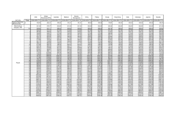
USA Afryka Południowa RPA Australia Białoruś Bosnia

Transkrypt

USA Afryka Południowa RPA Australia Białoruś Bosnia
USA
VAT 23%
Waga
Koperta Papierowa
Ltr
UPS do 0,5 kg
Dokumenty w
foliopaku UPS
Paczki
Afryka
Południowa RPA
Australia
Białoruś
BosniaHercegowina
Chiny
Filipiny
Gruzja
Hong Kong
Indie
Indonezja
Japonia
Kanada
CENA BRUTTO CENA BRUTTO CENA BRUTTO CENA BRUTTO CENA BRUTTO CENA BRUTTO CENA BRUTTO CENA BRUTTO CENA BRUTTO CENA BRUTTO CENA BRUTTO CENA BRUTTO CENA BRUTTO
165,40
202,31
184,53
161,31
161,31
184,53
184,53
178,67
184,53
184,53
184,53
184,53
165,40
1
221,29
278,17
252,83
221,25
221,25
252,83
252,83
244,52
252,83
252,83
252,83
252,83
221,29
2,5
1
2
3
4
5
6
7
8
9
10
11
12
13
14
15
16
17
18
19
20
21
22
23
24
25
26
27
28
29
30
31
32
33
34
35
40
45
50
55
60
65
70
334,84
223,39
287,00
342,00
397,62
453,19
485,20
517,68
551,13
584,12
617,09
635,78
654,47
673,67
693,36
712,53
732,22
751,87
771,60
790,76
810,45
849,49
869,76
889,60
908,84
928,64
943,45
963,24
982,51
1002,28
1022,08
1042,37
1062,14
1082,39
1102,18
1122,45
1197,59
1272,75
1348,40
1423,56
1498,71
1573,87
1649,03
441,11
273,19
359,30
444,37
525,09
605,26
654,47
703,20
752,85
802,59
852,79
885,29
918,68
952,67
986,11
1019,56
1053,53
1086,99
1120,45
1153,88
1187,85
1249,03
1275,24
1302,43
1329,15
1356,32
1380,57
1407,25
1433,93
1461,17
1487,87
1514,57
1541,23
1568,46
1594,65
1621,82
1756,33
1890,35
2024,30
2158,81
2292,82
2426,78
2561,30
399,23
257,00
332,73
412,36
485,20
558,02
605,79
653,48
701,22
748,44
796,20
816,36
847,34
878,35
909,35
940,36
971,34
1002,35
1033,33
1064,36
1095,36
1153,60
1176,34
1199,10
1221,86
1244,55
1267,33
1290,09
1313,36
1335,55
1358,30
1381,06
1404,29
1426,54
1449,28
1471,99
1595,61
1719,23
1842,36
1965,97
2089,63
2212,70
2336,34
324,63
219,08
278,52
332,50
391,40
446,89
477,59
508,30
539,50
571,74
603,43
620,77
638,08
655,45
673,26
690,59
707,95
725,30
743,09
760,48
777,81
812,46
830,85
849,79
868,18
886,63
905,52
923,97
942,38
961,28
979,74
998,15
1016,56
1035,46
1049,87
1064,32
1138,98
1213,65
1288,30
1363,50
1438,17
1512,82
1587,51
324,63
219,08
278,52
332,50
391,40
446,89
477,59
508,30
539,50
571,74
603,43
620,77
638,08
655,45
673,26
690,59
707,95
725,30
743,09
760,48
777,81
812,46
830,85
849,79
868,18
886,63
905,52
923,97
942,38
961,28
979,74
998,15
1016,56
1035,46
1049,87
1064,32
1138,98
1213,65
1288,30
1363,50
1438,17
1512,82
1587,51
399,23
257,00
332,73
412,36
485,20
558,02
605,79
653,48
701,22
748,44
796,20
816,36
847,34
878,35
909,35
940,36
971,34
1002,35
1033,33
1064,36
1095,36
1153,60
1176,34
1199,10
1221,86
1244,55
1267,33
1290,09
1313,36
1335,55
1358,30
1381,06
1404,29
1426,54
1449,28
1471,99
1595,61
1719,23
1842,36
1965,97
2089,63
2212,70
2336,34
399,23
257,00
332,73
412,36
485,20
558,02
605,79
653,48
701,22
748,44
796,20
816,36
847,34
878,35
909,35
940,36
971,34
1002,35
1033,33
1064,36
1095,36
1153,60
1176,34
1199,10
1221,86
1244,55
1267,33
1290,09
1313,36
1335,55
1358,30
1381,06
1404,29
1426,54
1449,28
1471,99
1595,61
1719,23
1842,36
1965,97
2089,63
2212,70
2336,34
367,34
241,23
313,57
388,28
454,71
520,64
565,43
610,67
655,47
700,26
744,99
772,12
799,14
826,20
853,24
880,33
907,37
933,94
961,01
988,07
1015,15
1061,14
1081,43
1102,18
1122,45
1143,23
1157,57
1177,85
1198,61
1218,85
1239,14
1259,41
1279,69
1300,43
1320,71
1340,98
1445,36
1550,16
1654,47
1758,80
1863,62
1967,96
2072,29
399,23
257,00
332,73
412,36
485,20
558,02
605,79
653,48
701,22
748,44
796,20
816,36
847,34
878,35
909,35
940,36
971,34
1002,35
1033,33
1064,36
1095,36
1153,60
1176,34
1199,10
1221,86
1244,55
1267,33
1290,09
1313,36
1335,55
1358,30
1381,06
1404,29
1426,54
1449,28
1471,99
1595,61
1719,23
1842,36
1965,97
2089,63
2212,70
2336,34
399,23
257,00
332,73
412,36
485,20
558,02
605,79
653,48
701,22
748,44
796,20
816,36
847,34
878,35
909,35
940,36
971,34
1002,35
1033,33
1064,36
1095,36
1153,60
1176,34
1199,10
1221,86
1244,55
1267,33
1290,09
1313,36
1335,55
1358,30
1381,06
1404,29
1426,54
1449,28
1471,99
1595,61
1719,23
1842,36
1965,97
2089,63
2212,70
2336,34
399,23
257,00
332,73
412,36
485,20
558,02
605,79
653,48
701,22
748,44
796,20
816,36
847,34
878,35
909,35
940,36
971,34
1002,35
1033,33
1064,36
1095,36
1153,60
1176,34
1199,10
1221,86
1244,55
1267,33
1290,09
1313,36
1335,55
1358,30
1381,06
1404,29
1426,54
1449,28
1471,99
1595,61
1719,23
1842,36
1965,97
2089,63
2212,70
2336,34
399,23
257,00
332,73
412,36
485,20
558,02
605,79
653,48
701,22
748,44
796,20
816,36
847,34
878,35
909,35
940,36
971,34
1002,35
1033,33
1064,36
1095,36
1153,60
1176,34
1199,10
1221,86
1244,55
1267,33
1290,09
1313,36
1335,55
1358,30
1381,06
1404,29
1426,54
1449,28
1471,99
1595,61
1719,23
1842,36
1965,97
2089,63
2212,70
2336,34
334,84
223,39
287,00
342,00
397,62
453,19
485,20
517,68
551,13
584,12
617,09
635,78
654,47
673,67
693,36
712,53
732,22
751,87
771,60
790,76
810,45
849,49
869,76
889,60
908,84
928,64
943,45
963,24
982,51
1002,28
1022,08
1042,37
1062,14
1082,39
1102,18
1122,45
1197,59
1272,75
1348,40
1423,56
1498,71
1573,87
1649,03
Korea
Kostaryka
Meksyk
Mołdawia
Norwegia
Nowa Zelandia
Singapur
Tajlandia
Tajwan
Turcja
Ukraina
Wietnam
Południowa
CENA BRUTTO CENA BRUTTO CENA BRUTTO CENA BRUTTO CENA BRUTTO CENA BRUTTO CENA BRUTTO CENA BRUTTO CENA BRUTTO CENA BRUTTO CENA BRUTTO CENA BRUTTO CENA BRUTTO
Kazachstan
VAT 23%
Waga
Koperta Papierowa
Ltr
UPS do 0,5 kg
Dokumenty w
1
foliopaku UPS
2,5
1
2
3
4
5
6
7
8
9
10
11
12
13
14
15
16
17
18
19
20
21
Paczki
22
23
24
25
26
27
28
29
30
31
32
33
34
35
40
45
50
55
60
65
70
178,67
184,53
202,31
165,40
161,31
161,31
184,53
184,53
184,53
184,53
173,41
161,31
202,31
244,52
367,34
241,23
313,57
388,28
454,71
520,64
565,43
610,67
655,47
700,26
744,99
772,12
799,14
826,20
853,24
880,33
907,37
933,94
961,01
988,07
1015,15
1061,14
1081,43
1102,18
1122,45
1143,23
1157,57
1177,85
1198,61
1218,85
1239,14
1259,41
1279,69
1300,43
1320,71
1340,98
1445,36
1550,16
1654,47
1758,80
1863,62
1967,96
2072,29
252,83
399,23
257,00
332,73
412,36
485,20
558,02
605,79
653,48
701,22
748,44
796,20
816,36
847,34
878,35
909,35
940,36
971,34
1002,35
1033,33
1064,36
1095,36
1153,60
1176,34
1199,10
1221,86
1244,55
1267,33
1290,09
1313,36
1335,55
1358,30
1381,06
1404,29
1426,54
1449,28
1471,99
1595,61
1719,23
1842,36
1965,97
2089,63
2212,70
2336,34
278,17
441,11
273,19
359,30
444,37
525,09
605,26
654,47
703,20
752,85
802,59
852,79
885,29
918,68
952,67
986,11
1019,56
1053,53
1086,99
1120,45
1153,88
1187,85
1249,03
1275,24
1302,43
1329,15
1356,32
1380,57
1407,25
1433,93
1461,17
1487,87
1514,57
1541,23
1568,46
1594,65
1621,82
1756,33
1890,35
2024,30
2158,81
2292,82
2426,78
2561,30
221,29
334,84
223,39
287,00
342,00
397,62
453,19
485,20
517,68
551,13
584,12
617,09
635,78
654,47
673,67
693,36
712,53
732,22
751,87
771,60
790,76
810,45
849,49
869,76
889,60
908,84
928,64
943,45
963,24
982,51
1002,28
1022,08
1042,37
1062,14
1082,39
1102,18
1122,45
1197,59
1272,75
1348,40
1423,56
1498,71
1573,87
1649,03
221,25
324,63
219,08
278,52
332,50
391,40
446,89
477,59
508,30
539,50
571,74
603,43
620,77
638,08
655,45
673,26
690,59
707,95
725,30
743,09
760,48
777,81
812,46
830,85
849,79
868,18
886,63
905,52
923,97
942,38
961,28
979,74
998,15
1016,56
1035,46
1049,87
1064,32
1138,98
1213,65
1288,30
1363,50
1438,17
1512,82
1587,51
221,25
324,63
219,08
278,52
332,50
391,40
446,89
477,59
508,30
539,50
571,74
603,43
620,77
638,08
655,45
673,26
690,59
707,95
725,30
743,09
760,48
777,81
812,46
830,85
849,79
868,18
886,63
905,52
923,97
942,38
961,28
979,74
998,15
1016,56
1035,46
1049,87
1064,32
1138,98
1213,65
1288,30
1363,50
1438,17
1512,82
1587,51
252,83
399,23
257,00
332,73
412,36
485,20
558,02
605,79
653,48
701,22
748,44
796,20
816,36
847,34
878,35
909,35
940,36
971,34
1002,35
1033,33
1064,36
1095,36
1153,60
1176,34
1199,10
1221,86
1244,55
1267,33
1290,09
1313,36
1335,55
1358,30
1381,06
1404,29
1426,54
1449,28
1471,99
1595,61
1719,23
1842,36
1965,97
2089,63
2212,70
2336,34
252,83
399,23
257,00
332,73
412,36
485,20
558,02
605,79
653,48
701,22
748,44
796,20
816,36
847,34
878,35
909,35
940,36
971,34
1002,35
1033,33
1064,36
1095,36
1153,60
1176,34
1199,10
1221,86
1244,55
1267,33
1290,09
1313,36
1335,55
1358,30
1381,06
1404,29
1426,54
1449,28
1471,99
1595,61
1719,23
1842,36
1965,97
2089,63
2212,70
2336,34
252,83
399,23
257,00
332,73
412,36
485,20
558,02
605,79
653,48
701,22
748,44
796,20
816,36
847,34
878,35
909,35
940,36
971,34
1002,35
1033,33
1064,36
1095,36
1153,60
1176,34
1199,10
1221,86
1244,55
1267,33
1290,09
1313,36
1335,55
1358,30
1381,06
1404,29
1426,54
1449,28
1471,99
1595,61
1719,23
1842,36
1965,97
2089,63
2212,70
2336,34
252,83
399,23
257,00
332,73
412,36
485,20
558,02
605,79
653,48
701,22
748,44
796,20
816,36
847,34
878,35
909,35
940,36
971,34
1002,35
1033,33
1064,36
1095,36
1153,60
1176,34
1199,10
1221,86
1244,55
1267,33
1290,09
1313,36
1335,55
1358,30
1381,06
1404,29
1426,54
1449,28
1471,99
1595,61
1719,23
1842,36
1965,97
2089,63
2212,70
2336,34
232,93
357,03
237,50
305,94
372,88
433,48
493,56
532,45
571,34
610,29
648,69
687,64
701,90
721,10
740,32
759,52
778,74
797,94
817,16
836,37
855,52
874,77
914,68
934,45
953,74
973,07
992,37
1008,16
1027,49
1047,33
1066,62
1085,92
1105,21
1124,52
1143,80
1163,13
1182,44
1273,00
1364,06
1454,11
1545,19
1635,76
1726,86
1817,38
221,25
324,63
219,08
278,52
332,50
391,40
446,89
477,59
508,30
539,50
571,74
603,43
620,77
638,08
655,45
673,26
690,59
707,95
725,30
743,09
760,48
777,81
812,46
830,85
849,79
868,18
886,63
905,52
923,97
942,38
961,28
979,74
998,15
1016,56
1035,46
1049,87
1064,32
1138,98
1213,65
1288,30
1363,50
1438,17
1512,82
1587,51
278,17
441,11
273,19
359,30
444,37
525,09
605,26
654,47
703,20
752,85
802,59
852,79
885,29
918,68
952,67
986,11
1019,56
1053,53
1086,99
1120,45
1153,88
1187,85
1249,03
1275,24
1302,43
1329,15
1356,32
1380,57
1407,25
1433,93
1461,17
1487,87
1514,57
1541,23
1568,46
1594,65
1621,82
1756,33
1890,35
2024,30
2158,81
2292,82
2426,78
2561,30