I LO im. Tadeusza Kościuszki w Legnicy – Plac

Transkrypt

I LO im. Tadeusza Kościuszki w Legnicy – Plac
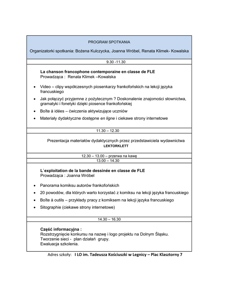
PROGRAM SPOTKANIA
Organizatorki spotkania: Bożena Kulczycka, Joanna Wróbel, Renata Klimek- Kowalska
9.30 -11.30
La chanson francophone contemporaine en classe de FLE
Prowadząca : Renata Klimek –Kowalska

Video – clipy współczesnych piosenkarzy frankofońskich na lekcji języka
francuskiego

Jak połączyć przyjemne z pożytecznym ? Doskonalenie znajomości słownictwa,
gramatyki i fonetyki dzięki piosence frankofońskiej

Boîte à idées – ćwiczenia aktywizujące uczniów

Materiały dydaktyczne dostępne en ligne i ciekawe strony internetowe
11.30 – 12.30
Prezentacja materiałów dydaktycznych przez przedstawiciela wydawnictwa
LEKTORKLETT
12.30 – 13.00 – przerwa na kawę
13.00 – 14.30
L`exploitation de la bande dessinée en classe de FLE
Prowadząca : Joanna Wróbel

Panorama komiksu autorów frankofońskich

20 powodów, dla których warto korzystać z komiksu na lekcji języka francuskiego

Boîte à outils – przykłady pracy z komiksem na lekcji języka francuskiego

Sitographie (ciekawe strony internetowe)
14.30 – 16.30
Część informacyjna :
Rozstrzygnięcie konkursu na nazwę i logo projektu na Dolnym Śląsku.
Tworzenie sieci - plan działań grupy.
Ewaluacja szkolenia.
Adres szkoły: I LO im. Tadeusza Kościuszki w Legnicy – Plac Klasztorny 7