWIĄZAŃ BEZ ZGODY
NADZORU AUTORSKIEGO I KONSERWATORSKIEGO.
5.1.6. Miejsce gromadzenia odpadów stałych
NINIEJSZE OPRACOWANIE JEST CHRONIONE USTAWĄ o PRAWIE AUTORSKIM i PRAWACH POKREWNYCH.
JEGO KOPIOWANIE, POWIELANIE lub PUBLIKOWANIE, w CZĘŚCI lub w CAŁOŚCI BEZ ZGODY AUTORÓW JEST
ZABRONIONE ®. (Dz. U. Nr 24, poz. 83, art. 1 pkt 2 z dnia 23.02.1994 r. z późniejszymi zmianami)
PROJEKT BUDOWLANY REMONTU KONSERWATORSKIEGO ELEWACJI I DACHU
KOŚCIOŁA P.W. ŚW. MARCINA PRZY ULICY ŚW. MARCINA WE WROCŁAWIU
Miejsce gromadzenia odpadków stałych istniejące – bez zmian.
5.1.7. Bezpieczeństwo i zabezpieczenie przeciwpożarowe
ISTNIEJĄCE WARUNKI TECHNICZNE OCHRONY PRZECIWPOŻAROWEJ NIE ULEGAJĄ
ZMIANIE.
Zaprojektowany remont dachu kościoła spełnia wymogi w zakresie ochrony przeciwpożarowej.
5.2. Rozwiązania komunikacyjne
Bez zmian. Zjazdy z dróg publicznych i dojścia do budynków istniejącym układem dróg, placów i
chodników publicznych i wewnętrznych, zgodnie z rysunkiem istniejącego zagospodarowania terenu
A001.
5.3. Informacja o wpływie eksploatacji górniczej
Brak wpływu eksploatacji górniczej na teren objęty opracowaniem.
5.4. Charakterystyka energetyczna
Nie dotyczy projektowanego remontu konserwatorskiego elewacji i dachu.
Przyjęte w projekcie rozwiązania spełniają wymagania dotyczące oszczędności energii zawarte w
przepisach techniczno-budowlanych
Dodatkowo kościół rektorski św. Marcina wpisany jest do rejestru zabytków pod nr A/428/81 decyzją
z dnia 06.02.1962 r.
6. Uwagi
WYKONAWCA ZOBOWIĄZANY JEST DO PRZEPROWADZENIA ODBIORU CZĘŚCIOWEGO I
KOŃCOWEGO ROBÓT Z UDZIAŁEM MIEJSKIEGO KONSERWATORA ZABYTKÓW.
ZA USTALENIE ILOŚCI ROBÓT ORAZ ZA SPOSÓB PRZEPROWADZENIA NA TEJ
PODSTAWIE KALKULACJI WYNAGRODZENIA RYCZAŁTOWEGO ODPOWIADA WYŁĄCZNIE
WYKONAWCA.
DANE, WYMAGANIA I ILOŚCI WYSZCZEGÓLNIONE CHOĆBY W JEDNYM Z OPRACOWAŃ:
PRZEDMIARZE, RYSUNKACH, OPISIE, SPECYFIKACJACH, KARTACH MATERIAŁOWYCH I
KARTACH ZAKRESU REMONTU SĄ OBOWIĄZUJĄCE DLA WYKONAWCY TAK, JAKBY BYŁY
W CAŁEJ DOKUMENTACJI.
WSZYSTKIE ROBOTY I MATERIAŁY MAJĄ BYĆ ZGODNE Z DOKUMENTACJĄ PROJEKTOWĄ,
USTALENIAMI Z INWESTOREM A TAKŻE Z INNYMI STOSOWNYMI DO PRZEDMIOTU
ZAMÓWIENIA OBOWIĄZUJĄCYMI PRZEPISAMI.
DLA STOSOWANYCH MATERIAŁÓW NALEŻY UWZGLĘDNIĆ SZCZEGÓLNE WARUNKI
TECHNICZNE WYKONANIA I ODBIORU ROBÓT WYMAGANE PRZEZ PRODUCENTA.
WYKONAWCA JEST ZOBOWIĄZANY DO WYKONANIA WERYFIKACJI I BADAŃ
KOLORYSTYKI REMONTOWANYCH ELEMENTÓW NA KAŻDE WEZWANIE NADZORU
AUTORSKIEGO I POWINIEN POWYŻSZE UWZGLĘDNIĆ W SWOJEJ OFERCIE. PRÓBKI
NINIEJSZE OPRACOWANIE JEST CHRONIONE USTAWĄ o PRAWIE AUTORSKIM i PRAWACH POKREWNYCH.
JEGO KOPIOWANIE, POWIELANIE lub PUBLIKOWANIE, w CZĘŚCI lub w CAŁOŚCI BEZ ZGODY AUTORÓW JEST
ZABRONIONE ®. (Dz. U. Nr 24, poz. 83, art. 1 pkt 2 z dnia 23.02.1994 r. z późniejszymi zmianami)
PROJEKT BUDOWLANY REMONTU KONSERWATORSKIEGO ELEWACJI I DACHU
KOŚCIOŁA P.W. ŚW. MARCINA PRZY ULICY ŚW. MARCINA WE WROCŁAWIU
KOLORYSTYCZNE WSZYSTKICH MATERIAŁÓW MUSZĄ BYĆ PRZEDSTAWIONE DO
AKCEPTACJI NADZORU KONSERWATORSKIEGO I PROJEKTANTA.
WYKONAWCA JEST ZOBOWIĄZANY DO DOSTAWY I ZAMONTOWANIA WSZYSTKICH
ELEMENTÓW, URZĄDZEŃ I RUCHOMOŚCI ZAMIESZCZONYCH W DOKUMENTACJI
PROJEKTOWEJ.
ROBOTY NALEŻY PROWADZIĆ Z ZACHOWANIEM OBOWIĄZUJĄCYCH PRZEPISÓW BHP,
MAJĄC PRZEDE WSZYSTKIM NA WZGLĘDZIE BEZPIECZEŃSTWO LUDZI I KONSTRUKCJI,
TAM GDZIE JEST POTRZEBNE NALEŻY WPROWADZIĆ DODATKOWE ZABEZPIECZENIA.
WYKONAWCA ZOBOWIĄZANY JEST DO WYKONANIA NA WŁASNY KOSZT PRAC
ZABEZPIECZAJĄCYCH REMONTOWANEGO ISTNIEJĄCEGO BUDYNKU I NAPRAW
WYNIKAJĄCYCH
Z
USZKODZEŃ
ISTNIEJĄCEJ
SUBSTANCJI
BUDOWLANEJ
I
INFRASTRUKTURY TECHNICZNEJ.
WSZELKIE USZKODZENIA OBIEKTU WYNIKŁE Z WINY WYKONAWCY
PROWADZONYCH PRAC BUDOWLANYCH, WYKONAWCA ZOBOWIĄZANY
USUNĄĆ NA WŁASNY KOSZT.
PODCZAS
JEST DO
WYKONAWCA ZOBOWIĄZANY JEST DO KOORDYNACJI ROBÓT Z PODWYKONAWCAMI,
ZARÓWNO Z PODWYKONAWCAMI GŁÓWNEGO WYKONAWCY, JAK I WYKONAWCAMI
ZATRUDNIONYMI BEZPOŚREDNIO PRZEZ INWESTORA.
WYKONAWCA ZOBOWIĄZANY JEST DO UTRZYMANIA TERENU ROBÓT W CZYSTOŚCI,
USUWANIA WSZELKICH ZBĘDNYCH MATERIAŁÓW ORAZ WYWOŻENIA ŚMIECI W MIARĘ
ICH GROMADZENIA SIĘ NA TERENIE ROBÓT.
NALEŻY
PRZEWIDZIEĆ
NAPRAWY
ZAGOSPODAROWANIA TERENU I INNYCH
ELEMENTÓW.
USZKODZONYCH
POWIERZCHNI,
ZNISZCZONYCH PODCZAS BUDOWY
W PRZYPADKU ZASTOSOWANIA PRODUKTÓW I ROZWIĄZAŃ SYSTEMOWYCH, ZE
SZCZEGÓLNYM UWZGLĘDNIENIEM STOSOWANYCH DO PRAC KONSERWATORSKICH
OBOWIĄZUJE PEŁNA TECHNOLOGIA WYKONANIA ROBÓT I ZASTOSOWANIA
PRODUKTÓW PRZEWIDZIANA PRZEZ PRODUCENTA PO UZGODNIENU Z DORADCAMI
TECHNICZNYMI, INSPEKTOREM NADZORU I PROJEKTANTEM W POROZUMIENIU Z
KONSERWATOREM WOJEWÓDZKIM.
POŁĄCZENIA
RÓŻNYCH
TECHNOLOGII,
SYSTEMÓW,
ROZWIĄZAŃ
RÓŻNYCH
WYKONAWCÓW ZOSTANĄ ROZPOZNANE, UZGODNIONE I ZOSTANIE OPRACOWANE
WSPÓLNE, SPÓJNE ROZWIĄZANIA, AKCEPTOWANE PRZEZ WSZYSTKIE STRONY, PRZED
PRZYSTĄPIENIEM DO REALIZACJI. WYKONAWCA / PRODUCENT / DOSTAWCA
PRZEDSTAWIĄ ZESTAW WSZYSTKICH PRAC, KTÓRE NIE ZNAJDUJĄ SIĘ W ZAKRESIE ICH
OPRACOWANIA, A MAJĄ WPŁYW NA WYKONANIE ZADANIA.
WSZELKIE PRACE BĘDĄ SKOORDYNOWANE I PROWADZONE ZGODNIE Z ZAPISAMI
POLSKIEGO PRAWA, POLSKICH NORM /PN/ I ZHARMONIZOWANYCH NORM
EUROPEJSKICH (DO PRZESTRZEGANIA NORM OBLIGUJE SIĘ WSZYSTKICH OFERENTÓW),
NINIEJSZE OPRACOWANIE JEST CHRONIONE USTAWĄ o PRAWIE AUTORSKIM i PRAWACH POKREWNYCH.
JEGO KOPIOWANIE, POWIELANIE lub PUBLIKOWANIE, w CZĘŚCI lub w CAŁOŚCI BEZ ZGODY AUTORÓW JEST
ZABRONIONE ®. (Dz. U. Nr 24, poz. 83, art. 1 pkt 2 z dnia 23.02.1994 r. z późniejszymi zmianami)
PROJEKT BUDOWLANY REMONTU KONSERWATORSKIEGO ELEWACJI I DACHU
KOŚCIOŁA P.W. ŚW. MARCINA PRZY ULICY ŚW. MARCINA WE WROCŁAWIU
BHP, PRAKTYKI BUDOWLANEJ, LOKALNYMI – KRAJOWYMI WARUNKAMI I ZASADAMI
WYKONANIA PRAC I STOSOWANIA MATERIAŁÓW BUDOWLANYCH, WYMAGANIAMI I
DECYZJAMI INWESTORA I PROJEKTANTÓW. WSZYSTKIE PROPONOWANE SYSTEMY I
ROZWIĄZANIA MUSZĄ BYĆ STOSOWANE ZGODNIE Z PRZEZNACZENIEM.
PRACE KONSERWATORSKIE NA OBIEKCIE NALE ŻY BEZWZGLĘDNIE PROWADZIĆ W
POROZUMIENIU Z MIEJSKIM KONSERWATOREM ZABYTKÓW WE WROCŁAWIU ORAZ
POD INWESTORSKIM NADZOREM KONSERWATORSKIM.
ZE WZGLĘDU NA BARDZO DUŻE WALORY ARCHITEKTONICZNO – HISTORYCZNE,
WARTOŚĆ ZABYTKOWĄ OBIEKTU, PRZYJĘTO ZAKRES PRAC REMONTOWYCH
POZWALAJ ĄCY NA PRZYWRÓCENIE OBIEKTOWI JEGO HISTORYCZNEGO WYGL ĄDU
ORAZ ZABEZPIECZĄ GO PRZED NISZCZENIEM. ZAPROPONOWANE MATERIAŁY ORAZ
SPOSÓB REALIZACJI ROBÓT GWARANTUJ Ą TRWAŁOŚĆ ORAZ PEŁNĄ ESTETYKĘ
WYKONANYCH PRAC.
REMONT KONSERWATORSKI WINIEN BYĆ REALIZOWANY PRZEZ WYKONAWC Ę Z DUŻYM
DOŚWIADCZENIEM I UPRAWNIENIAMI DO WYKONYWANIA PRAC PRZY OBIEKTACH
ZABYTKOWYCH, POD NADZOREM OSOBY UPRAWNIONEJ DO OPIEKI NAD TEGO TYPU
DZIAŁANIAMI. WSZELKIE PRACE RENOWACYJNE NALE ŻY PROWADZIĆ BARDZO
RZETELNIE, W SPOSÓB PRECYZYJNY, Z ZACHOWANIEM NALE ŻYTEJ OSTROŻNOŚCI, TAK
BY NIE DOPUŚCIĆ DO USZKODZENIA SUBSTANCJI ZABYTKOWEJ.
Z UWAGI NA STOPIEŃ SKOMPLIKOWANIA PRAC KOINSERWATORSKICH I POTRZEBĘ
WYSOKIEJ JAKOŚCI I PRECYZJI WYKONAWCZEJ, PROJEKTANT WSKAZUJE NA
KONIECZNOŚĆ PEŁNIENIA NADZORU AUTORSKIEGO DLA EWENTUALNEJ BIEŻĄCEJ
KOREKTY PRZYJĘTYCH ROZWIĄZAŃ PROJEKTOWYCH.
BEZWZGLĘDNIE PROJEKT ARCHITEKTONICZNY, NALEŻY ROZPATRYWAĆ ŁĄCZNIE Z
PROJEKTAMI BRANŻOWYMI.
Projektował i opracował
mgr inż. arch. Bartosz M. Żmuda
mgr inż. arch. Łukasz Netczuk
Sprawdził
mgr inż. arch. Grzegorz Pawelec
NINIEJSZE OPRACOWANIE JEST CHRONIONE USTAWĄ o PRAWIE AUTORSKIM i PRAWACH POKREWNYCH.
JEGO KOPIOWANIE, POWIELANIE lub PUBLIKOWANIE, w CZĘŚCI lub w CAŁOŚCI BEZ ZGODY AUTORÓW JEST
ZABRONIONE ®. (Dz. U. Nr 24, poz. 83, art. 1 pkt 2 z dnia 23.02.1994 r. z późniejszymi zmianami)
PROJEKT BUDOWLANY REMONTU KONSERWATORSKIEGO ELEWACJI I DACHU
KOŚCIOŁA P.W. ŚW. MARCINA PRZY ULICY ŚW. MARCINA WE WROCŁAWIU
B. Projekt architektoniczno – budowlany
B.1. Architektura
1. Przeznaczenie i program użytkowy obiektu.
Planowana inwestycja obejmuje kościół pw. św. Marcina przy ulicy św. Marcina we Wrocławiu.
Przeznaczenie i program użytkowy obiektu pozostaje bez zmian.
Zakres inwestycji objętej opracowaniem, obejmuje remont konserwatorski dachu z wymianą
pokrycia ceramicznego na nowe z bieżącą konserwacją i remontem elementów odwodnienia oraz
zewnętrznych elewacji kościoła św. Marcina wraz z remontem ceglanych nakryw i lica przypór
zewnętrznych, przyległego fragmentu muru oraz remontem ceglanego lica istniejących ekspozycji
przebiegu dawnych konstrukcji murowych zlokalizowanych w płaszczyźnie terenu otaczającego
kaplicę z wyłączeniem kamiennego portalu wejściowego zlokalizowanego od strony północnej.
Kościół św. Marcina wpisany jest do rejestru zabytków pod nr A/428/81 decyzją z dnia
06.02.1962 r.
Dach o konstrukcji drewnianej wielospadowy z lukarnami, pokryty dachówką mnich – mniszka.
NINIEJSZE OPRACOWANIE JEST CHRONIONE USTAWĄ o PRAWIE AUTORSKIM i PRAWACH POKREWNYCH.
JEGO KOPIOWANIE, POWIELANIE lub PUBLIKOWANIE, w CZĘŚCI lub w CAŁOŚCI BEZ ZGODY AUTORÓW JEST
ZABRONIONE ®. (Dz. U. Nr 24, poz. 83, art. 1 pkt 2 z dnia 23.02.1994 r. z późniejszymi zmianami)
PROJEKT BUDOWLANY REMONTU KONSERWATORSKIEGO ELEWACJI I DACHU
KOŚCIOŁA P.W. ŚW. MARCINA PRZY ULICY ŚW. MARCINA WE WROCŁAWIU
2. Zestawienie remontowanych powierzchni
Charakterystyka obiektu (wg PN-ISO 6241:1994).
Charakterystyczne parametry obiektu pozostają bez zmian w związku z pracami remontowymi i
konserwatorskimi.
3. Forma architektoniczna z oceną stanu technicznego
Gotycki kościół pw. św. Marcina stanowił pierwotnie kaplicę grobową pw. Najświętszej Maryi Panny
z datowanymi początkami prac na schyłek XII wieku za panowania księcia Henryka IV Probusa. W
zasadniczej formie została ukończona w początkach XIV wieku, jako część zespołu zamkowego na
Ostrowie Tumskim.
Wejście do nadziemnej części kościoła z poziomu terenu prowadzi istniejącymi granitowymi
schodami ze stalowymi współczesnymi balustradami przez kamienny ostrołukowy odrestaurowany w
2011roku portal od strony północnej.
Bryła dwuczęściowa z wyższą zachodnią wieżą na planie ośmiokąta nakrytą stromym dachem
wielospadowym. Część nawy i prezbiterium niższa o wyraźnie wydłużonej osi wschód-zachód z
NINIEJSZE OPRACOWANIE JEST CHRONIONE USTAWĄ o PRAWIE AUTORSKIM i PRAWACH POKREWNYCH.
JEGO KOPIOWANIE, POWIELANIE lub PUBLIKOWANIE, w CZĘŚCI lub w CAŁOŚCI BEZ ZGODY AUTORÓW JEST
ZABRONIONE ®. (Dz. U. Nr 24, poz. 83, art. 1 pkt 2 z dnia 23.02.1994 r. z późniejszymi zmianami)
PROJEKT BUDOWLANY REMONTU KONSERWATORSKIEGO ELEWACJI I DACHU
KOŚCIOŁA P.W. ŚW. MARCINA PRZY ULICY ŚW. MARCINA WE WROCŁAWIU
niesymetrycznym trójkątnym zamknięciem prezbiterium, od strony wschodniej nakryta dachem
dwuspadowym. Dachy kryte dachówką średniowieczną ceramiczną, częściowo wymienioną.
Krawędzie koszowe, obróbki blacharskie lukarn, przyścienne, okapowe, szczyty i gałki z blachy
miedzianej. Dachy części wieżowej i nad prezbiterium zwieńczone stalowymi krzyżami. Od południa
dwie lukarny o pulpitowych daszkach i kwadratowych oknach. Obróbki blacharskie wymagają
napraw.
Orynnowanie z rurami spustowymi miejscami uszkodzone, elewacje w tych miejscach zawilgocone z
wyraźnymi śladami rozwoju mikroorganizmów. Instalacja odgromowa kompletna, ale miejscami
skorodowana, nieprawidłowo odlega od ścian i dachu.
Od północnego wschodu do kaplicy przylega fragment muru, który w płaszczyźnie chodnika
kontynuuje ekspozycja fundamentów w postaci nawierzchni z cegły gotyckiej do krawędzi jezdni. Po
stronie wschodniej analogiczna nawierzchnia w postaci kwadratu oddalona ok. 4 m od lica
prezbiterium.
Elewacje ceglane częściowo z licem gładkim, częściowo nierównym, jako pozostałość po
rozebranych dawniej konstrukcjach murowych. Zabrudzone w znacznej mierze uszkodzone i
zerodowane zwłaszcza w strefie przygruntowej.
Elewacje dwudzielne w poziomie. Strefa parteru ma w znacznej części nierówną powierzchnię
ceglaną, od południa z dwiema tynkowanymi niszami. Jedna z nich mniejsza posiada zamurowany
otwór z kamiennym obramieniem. Od strony wschodniej małe okno z opaską kamienną zamknięte
cofniętą wgłąb otworu kratą. Od wschodu duża ostrołukowa tynkowana nisza z małym łukowym
otworem okiennym zamkniętym kratą. Od strony północnej w strefie parteru trzy tynkowane nisze
oraz wejście do kaplicy. Poniżej terenu w rynnie doświetlającej dwa łukowe okna piwniczne
zamknięte kratami oraz otwór łukowo sklepiony z rurą stalową wyprowadzającą skropliny z pieca w
piwnicach. Rynna doświetlająca wysypana żwirem. Od tej strony znajduje się tablica informacyjna.
W prawej niszy dwie płyty pamiątkowe. Większa prostokątna. Mniejsza osiowo nad nią okrągła.
Część cokołowa kaplicy do wys. ok. 0,7-0,9 m w gorszym stanie technicznym, ze znaczną erozją
lica ceglanego.
W strefie piętra od południa, wschodu i północy okna łukowe, szklone gomółkami i witrażami w
ramach metalowych, z zewnątrz zasłonięte ramami z szybą zespoloną mocowanymi do lica ścian.
Płaszczyzna piętra ceglana w większości o równej powierzchni. Część wieżowa od południa i
północy w strefie piętra posiada łukowe okna, analogicznie jak część niższa. Od południa i wschodu
w środkowej części elewacji o nierównym licu znajdują się w trzech poziomych rzędach maczulce.
Od strony południowej, zachodniej i północnej do budynku przylegają masywne pozostałości przypór
i ekspozycji fundamentów wyniesione ok. 0,5 m nad poziom gruntu z nowszymi nakrywami
ceglanymi. Ceglane lica przypór częściowo zerodowane z licznymi wykwitami solnymi na
płaszczyźnie pionowej.
Od południowego-zachodu znajdują się schody i zejście do piwnic. Niska balustrada o wysokości
sąsiednich przypór (ok. 0,5-0,6 m) wykonana ze stali malowanej na kolor jasnoczerwony. Krata
zamykająca wejście analogicznie stalowa i malowana na taki sam kolor. W pojedynczych
przyporach i między nimi zlokalizowane są reflektory nocnej iluminacji obiektu.
NINIEJSZE OPRACOWANIE JEST CHRONIONE USTAWĄ o PRAWIE AUTORSKIM i PRAWACH POKREWNYCH.
JEGO KOPIOWANIE, POWIELANIE lub PUBLIKOWANIE, w CZĘŚCI lub w CAŁOŚCI BEZ ZGODY AUTORÓW JEST
ZABRONIONE ®. (Dz. U. Nr 24, poz. 83, art. 1 pkt 2 z dnia 23.02.1994 r. z późniejszymi zmianami)
PROJEKT BUDOWLANY REMONTU KONSERWATORSKIEGO ELEWACJI I DACHU
KOŚCIOŁA P.W. ŚW. MARCINA PRZY ULICY ŚW. MARCINA WE WROCŁAWIU
Na nakrywie pozostałości przypory od strony północnej znajduje się kamienna tablica pamiątkowa.
Nad wejściem na stalowym wsporniku wisi stalowa latarnia elektryczna zasilana kablem położonym
na płaszczyźnie kamiennego portalu ostrołukowego wejścia. Od strony południowej pod oknem wisi
na stalowym wsporniku inna latarnia elektryczna. Obie stylizowane, przeznaczone są do
zachowania.
W elewacji liczne elementy kamieniarskie głównie z granitu i piaskowca. Kamień zabrudzony,
miejscami z uszkodzeniami mechanicznymi i wietrzejący.
Powierzchnie tynkarskie nisz, wysklepek nadprożowych okien zabrudzone, miejscami spękane,
odspojone i uszkodzone.
Mur we wschodniej narożnej części prezbiterium przy ziemi częściowo odspojony i mocno
zerodowany.
4. Cel i założenia remontu z programem prac
Nadrzędnym celem działań konserwatorskich jest usunięcie lub znaczne ograniczenie przyczyn
destrukcji substancji zabytku, znaczące ograniczenie przyczyn ich powstawania z równoczesną
poprawą estetyki całego obiektu stanowiącego ważną dominantę najbliższego otoczenia.
Niemożliwe jest całkowite wyeliminowanie zasadniczych powodów niszczenia materii zabytku jakimi
są zanieczyszczenia atmosferyczne i woda pochodząca z opadów atmosferycznych będąca
głównym czynnikiem mechanizmów niszczących jako nośnik zanieczyszczeń i równocześnie
katalizator wielu szkodliwych reakcji chemicznych i fizycznych. Możliwe jest jedynie dążenie do
maksymalnego ograniczenia działania wody poprzez zminimalizowanie przenikania wody w głąb
struktury zabytku. W następnej kolejności celem działań będzie przywrócenie wyjściowej estetyki
piątej elewacji – dachu i wyrazu artystycznego obiektu. Program prac konserwatorskich koncentruje
się w zakresie działań mających na celu usunięcie skutków mechanizmów destrukcji substancji
zabytku i znaczącym ograniczeniu przyczyn ich powstawania i równoczesnego poprawienia odbioru
estetycznego elewacji i dachu.
5. Rozwiązania techniczno-materiałowe
PROGRAM PRAC REMONTOWYCH I KONSERWATORSKICH ZOSTAŁ OPRACOWANY PRZY
WSPÓŁUDZIALE I WSPÓŁAUTORSTWIE PROF DR HAB MAŁGORZTY CHOROWSKIEJ.
5.1. Dach
Remont dachu obejmuje wykonanie wszystkich projektowanych elementów w obszarze dachu i
więźby wraz z nową instalacją odgromową oraz wymianę uszkodzonych fragmentów więźby
dachowej.
Zaprojektowano pokrycie dachów z dachówki ceramicznej ANTICO MEINDL w kolorze ceglastym
czerwonym za pozwoleniem konserwatorskim zgodnie z rysunkami architektury, po uprzedniej
częściowej naprawie i wymianie łacenia, montażu opierzenia i foli wiatroizolacyjnej np. DÖRKEN
DELTA lub równoważnej.
Zaprojektowano częściową renowację i częściowe odtworzenie pokrycia, obróbek, rynien i rur
spustowych z blachy miedzianej po uprzednim usunięciu starych elementów.
Otwory na elewacji zabezpieczyć na czas prac siatką stalową drobną w kolorze stolarki, zgodnie z
NINIEJSZE OPRACOWANIE JEST CHRONIONE USTAWĄ o PRAWIE AUTORSKIM i PRAWACH POKREWNYCH.
JEGO KOPIOWANIE, POWIELANIE lub PUBLIKOWANIE, w CZĘŚCI lub w CAŁOŚCI BEZ ZGODY AUTORÓW JEST
ZABRONIONE ®. (Dz. U. Nr 24, poz. 83, art. 1 pkt 2 z dnia 23.02.1994 r. z późniejszymi zmianami)
PROJEKT BUDOWLANY REMONTU KONSERWATORSKIEGO ELEWACJI I DACHU
KOŚCIOŁA P.W. ŚW. MARCINA PRZY ULICY ŚW. MARCINA WE WROCŁAWIU
rysunkami architektury.
W celu spełnienia wyżej sformułowanych założeń program prac konserwatorskich w obszarze dachu
składa się z następujących robót :
1. Usunięcie starej i złuszczonej dachówki z dachów kościoła oraz zniszczonych opierzeń i obróbek
blacharskich.
2. Usunięcie starego łacenia dachu.
3. Wzmocnienie strukturalne uszkodzonych elementów więźby oraz ewentualna ich naprawa:
wymiana do 30% i naprawa lub wzmocnienie do 50%.
4. Rekonstrukcja wszystkich opierzeń i obróbek blacharskich miedzianych w kolorze postarzanej
miedzi. Wszystkie istniejące obróbki blacharskie należy zdemontować. Przygotować podłoża pod
nowe obróbki poprzez oczyszczenie, wypoziomowanie, osadzenie łat dla przybicia gwoździ. Do
wykonania nowych obróbek należy użyć blachy miedzianej patynowanej gr. 0,8 mm.
5. Montaż folii wiatroizolacyjnej, np. DÖRKEN DELTA.
6. Montaż nowego łacenia, które powinno odpowiadać normie PN-75/D-96000.Gwoździe stosowane
do mocowania lat powinny być okrągłe lub kwadratowe, z płaskim łbem. Minimalna wielkość nie
mniej niż 2,5 grubości łaty drewnianej. W przypadku szczególnych rozwiązań, długość gwoździ
uzależniona jest od indywidualnych wymagań konstrukcyjnych. Do mocowania dachówki zaleca się
stosowanie wkrętów.
7. MONTAŻ DACHÓWKI ANTICO MEINDL W KOLORZE I STRUKTURZE IDENTYCZNEJ ZE
ZDEMONTOWANĄ - ELEMENTY POKRYCIA CERAMICZNEGO POWINNY BYĆ ZGODNE Z PNEN 1304:2007. DACHÓWKI Z POSZCZEGÓLNYCH PALET MOGĄ SIĘ NIECO RÓŻNIĆ
NASYCENIEM KOLORU, DLATEGO TE NALEŻY TO SPRAWDZAĆ I W RAZIE KONIECZNOŚCI
PRZEMIESZAĆ DACHÓWKI PRZED UŁOŻENIEM.
8. Gąsiory w obrębie dachu – tradycyjne połaciowe, cylindryczne identyczne ze zdemonotwanymi.
9. Montaż haków przeciwśnieżnych na dachach stromych malowanych w kolorze RAL identycznym
z kolorem dachówki.
Do wykonania obróbek blacharskich zastosować miedź odtlenioną fosforem (symbole miedzi
przeznaczonej na pokrycia dachowe wg różnych norm: Cu-DHP, M2R, SF-Cu, C12200, CW024A) w
stanie półtwardym (R240, z4).
Wytrzymałość na rozciąganie blach i taśm przeznaczonych na dachy i obróbki blacharskie wynosi
240-300 Mpa.
Minimalna grubość blachy miedzianej wynosi 0,6 mm.
Przy ciężarze właściwym miedzi, który wynosi 8,9 g/cm 3, waga 1m2 blachy (taśmy) wynosi około 5,4
kg.
Projektowana blacharka na obróbki powinna być wyrobem wyżarzanym i walcowanym na zimno
dzięki czemu charakteryzuje się doskonałą plastycznością a zarazem posiada dobre własności
wytrzymałościowe.
NINIEJSZE OPRACOWANIE JEST CHRONIONE USTAWĄ o PRAWIE AUTORSKIM i PRAWACH POKREWNYCH.
JEGO KOPIOWANIE, POWIELANIE lub PUBLIKOWANIE, w CZĘŚCI lub w CAŁOŚCI BEZ ZGODY AUTORÓW JEST
ZABRONIONE ®. (Dz. U. Nr 24, poz. 83, art. 1 pkt 2 z dnia 23.02.1994 r. z późniejszymi zmianami)
PROJEKT BUDOWLANY REMONTU KONSERWATORSKIEGO ELEWACJI I DACHU
KOŚCIOŁA P.W. ŚW. MARCINA PRZY ULICY ŚW. MARCINA WE WROCŁAWIU
5.2. Odprowadzenie wody deszczowej
Zaprojektowano częściowy remont systemu rynien oraz wymianę rur spustowych z blachy
miedzianej z odprowadzeniem wody deszczowej zgodnie ze stanem istniejącym, zgodnie z
rysunkami architektury.
Rekonstrukcja systemu rynien i rur spustowych miedzianych patynowanych z odprowadzeniem wód
deszczowych do istniejących przyłączy kanalizacji deszczowej.
5.3. Instalacja odgromowa
Remont instalacji odgromowej dachu zgodnie z przebiegiem zdemonotowanej instalacji drutem
stalowym ocynkowanym FeZn 8 mm. Połączenie przewodów odprowadzających z uziomem
wykonać poprzez złącza kontrolne.
5.3. Więźba dachowa
Elementy konstrukcji dachu nie podlegającą wymianie należy oczyścić i zaimpregnować preparatem
np. FOBOS M-4 lub równoważnym. FOBOS M-4 ma postać granulatu proszkowego barwy białożółtej. Jest mieszaniną soli nieorganicznych z niewielkim dodatkiem soli organicznych potęgującym
działanie biochronne. Chroni drewno i materiały drewnopochodne przed:
- ogniem,
- grzybami domowymi
- grzybami pleśniowymi
- owadami – technicznymi szkodnikami drewna. Nadaje elementom drewnianym cechę
niezapalności oraz nierozprzestrzeniania ognia. Jednocześnie nie obniża wytrzymałości drewna, nie
powoduje korozji stali. Jest skuteczny zarówno przy impregnacji wgłębnej, jak i powierzchniowej.
Preparat stosuje się postaci roztworu wodnego.
Drewno przeznaczone do impregnacji powinno być zdrowe, czyste, nie pokryte farbą lub lakierem.
Powierzchnie malowane należy oczyścić z farby. Jeżeli drewno uprzednio było impregnowane
środkiem hydrofobizującym (utrudniającym wchłanianie wody), np. pokostem, wówczas impregnacja
FOBOSEM M-4 może być mało skuteczna. Drewno powinno być doprowadzone do stanu
powietrzno-suchego. Barwienie drewna podczas impregnacji ułatwia rozpoznanie drewna
zaimpregnowanego. W tym celu wewnątrz opakowania znajdują się dwie saszetki z barwnikiem w
różnych kolorach (do wyboru), z których jeden należy rozpuścić w roztworze roboczym (dotyczy
tylko wersji FOBOS M-4 KOLOR). Po wykonaniu impregnacji należy je ponownie przesuszyć w
przewiewnym, zadaszonym miejscu, poukładane w sztaple na przekładkach do stanu powietrznosuchego drewna. Efekt zabezpieczenia drewna uzyskuje się po wykonaniu impregnacji. FOBOS M-4
należy stosować jako 30% roztwór wodny, w proporcji 1kg FOBOSU M-4 na 2,3L wody. Preparat
należy stopniowo wsypywać do wody (najkorzystniej o temperaturze ok. 50 st.C) mieszając, aż do
jego całkowitego rozpuszczenia. Tak przygotowany roztwór nadaje się do bezpośredniego użytku.
IMPREGNACJA WGŁĘBNA: Należy przygotować roztwór o stężeniu kilku % – stężenie należy
dostosować do rodzaju i wilgotności drewna. Kontrolę procesu nasycania i ilości wchłoniętego
roztworu należy przeprowadzać dla każdej partii zabezpieczanego materiału metodą wagową
(ważąc drewno przed i po impregnacji).
NINIEJSZE OPRACOWANIE JEST CHRONIONE USTAWĄ o PRAWIE AUTORSKIM i PRAWACH POKREWNYCH.
JEGO KOPIOWANIE, POWIELANIE lub PUBLIKOWANIE, w CZĘŚCI lub w CAŁOŚCI BEZ ZGODY AUTORÓW JEST
ZABRONIONE ®. (Dz. U. Nr 24, poz. 83, art. 1 pkt 2 z dnia 23.02.1994 r. z późniejszymi zmianami)
PROJEKT BUDOWLANY REMONTU KONSERWATORSKIEGO ELEWACJI I DACHU
KOŚCIOŁA P.W. ŚW. MARCINA PRZY ULICY ŚW. MARCINA WE WROCŁAWIU
Roztwór nanosi się na powierzchnię drewna za pomocą pędzla, wałka lub dyszy rozpyłowej. Zabieg
należy powtarzać kilkakrotnie, aż do naniesienia wymaganej ilości preparatu. Między kolejnymi
nanoszeniami należy zachować kilkugodzinne przerwy, aby nastąpiło dobre wchłonięcie impregnatu.
Smarowanie i natryskiwanie są jedynymi metodami umożliwiającymi impregnację drewna już
wbudowanego.
Preparat nie utrwala się w drewnie. Ulega wypłukaniu pod wpływem długotrwałego działania
opadów atmosferycznych. W przypadku impregnacji powierzchniowej powierzchnie po późniejszych
cięciach oraz pojawiające się wskutek przesychania drewna pęknięcia mogą obniżyć skuteczność
zabezpieczenia, dlatego te miejsca zaleca się ponownie zaimpregnować. Na drewno
zaimpregnowane FOBOSEM M-4 można nakładać środki dekoracyjne lub powłoki wodoodporne
ogólnie dostępne, oparte na rozpuszczalnikach organicznych Nie stosować środków
wodorozcieńczalnych.
Trwałość zabezpieczenia FOBOSEM M-4 równa jest okresowi użytkowania drewna przy
zachowaniu wszystkich zaleceń producenta. Uszkodzenie impregnowanej powierzchni drewna lub
wypłukanie impregnatu powoduje konieczność uzupełnienia impregnacji.
IMPREGNACJA POWIERZCHNIOWA: 0,2 kg preparatu na 1 m 2 drewna (ok. 0,6 decymetra
sześciennego 30% roztworu) Impregnacja wgłębna: 40 kg preparatu na 1 m3 drewna.
5.4. Remont lica ceglanego i kamieniarki
Remont elewacji obejmuje w szczególności: demontaż elementów dodanych po 1945 roku (,
metalowe haki i tablice, uchwyty.), naprawę i uzupełnienie tynków istniejących na identyczne z
pierwotnym pod względem faktury i koloru (tynk atestowany, malowany); uzupełnienie, naprawę i
oczyszczenie wszystkich elementów ceramicznych wraz z rekonstrukcją brakujących elementów
detalu, naprawę i oczyszczenie ceglanego lica elewacji, oczyszczenie i zabezpieczenie elementów z
kutego żelaza.
Dodatkowo na etapie realizacji Wykonawca jest zobowiązaniowy do uzgodnienia z MKZ rodzaju
spoiny gotyckiej oraz ustalenia obszarów na których zostały pomalowane cegły dla uzyskania
zendrówek. Projektant nie dopuszcza malowania cegieł.
Istniejące pokrywy przypór należy zdemontować i wykonać z cegły o formacie gotyckim o spoinach
szczelnych w formacie gotyckim z jej hydrofobizacją.
Wyjątek stanowi ściana przylegająca do kościoła, którą w szczytowej części nakryć należy
dachówką ceramiczną rzymską, np. ANTICO MEINDL, zgodnie z dokumentacja rysunkową.
Przy prowadzeniu prac konserwatorskich (konserwacja cegły, tynku i metalu), wykonawca
zobowiązany jest zatrudnić dyplomowanego konserwatora detalu architektonicznego.
W celu spełnienia wyżej sformułowanych założeń program prac konserwatorskich w obszarze
elewacji składa się z następujących robót :
1. Usunięcie glonów i porostów z porażonych powierzchni. Mechaniczne usunięcie form
wzrostowych. Chemicznie usunięcie form przetrwalnikowych obecnych w materiale kamiennym i
ceramicznym np. preparatem „ALGAT” firmy „Altax”– metodą natrysku, lub preparatem o
porównywalnej skuteczności (dezynfekcja wstępna).
NINIEJSZE OPRACOWANIE JEST CHRONIONE USTAWĄ o PRAWIE AUTORSKIM i PRAWACH POKREWNYCH.
JEGO KOPIOWANIE, POWIELANIE lub PUBLIKOWANIE, w CZĘŚCI lub w CAŁOŚCI BEZ ZGODY AUTORÓW JEST
ZABRONIONE ®. (Dz. U. Nr 24, poz. 83, art. 1 pkt 2 z dnia 23.02.1994 r. z późniejszymi zmianami)
PROJEKT BUDOWLANY REMONTU KONSERWATORSKIEGO ELEWACJI I DACHU
KOŚCIOŁA P.W. ŚW. MARCINA PRZY ULICY ŚW. MARCINA WE WROCŁAWIU
2.
Wykonanie
badań
stratygraficznych
barwnych/polichromii, tynków.
ewentualnie
odkrytych/zachowanych
warstw
3. Oczyszczenie powierzchni muru ceglanego metodą niskociśnieniową, strumieniowo – ścierną.
4. Oczyszczenie uzupełniające (miejscowe) w przypadku nawarstwień wyjątkowo uporczywych:
- mechaniczne (przy zastosowaniu skalpeli, precyzyjnych dłut, kamieni szlifierskich),
- chemiczne przy zastosowaniu roztworu kwasu HF (maksymalnie 5%).
5. Odsolenie wybranych fragmentów elementów kamiennych i muru ceglanego metodą wymuszonej
migracji rozpuszczalnych w wodzie soli do rozszerzonego środowiska (okład wykonany z piasku,
pulpy celulozowej i bentonitu lub ligniny).
6. Usunięcie wadliwie wykonanych i szpecących spoin cementowych, cementowo-wapiennych,
wadliwych kitów i przemurowań.
7. Wzmocnienie strukturalne cegieł i elementów kamiennych w partiach zdezintegrowanych za
pomocą preparatów opartych na bazie estrów kwasu krzemowego; np. „Funcosil®” KSE 300 E” i
„ KSE 500” E firmy „REMMERS”.
8. Naprawa pęknięć i szczelin za pomocą prętów ze stali nierdzewnej wklejanych na żywicę
epoksydową (zabieg uzależniony od wyników badań i ekspertyz przeprowadzonych w trakcie
trwania prac).
9. Wymiana lub naprawa zniszczonych wypraw tynkarskich.
próbami/odkrywkami ujawniającymi ewentualne dekoracje ścienne.
Prace
należy
poprzedzić
W zejściu do piwnic w miejscach zawilgoconych w wyniku kapilarnego wznoszenia wody gruntowej
należy zastosować wielowarstwowe tynki renowacyjne. Warstwę barwną wykonać w technologii
zgodnej z technologią tynków renowacyjnych.
10. Rekonstrukcja większych fragmentów wątku muru ceglanego oraz wymiana zdezintegrowanych
cegieł na nowe przy zastosowaniu cegieł współczesnych o identycznych wymiarach i zbliżonych
właściwościach fizyko-mechanicznych lub zachowanych oryginalnych cegieł gotyckich odzyskanych
z rumowiska
11.Naprawę spękań ściany zewnętrznej narożnika południowo-wschodniego poprzez wykonanie
poziomych bruzd pod szycie poprzez rozkucie spoin między cegłami prostopadle do kierunku
przebiegu spękań w murze i wbetonowanie prętów zbrojeniowych ze stali żebrowanej Ø10 – Ø12,
długości 50-70cm na mocnej zaprawie cementowej M12 i wypełnienie bruzd zaprawą cementową
marki 12 MPa.
12. Ukrycie w spoinach elementów instalacji elektrycznej zasilającej latarnię nad wejściem
północnym.
13. Wykonanie uzupełnień ubytków materiału ceglanego i kamiennego kitami mineralnymi
barwionymi w masie do koloru otoczenia np. „Funcosil®Restauriermortel” firmy „REMMERS” lub
zaprawami o podobnych właściwościach. Niezbędne jest zastosowanie odpornego na korozję
zbrojenia - osadzonego w wywierconych otworach na klej epoksydowy.
NINIEJSZE OPRACOWANIE JEST CHRONIONE USTAWĄ o PRAWIE AUTORSKIM i PRAWACH POKREWNYCH.
JEGO KOPIOWANIE, POWIELANIE lub PUBLIKOWANIE, w CZĘŚCI lub w CAŁOŚCI BEZ ZGODY AUTORÓW JEST
ZABRONIONE ®. (Dz. U. Nr 24, poz. 83, art. 1 pkt 2 z dnia 23.02.1994 r. z późniejszymi zmianami)
PROJEKT BUDOWLANY REMONTU KONSERWATORSKIEGO ELEWACJI I DACHU
KOŚCIOŁA P.W. ŚW. MARCINA PRZY ULICY ŚW. MARCINA WE WROCŁAWIU
14. Uzupełnienie ubytków spoin zaprawami mineralnymi na bazie spoiw wapiennych, wapiennocementowych lub trasowych, której kształt i kolor zostanie ustalony na etapie wykonawczym z MKZ.
15. Oczyszczenie i zabezpieczenie antykorozyjne elementów stalowych.
16. Zabezpieczenie ewentualnych śladów polichromii.
17. Scalenie kolorystyczne.
18. Hydrofobizacja powierzchni muru ceglanego i elementów kamiennych – „np. preparatem
Funcosil® SNL” firmy „REMMERS” (zabieg uzależniony od wyników badań przeprowadzonych w
trakcie trwania prac).
Istniejące maczulce zależy wypełnić cegłą o formacie gotyckim cofniętą wgłąb otworu na 5 cm.
Ze względu na utrudniony dostęp do położonych wysoko partii elewacji, nie wyklucza się
wystąpienia dodatkowych niezbędnych do odtworzenia detali i miejsc flekowania elementów.
Decyzje w tych sprawach będą podejmowane w trakcie realizacji, w ramach nadzoru
konserwatorskiego.
5.5. Remont powierzchni tynkarskich
Zaprojektowano uzupełnienie i naprawę wszystkich istniejących tynkowań na elewacji: nisz,
wysklepek nadprożowych łęków okien i ścian zejścia do piwnic.
W zejściu do piwnic przed wykonaniem robót tynkarskich należy wykonać roboty izolacyjne w
zakresie iniekcji poziomej. Dodatkowo należy zastosować metodę termofalową osuszania i izolacji
ścian pod ścisłym nadzorom autorskim po skuciu tynków.
Zaprojektowano w szczególności zgodnie częścią rysunkową projektu:
Naprawę i uzupełnienie tynków zejścia do piwnic po wcześniejszym mechanicznym usunięciu
resztek tynku z muru i umyciem ścian. Odgrzybienia ścian i dodatkowe ich umycie.
Na ścianach zejścia do piwnic należy wykonać nowe tynki bazując na pierwotnej technologii ich
wykonywania. Po przeprowadzeniu badań tynków istniejących zdecydowano o wymianie w 50%.
Przed skuciem pozostałych na budynku tynków należy w pierwszej kolejności usunąć z elewacji
wszystkie okucia, elementy metalowe i łączniki elektryczne. Po skuciu tynków podłoże oczyścić z
wydrapaniem spoin, po czym zmyć i wyparować skute powierzchnie przegrzaną parą wodną w celu
uzyskania dobrej przyczepności podłoża pod nowe wyprawy tynkarskie. Naprawić rysy i
uszkodzenia, ubytki i partie skute uzupełnić dwuwarstwowo. Nowe tynki wykonać w technologii
KEIM. Praktyka w odtworzeniu powłoki tynkarskiej pozwala przyjąć gotową masę Kalkputz Grob
(gruboziarnisty tynk wapienny, gr. ziarna 1,3 mm)
TYNK WYKOŃCZENIOWY - RECEPTURA TYNKU :
Tynk Keim UNI Putz do gr.0.6 mm – 4 litry
Tynk Keim UNI Putz do gr.1.3 mm – 2 litry
Pigmenty Pur Kristalat proszkowe: 9002-26g (żółty), 9004-18g (zielony), 9007-3g (czerwony) 2.3 l
wody.
NINIEJSZE OPRACOWANIE JEST CHRONIONE USTAWĄ o PRAWIE AUTORSKIM i PRAWACH POKREWNYCH.
JEGO KOPIOWANIE, POWIELANIE lub PUBLIKOWANIE, w CZĘŚCI lub w CAŁOŚCI BEZ ZGODY AUTORÓW JEST
ZABRONIONE ®. (Dz. U. Nr 24, poz. 83, art. 1 pkt 2 z dnia 23.02.1994 r. z późniejszymi zmianami)
PROJEKT BUDOWLANY REMONTU KONSERWATORSKIEGO ELEWACJI I DACHU
KOŚCIOŁA P.W. ŚW. MARCINA PRZY ULICY ŚW. MARCINA WE WROCŁAWIU
Staranny dobór składników tynku nie będzie wymagał stosowania laserunku. W razie wyraźnych
różnic między dniówkami należy scalić laserunkiem pod nadzorem konserwatora.
Kamień i tynk pokryć warstwą hydrofobizacji np. Lotexan.
Na etapie realizacji prac zostanie potwierdzona prze MKZ zgoda na skucie tynków ww strefie nisz i
zejść do piwnic.
5.6. Remont elementów elewacyjnych z kamienia
Zaprojektowano zabiegi konserwatorskie dla wszystkich elementów kamiennych z wyjątkiem
odrestaurowanego portalu wejścia, które nie jest objęte zakresem opracowania. Zaprojektowano w
szczególności zgodnie z częścią rysunkową projektu następujące roboty w porządku
technologicznym:
1. Oczyszczenie wstępne kamienia przy użyciu szczotek, szpachelek i pędzli.
2. Stabilizacja konstrukcyjna elementów o naruszonej stabilności konstrukcyjnej lub wykazujących
znaczące spękania – do kotwienia należy użyć materiałów nierdzewnych.
3. Likwidacja mikroorganizmów.
4. Wstępne wzmocnienie osypujących się partii kamienia.
5. Mycie elementów przy użyciu myjki wysokociśnieniowej – ostrożnie.
6. Mechaniczne i ręczne usunięcie wtórnych uzupełnień i zacierek tynkarskich (kity, cementy, kity i
fleki źle dobrane, zaprawy cementowe i wapienne).
7. Oczyszczenie chemiczne powierzchni kamienia z farb, patyny, brudu, kurzu poprzez mycie z
użyciem środków chemicznych i ponownie wodą.
8. Delikatne doczyszczenie mechaniczne zabrudzeń nie usuniętych chemicznie (mikroszlifierki,
skalpele, szczotki).
9. Odsolenie powierzchni metodą migracji soli do rozszerzonego środowiska przy użyciu okładów
celulozowych z pulpy celulozowej.
10. Sklejanie pęknięć.
11. Sklejanie płaszczyznowe przy użyciu kleju z zawartością żywicy syntetycznej.
12. Uzupełnianie ubytków – wklejanie fleków z materiału dobranego barwą, strukturą i fakturą do
sąsiednich elementów oryginalnych.
13. Uzupełnienie nielicznych ubytków – kitowanie specjalną zaprawą barwioną w masie w kolorze
dobranym do tła oryginału.
14. Hydrofobizacja wzmacniająca powierzchnie elementów kamiennych.
Mycie kamienia kwasem, wodą, piaskowanie o drobnej granulacji lub czyszczenie mechaniczne (z
zachowaniem pierwotnej faktury) w miejscach bardziej zabrudzonych (np. kamień pokryty zaprawą
cementową).
Scalenie laserunkiem miejsc, których nie da się doczyścić (sadza, substancje bitumiczne, ciemne
NINIEJSZE OPRACOWANIE JEST CHRONIONE USTAWĄ o PRAWIE AUTORSKIM i PRAWACH POKREWNYCH.
JEGO KOPIOWANIE, POWIELANIE lub PUBLIKOWANIE, w CZĘŚCI lub w CAŁOŚCI BEZ ZGODY AUTORÓW JEST
ZABRONIONE ®. (Dz. U. Nr 24, poz. 83, art. 1 pkt 2 z dnia 23.02.1994 r. z późniejszymi zmianami)
PROJEKT BUDOWLANY REMONTU KONSERWATORSKIEGO ELEWACJI I DACHU
KOŚCIOŁA P.W. ŚW. MARCINA PRZY ULICY ŚW. MARCINA WE WROCŁAWIU
ślady po soli).
Kamień użyty do flekowania – piaskowiec: złoża Bolesławieckie
Laserunek – Farba Restauro-Lasur (KEIM), kolory z gamy Naturstein: S109, S019, S105, S122 z
dodatkiem Restauro Fixativ 1:3 – 1:8.
Do hydrofobizacji – Lotexan N firmy KEIM. Bezbarwny, rozpuszczalnikowy środek do końcowej
hydrofobizacji powierzchni mineralnych na bazie siloksanów.
5.7. Elementy metalowe
Wszystkie elementy stalowe po usunięciu starych powłok malarskich, naprawie uszkodzeń i
uzupełnieniu brakujących fragmentów, elementy należy zabezpieczyć antykorozyjnie i pomalować
nawierzchniowo farbą chlorokauczukową podkładową i nawierzchniową w kolorze RAL nr 7022
UMBRAGRAU lub w systemie ZINGA lub równoważnym. Ostateczny kolor do ustalenia pod
nadzorem konserwatorskim po wstępnym oczyszczeniu elementu.
W obszarze fosy doświetlającej przy elewacji północnej zaprojektowano stalowe demontowane i
zamykane kraty w poziomie przylegającego chodnika, zabezpieczone antykorozyjnie i pomalowane
nawierzchniowo farbą chlorokauczukową podkładową i nawierzchniową w kolorze RAL nr 7022.
Zaprojektowano nowe zamknięcie zejścia do piwnic, które stanowi jednocześnie otwieraną
zazębiającą się balustradę otwieraną automatycznie wykonaną z rur stalowych zgodnie z częścią
rysunkową, zabezpieczone antykorozyjnie i pomalowane nawierzchniowo farbą chlorokauczukową
podkładową i nawierzchniową w kolorze RAL nr 7022.
Zasadę działania projektowanej kraty obrazują zdjęcia zejścia do krypty z ekspozycją fundamentów
kościoła w Domplein, 3512 Utrecht w Holandii, autorstwa JDdVarchitects, zdj. Oliver Schuh:
5.8. Parapety okien w naświetlu piwnic
Do wykonania parapetów okien naświetla piwnicznego zastosować blachę miedzianą o grubości
minimalnej 0,6 mm.
5.9. Stolarka okienna zewnętrzna
NINIEJSZE OPRACOWANIE JEST CHRONIONE USTAWĄ o PRAWIE AUTORSKIM i PRAWACH POKREWNYCH.
JEGO KOPIOWANIE, POWIELANIE lub PUBLIKOWANIE, w CZĘŚCI lub w CAŁOŚCI BEZ ZGODY AUTORÓW JEST
ZABRONIONE ®. (Dz. U. Nr 24, poz. 83, art. 1 pkt 2 z dnia 23.02.1994 r. z późniejszymi zmianami)
PROJEKT BUDOWLANY REMONTU KONSERWATORSKIEGO ELEWACJI I DACHU
KOŚCIOŁA P.W. ŚW. MARCINA PRZY ULICY ŚW. MARCINA WE WROCŁAWIU
Zaprojektowano demontaż wtórych okien zewnętrznych stałych, zgodnie z dokumentacją rysunkową
projektu.
Nowoprojektowane dwa okna remontowanych lukarn strychu od południa wykonać ze starannością
by zminimalizować uszkodzenia elementów konstrukcyjnych dachu, wg kolejności: demontaż
skrzydeł, okuć, ościeżnic. Nowe okna do montażu identyczne w widoku ze zdemontowanymi.
5.10. schody zejściowe do krypy
Zaprojektowano remont istniejących schodów zejściowych do krypty poprzez wykonanie nowej
okładziny kamiennej z granitu strzelińskiego z płyt grubości 5cm
REMONTOWANA NAWIERZCHNIA SCHODÓW
istniejących rzędnych wejść:
Z PŁYT
KAMIENNYCH
z zachowaniem
– usunąć istniejące pokrycie wraz z warstwą dociskową i hydroizolacjami.
– obróbka strumieniowa podłoża z oczyszczeniem z pyłu, elementów odspojonych i ewentualnych
pozostałości starych warstw izolacyjnych
– zaprawa cementowa antykorozyjna Sopro Repadur KS
– zaprawa kontaktowa Sopro Repadur MH
– zaprawa do uzupełniania ubytków betonu Sopro Repadur 50
– wykonanie spadków na płycie żelbetowej BOTAMENT M100
– izolacja pod kamień BOTAMENT MD28
– PIASKOWANE płyty kamienne na klej do kamienia BOTAMENT M27
– fugowanie płyt kamiennych BOTAMENT Multifuge Schmal w kolorze szarym
– impregnacja płyt kamiennych
Z uwagi na bardzo zły stan techniczny biegi i płyty schodowe (betonowe) oraz balustrady stalowe i
studzienki należy rozebrać, zgodnie z częścią rysunkową projektu.
Przed wykonaniem fugowania BOTAMENT Multifuge Schmal w kolorze szarym całej powierzchni,
konieczne jest wykonanie próbnego czyszczenia fugi na fragmencie groszkowanego kamienia
celem uniknięcia pozostawienia przebarwień i plam. Nie dopuszcza się przekroczenia szerokości
5mm fugi/spoiny.
Wszystkie pozostawione konstrukcje żelbetowe należny naprawić po odkryciu z wykorzystaniem do
tego mineralnych jednokomponentowych zapraw naprawczych, dodatkowo modyfikowanych
polimerami, nanoszonych natryskiem na sucho zgodnie z technologią SPCC lub SOPRO lub
równoważną wraz z ewentualną naprawą zbrojenia.
Wszystkie podstopnice należy wykonać jako nowe granitowe o fakturze polerowanej z
nieuwzględnieniem wykonania otworów pod oprawy oświetleniowe montowane w podstopnicach ,
zgodnie z częścią rysunkowa projektu.
Wszystkie cokoły należy wykonać jako nowe granitowe o fakturze polerowanej wysokości 15cm
Przewidziano również wyfrezowanie pasków antypoślizgowych szerokości 5cm w stopniach co
będzie gwarancją większego bezpieczeństwa w przypadku deszczu lub śniegu.
NINIEJSZE OPRACOWANIE JEST CHRONIONE USTAWĄ o PRAWIE AUTORSKIM i PRAWACH POKREWNYCH.
JEGO KOPIOWANIE, POWIELANIE lub PUBLIKOWANIE, w CZĘŚCI lub w CAŁOŚCI BEZ ZGODY AUTORÓW JEST
ZABRONIONE ®. (Dz. U. Nr 24, poz. 83, art. 1 pkt 2 z dnia 23.02.1994 r. z późniejszymi zmianami)
PROJEKT BUDOWLANY REMONTU KONSERWATORSKIEGO ELEWACJI I DACHU
KOŚCIOŁA P.W. ŚW. MARCINA PRZY ULICY ŚW. MARCINA WE WROCŁAWIU
Należy tak ukształtować 2% spadki schodów, aby zapewnić odprowadzenie wody opadowej.
Dodatkowo zaprojektowano demontaż istniejących balustrad schodowych. W ich miejsce
zaprojektowano nowe poręcze i balustrady stalowe ze stali, zgodnie z rysunkami architektury.
Wszystkie elementy kamienne należny zaimpregnować.
Projektował i opracował
mgr inż. arch. Bartosz M. Żmuda
Sprawdził
mgr inż. arch. Grzegorz Pawelec
NINIEJSZE OPRACOWANIE JEST CHRONIONE USTAWĄ o PRAWIE AUTORSKIM i PRAWACH POKREWNYCH.
JEGO KOPIOWANIE, POWIELANIE lub PUBLIKOWANIE, w CZĘŚCI lub w CAŁOŚCI BEZ ZGODY AUTORÓW JEST
ZABRONIONE ®. (Dz. U. Nr 24, poz. 83, art. 1 pkt 2 z dnia 23.02.1994 r. z późniejszymi zmianami)
PROJEKT BUDOWLANY REMONTU KONSERWATORSKIEGO ELEWACJI I DACHU
KOŚCIOŁA P.W. ŚW. MARCINA PRZY ULICY ŚW. MARCINA WE WROCŁAWIU
B.2. Konstrukcja z oceną stanu technicznego
1.1. Wskazania dotyczące remontu dachu
Elementy więźby dachowej zawilgocone, zbutwiałe i spękane, zakwalifikowano do wymiany naprawy
lub wzmocnienia. Dokładne oględziny konstrukcji więźby przeprowadzić należy w czasie prac
remontowych. Brak regularnych kontroli stanu technicznego i bieżących napraw dachu doprowadził
do powstania szeregu nieszczelności w poszyciu. Woda z opadów atmosferycznych jest główną
przyczyną zaobserwowanych uszkodzeń dachu, zlokalizowanych przede wszystkim w okolicach
nieszczelności poszycia. Uszkodzenia te dotyczą głównie:
- kalenicy dachu – zawilgocone końce krokwi w węzłach kalenicowych poszczególnych wiązarów,
- murłat,
- wiązarów skrajnych.
Do naprawy elementów przystąpić po odciążeniu konstrukcji (zdemontowaniu opierzeń
blacharskich, dachówek i łacenia). Naprawę uszkodzeń krokwi w węźle kalenicowym wykonać na
nakładkę prostą. Zawilgocone fragmenty krokwi zastąpić nowymi o przekroju poprzecznym jak
krokwie istniejące. Sztukowane krokwie skręcić śrubami M16.
Zbutwiałe fragmenty krokwi w miejscach ich oparcia wyciąć i sztukować na nakładkę prostą. Część
słupów usunąć i wymienić na nowe drewniane o przekrojach poprzecznych jak przekroje istniejące.
W przypadku stwierdzenia zawilgocenia poszczególnych elementów więźby dachowej na znacznych
długościach, zaleca się ich wymianę w całości.
Pozostałą część dachu nie podlegającą wymianie należy oczyścić i zaimpregnować np. preparatem
FOBOS M-4.
1.2. Ocena stanu technicznego dachu
Dachy kościoła św. Marcina są w niższej części budynku części dwuspadowe z wielospadowym
nakryciem części prezbiterium, w wyższej wielospadowe, strome o różnych kątach pochylenia. Dach
kryty dachówką mnich - mniszka. Więźba wykonana jako tradycyjna o konstrukcji ciesielskiej.
Dachy kościoła są znacznie zabrudzone i zniszczone. Ich stan techniczny jest zły, miejscowo
następuje zalewanie przez wody opadowe. Występują lokalne strefy znacznej dezintegracji struktury
materiału ceramicznego charakteryzującej się złuszczeniami, co w wielu miejscach doprowadziło do
ubytków pojedynczych i sporych obszarów dachówki. W powiązaniu z ubytkami doprowadziło to do
rozluźnienia struktury konstrukcji pokrycia ceramicznego i w wielu miejscach do powstawania
ubytków. Jest to wynikiem bezpośredniego działania wody deszczowej, która nie zostaje skierowana
i odprowadzona systemem odwodnienia. Ten stan sprzyja rozwojowi mikroflory i powstawania
zasoleń będących źródłem stałego utrzymywania się zawilgocenia, które w okresie zimowym w
związku z działaniem niskich temperatur prowadzi do systematycznego niszczenia struktury.
W czasie wizji lokalnej, przeprowadzonej dnia 27 listopada 2014r. stwierdzono, że stan techniczny
pokrycia dachu jest zły – szczególnie dotyczy to zwietrzałej zaprawy, która obsypując się
przyczynia się do powstawania szeregu nieszczelności w pokryciu.
NINIEJSZE OPRACOWANIE JEST CHRONIONE USTAWĄ o PRAWIE AUTORSKIM i PRAWACH POKREWNYCH.
JEGO KOPIOWANIE, POWIELANIE lub PUBLIKOWANIE, w CZĘŚCI lub w CAŁOŚCI BEZ ZGODY AUTORÓW JEST
ZABRONIONE ®. (Dz. U. Nr 24, poz. 83, art. 1 pkt 2 z dnia 23.02.1994 r. z późniejszymi zmianami)
PROJEKT BUDOWLANY REMONTU KONSERWATORSKIEGO ELEWACJI I DACHU
KOŚCIOŁA P.W. ŚW. MARCINA PRZY ULICY ŚW. MARCINA WE WROCŁAWIU
1.3. Ocena stanu technicznego elewacji
Kościół wykonany jest w technologii murowanej z cegły o różnorodnych formatach gotyckich i
maszynowych. Dolne partie cokołowe konstrukcji murowej uległy znaczącej erozji lica.
W czasie wizji lokalnej, przeprowadzonej dnia 27 listopada 2014 r.w południowo-wschodnim narożu
stwierdzono znaczące odspojenie fragmentu ceglanego części cokołowej obiektu od lica muru.
Miejsce to wymaga konstrukcyjnego zszycia w celu zapobieżenia postępującej destrukcji substancji
zabytku.
Elewacje kościoła pokryte są ciemnymi nawarstwieniami. Miejscowo (strefy pod okapami,
gzymsami, ławami okiennymi i zwieńczeniami przypór, pokryte są grubymi nawarstwieniami
uszczelniającymi powstałymi w wyniku migracji minerałów ze struktury do powierzchni materiałów
porowatych). Stan fragmentów elewacji jest bardzo zły. Widoczne są liczne i rozległe
ubytki/uszkodzenia elementów kamiennych, cegieł i spoin prowadzących do rozluźnienia struktury
muru i naruszenia konstrukcji niektórych elementów bryły kościoła. Ogólnie zły stan techniczny
elewacji jest wypadkową oddziaływania na obiekt naturalnych czynników niszczących (zmienne
warunki atmosferyczne) i czynników natury mechanicznej.
Strefy dezintegracji struktury materiału ceramicznego występują w różnym stopniu zaawansowania.
Głębokie ubytki pojedynczych cegieł i szerszych obszarów lica muru, są głównie efektem
oddziaływania zmiennych warunków atmosferycznych. Zróżnicowany stopień destrukcji cegieł
wynika m.in. ze zróżnicowanego stopnia ich wypału. Niedopalone minerały ilaste są niezwykle
wrażliwe na zmienny stopień zawilgocenia struktury, który powoduje przemienne zwiększanie i
zmniejszania się objętości minerałów. Prowadzi to do stopniowej dezintegracji czerepu. Powstają
wówczas charakterystyczne złuszczenia większych fragmentów powierzchni.
Liczne głębokie ubytki cegieł w strefie cokołowej – głównie tuż nad poziomem gruntu są efektem
oddziaływania na ich strukturę wznoszonej kapilarnie wody gruntowej wraz z zawartymi w niej
solami mineralnymi. W przypadku cokołów sąsiadujących z chodnikami i ulicami stopień destrukcji
pojedynczych cegieł i większych powierzchni muru jest spotęgowany obecnością soli
systematycznie rozsypywanej w okresie zimy jako czynnik antypoślizgowy.
Liczne drobne rysy, nierówności powierzchni wynikają z techniki wykonania cegieł i stanowią jej
naturalny charakter powierzchni. Zróżnicowany stopień destrukcji elementów ceglanych ściśle
uzależniony jest od ich kształtu, masy i formy oraz miejsca ich montażu.
Bardzo poważnie zniszczone są partie cokołowe i opaski okienne. Wierzchnie płaszczyzny tych
elementów narażone były na intensywne oddziaływanie wód opadowych. Stopniowe wypłukiwanie
minerałów z powierzchni i struktury przypowierzchniowej
doprowadziło do poważnego ich
osłabienia i powstania licznych ubytków. Odprowadzana nieprawidłowo spływająca z uszkodzonych
gzymsów na powierzchnię muru woda spowodowała rozległe i głębokie ubytki zaprawy spoinującej
cegły.
Podobna sytuacja występuje w przypadku wszystkich elementów wieńczących mury ceglane lecz
ich zwarta forma i duży kąt pochylenia płaszczyzn odprowadzających wodę pozwoliły im przetrwać
NINIEJSZE OPRACOWANIE JEST CHRONIONE USTAWĄ o PRAWIE AUTORSKIM i PRAWACH POKREWNYCH.
JEGO KOPIOWANIE, POWIELANIE lub PUBLIKOWANIE, w CZĘŚCI lub w CAŁOŚCI BEZ ZGODY AUTORÓW JEST
ZABRONIONE ®. (Dz. U. Nr 24, poz. 83, art. 1 pkt 2 z dnia 23.02.1994 r. z późniejszymi zmianami)
PROJEKT BUDOWLANY REMONTU KONSERWATORSKIEGO ELEWACJI I DACHU
KOŚCIOŁA P.W. ŚW. MARCINA PRZY ULICY ŚW. MARCINA WE WROCŁAWIU
w nieco lepszej kondycji bez rozległych ubytków ale z poważnie osłabioną przypowierzchniową
strukturą. Spoinująca je zaprawa uległa głębokim zniszczeniom. W wielu miejscach czapy nie
spełniają obecnie swej podstawowej funkcji. Nie chronią dostatecznie struktury muru ceglanego
przed wodą opadową. Przez rozszczelnione spoiny, w głąb muru przypór i elewacji wnika woda
opadowa powodując intensywne ich zawilgocenie. Pośrednio prowadzi to również do postępujących
zniszczeń zaprawy jak i wszystkich elementów nią zespolonych.
Zawilgocone głębokie ubytki spoin i cegieł stały się doskonałym miejscem wzrostu roślinności, której
korzenie oraz pnie dodatkowo pogłębiają uszkodzenia.
Podobne, również rozległe zniszczenia występują w elementach gzymsu cokołowego i samego
cokołu. W miejscach tych widoczne są ślady napraw – głównie przy zastosowaniu zapraw
cementowych, którymi wypełniono ubytki spoin.
W przypadku tynkowanych opasek okiennych liczne uszkodzenia mechaniczne występują zwykle na
ich krawędziach i w bezpośrednim sąsiedztwie elementów okien. Ich przyczyną mogły być
naprężenia spowodowane naporem wiatru na wielkie przeszklone płaszczyzny jak i zjawisko
rozszerzalności termicznej i korozji powierzchniowej elementów . Zniszczenia podokienników są
wynikiem intensywnemu poddawaniu działania wód opadowych. W tych miejscach doszło do
głębokich ubytków spin i osłabienia przypowierzchniowej struktury.
Obszerne ubytki cegieł uzupełniono elementami wtórnymi przypadkowymi i na wzór zachowanych.
Natomiast mniejsze, wypełniono zaprawą cementową.
W złym stanie technicznym są również wyprawy tynkarskie. Rozległe wilgotne plamy na ich
powierzchni, spękania, rozwarstwienia, odspojenia i łuszcząca się warstwa pobiały bardzo zakłóca
estetykę kościoła. Widoczne zniszczenia zaprawy tynków świadczą o bardzo intensywnym
zawilgoceniu murów w wyniku kapilarnego wznoszenia się wód gruntowych.
Obszerne ubytki wątku ceglanego naprawiono w XX w. przy pomocy zapraw cementowych
barwionych powierzchniowo.
Liczne naprawy wykonywane w nie właściwej technologii są również źródłem powstawania
czynników niszczących, które dodatkowo są przyczyną powstawania szpecących zmian. Użycie do
tych remontów zapraw o nie właściwym technologicznie składzie doprowadziło do powstania
licznych zacieków i wykwitów na powierzchni cegieł. Wykwity węglanu wapnia, kalcytu doprowadziło
do znacznego oszpecenia elewacji i lokalnych uszkodzeń powierzchni muru na wskutek
uszczelnienia powierzchni głównie w strefie przyziemia.
Widoczne w dolnych partiach muru obszary zawilgocenie mogą mieć źródło w postaci zawilgocenia
fundamentów i podciągania kapilarnego. Zjawisko potęgowane jest wtórnie przez obecność w
strukturze przypowierzchniowej muru substancji organicznych pochodzenia mikrobiologicznego oraz
soli. Źródłem szkodliwych soli rozpuszczalnych w wodzie mogą być również zaprawy cementowe
zastosowane do naprawy uszkodzonych fragmentów muru.
Pełna analiza mechanizmu powstawania tego typu zjawisk jest zagadnieniem do rozstrzygnięcia w
toku analiz i badań znacznie wykraczających poza zakres niniejszego opracowania i musi być
przedmiotem badań podjętych w momencie rozpoczęcia prac.
NINIEJSZE OPRACOWANIE JEST CHRONIONE USTAWĄ o PRAWIE AUTORSKIM i PRAWACH POKREWNYCH.
JEGO KOPIOWANIE, POWIELANIE lub PUBLIKOWANIE, w CZĘŚCI lub w CAŁOŚCI BEZ ZGODY AUTORÓW JEST
ZABRONIONE ®. (Dz. U. Nr 24, poz. 83, art. 1 pkt 2 z dnia 23.02.1994 r. z późniejszymi zmianami)
PROJEKT BUDOWLANY REMONTU KONSERWATORSKIEGO ELEWACJI I DACHU
KOŚCIOŁA P.W. ŚW. MARCINA PRZY ULICY ŚW. MARCINA WE WROCŁAWIU
Podsumowując stan techniczny dachu budynku określa się jako zły. Należy podjąć natychmiastowe
prace remontowe. Obiekt nadaje się do wnioskowanego remontu.
Projektował i opracował
dr inż. Radosław Tatko
mgr inż. arch. Bartosz Żmuda
Sprawdził
mgr inż. Tomasz Walczak
VI. Część rysunkowa
NINIEJSZE OPRACOWANIE JEST CHRONIONE USTAWĄ o PRAWIE AUTORSKIM i PRAWACH POKREWNYCH.
JEGO KOPIOWANIE, POWIELANIE lub PUBLIKOWANIE, w CZĘŚCI lub w CAŁOŚCI BEZ ZGODY AUTORÓW JEST
ZABRONIONE ®. (Dz. U. Nr 24, poz. 83, art. 1 pkt 2 z dnia 23.02.1994 r. z późniejszymi zmianami)