27 1 4)( x x xf + = 3 4 3 )(` x x xf + −= 34 1 3)(` x xf += 214 3 12)(` x x xf

Transkrypt

27 1 4)( x x xf + = 3 4 3 )(` x x xf + −= 34 1 3)(` x xf += 214 3 12)(` x x xf
mgr Kamila Rudź
Akademia Morska w Gdyni
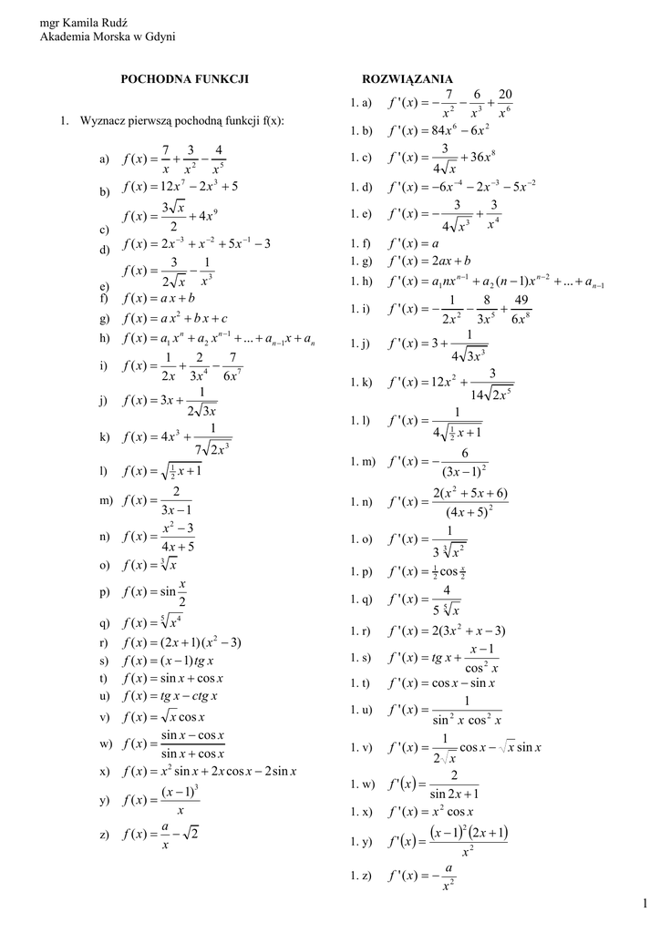
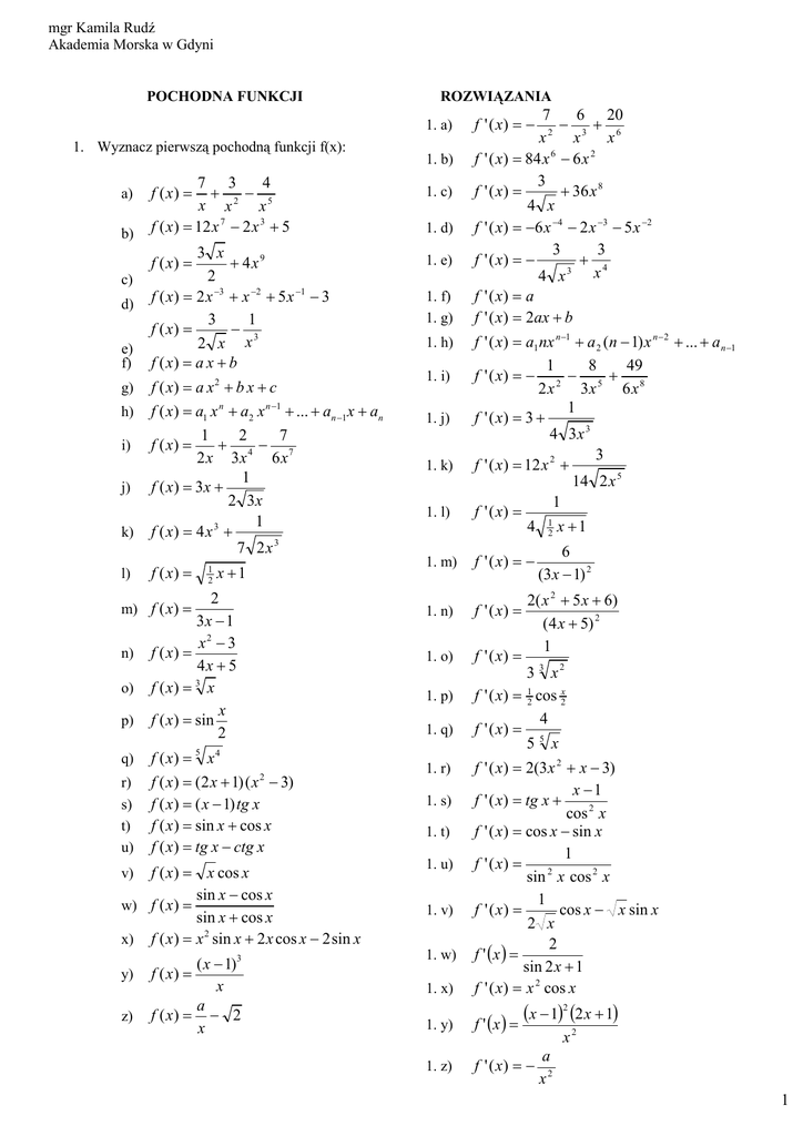
POCHODNA FUNKCJI
1. Wyznacz pierwszą pochodną funkcji f(x):
a)
b)
7 3
4
+ 2 − 5
x x
x
f ( x) = 12 x 7 − 2 x 3 + 5
f ( x) =
e)
f)
3 x
+ 4x9
2
f ( x) = 2 x −3 + x −2 + 5 x −1 − 3
3
1
f ( x) =
− 3
2 x x
f ( x) = a x + b
g)
f ( x) = a x 2 + b x + c
h)
f ( x) = a1 x n + a2 x n −1 + ... + an −1 x + an
1
2
7
f ( x) =
+ 4− 7
2 x 3x
6x
1
f ( x) = 3x +
2 3x
1
f ( x) = 4 x 3 +
7 2x3
f ( x) =
c)
d)
i)
j)
k)
l)
f ( x) =
1
2
ROZWIĄZANIA
f ' ( x) = −
1. b)
f
1. c)
f
1. d)
f
1. e)
f
1. f)
1. g)
f
f
1. h)
f ' ( x) = a1 nx n−1 + a 2 (n − 1) x n − 2 + ... + a n −1
1
8
49
f ' ( x) = − 2 − 5 + 8
2x
3x
6x
1
f ' ( x) = 3 +
4 3x 3
3
f ' ( x) = 12 x 2 +
14 2 x 5
1
f ' ( x) =
4 12 x + 1
1. i)
1. j)
1. k)
1. l)
1. m)
x +1
2
3x − 1
x2 − 3
f ( x) =
4x + 5
3
f ( x) = x
x
f ( x) = sin
2
7
6 20
− 3+ 6
2
x
x
x
6
2
' ( x) = 84 x − 6 x
3
' ( x) =
+ 36 x 8
4 x
' ( x ) = − 6 x −4 − 2 x −3 − 5 x −2
3
3
' ( x) = −
+ 4
3
x
4 x
' ( x) = a
' ( x) = 2ax + b
1. a)
f ' ( x) = −
6
(3 x − 1) 2
2( x 2 + 5 x + 6)
' ( x) =
(4 x + 5) 2
1
' ( x) =
3 3 x2
' ( x) = 12 cos 2x
4
' ( x) = 5
5 x
m) f ( x) =
1. n)
f
n)
1. o)
f
1. p)
f
1. q)
f
1. r)
1. x)
f ' ( x) = 2(3 x 2 + x − 3)
x −1
f ' ( x) = tg x +
cos 2 x
f ' ( x) = cos x − sin x
1
f ' ( x) =
2
sin x cos 2 x
1
f ' ( x) =
cos x − x sin x
2 x
2
f ' (x ) =
sin 2 x + 1
f ' ( x) = x 2 cos x
1. y)
f ' (x ) =
1. z)
f ' ( x) = −
o)
p)
q)
f ( x) = 5 x 4
r)
s)
t)
u)
f ( x) = (2 x + 1) ( x − 3)
f ( x) = ( x − 1) tg x
f ( x) = sin x + cos x
f ( x) = tg x − ctg x
2
f ( x) = x cos x
sin x − cos x
w) f ( x) =
sin x + cos x
x) f ( x) = x 2 sin x + 2 x cos x − 2 sin x
v)
y)
z)
( x − 1)3
f ( x) =
x
a
f ( x) = − 2
x
1. s)
1. t)
1. u)
1. v)
1. w)
(x − 1)2 (2 x + 1)
x2
a
x2
1
mgr Kamila Rudź
Akademia Morska w Gdyni
POCHODNA FUNKCJI
ROZWIĄZANIA
2. a)
2.
Wyznacz pierwszą pochodną funkcji g(z):
a) g ( z ) = z sin z
2z − 1
z +z−2
c) g ( z ) = z ctg z
b) g ( z ) =
2
d) g ( z ) = z cos z
2. c)
2. d)
2. e)
2. f)
2. g)
h) g ( z ) = 5 cos 3 z
2. h)
i) g ( z ) = sin 2 ( 32 z )
2. i)
1
z
k) g ( z ) = cos z 2
1
l) g ( z ) = ln
z
m) g ( z ) = ln z sin 3 z
2. j)
j) g ( z ) = sin
n) g ( z ) = 5 ln ( z 2 + 1)
o) g ( z ) = 3 z ln 7 z
2. k)
2. l)
2. m)
2. n)
2
2
2. o)
z −1
2. p) g ' ( z ) = 2 z e z (1 + z 2 )
p) g ( z ) = z 2 e z
q) g ( z ) = 3 z e
2z 2 − 2z + 3
( z 2 + z − 2) 2
z
g ' ( z ) = ctg z −
sin 2 z
g ' ( z ) = 2 z cos z − z 2 sin z
sin z − 1
g ' ( z) =
cos 2 z
1 2
g ' ( z) = − 2
2 z
1 

g ' ( z ) = 2 sin z  cos z +

cos 3 z 

g ' ( z ) = −15 sin z cos 2 z
g ' ( z ) = 3 sin 32 z cos 32 z
1
1
g ' ( z ) = − 2 cos
z
z
2
g ' ( z ) = −2 z sin z
1
g ' ( z) = −
z
1
g ' ( z ) = z sin 3 z + 3 ln z cos 3 z
10 z
g ' ( z) = 2
z +1
g ' ( z ) = 3 z (2 ln 7 z + 1)
2. b) g ' ( z ) = −
2
1 − sin z
e) g ( z ) =
cos z
z 2
f) g ( z ) = −
2 z
g) g ( z ) = sin 2 z + tg 2 z
g ' ( z ) = sin z + z cos z
r) g ( z ) = e sin 2 z
z2
s) g ( z ) = z cos 2πz
3
t) g ( z ) = z n ln z
u) g ( z ) = az 2 ln bz
v) g ( z ) = c 2 z cos az 2
w) g ( z ) = ae az z 3
x) g ( z ) = z 5 sin(3 z 2 − 8)
y) g ( z ) = 2 z 3 ln( z 2 )
z) g ( z ) = ln z cos(3 z − 5)
2
2. q) g ' ( z ) = 3 e z −1 ( z + 1)
2. r)
2. s)
2. t)
2. u)
2. v)
2. w)
2. x)
2. y)
2. z)
g ' ( z ) = 2e z ( z sin 2 z + cos 2 z )
g ' ( z ) = z 2 (3 cos 2πz − 2πz sin 2πz )
g ' ( z ) = z n −1 (n ln z + 1)
g ' ( z ) = az (2 ln bz + 1)
g ' ( z ) = c 2 (cos az 2 − 2az 2 sin az 2 )
g ' ( z ) = az 2 e az (az + 3)
g ' ( z ) = z 4 5 sin(3 z 2 − 8) + 6 z 2 cos(3 z 2 − 8)
g ' ( z ) = 2 z 2 (3 ln z 2 + 2)
g ' ( z ) = 1z cos(3 z − 5) − 3 ln z sin(3 z − 5)
2
[
]
2
mgr Kamila Rudź
Akademia Morska w Gdyni
3. f)
POCHODNA FUNKCJI – ZASTOSOWANIE
W FIZYCE
3. g) v(t ) = −12(3 − 4t )2 , a (t ) = 96(3 − 4t )
3. h) v(t ) = 9(1 + 3t )2 , a (t ) = 54(1 + 3t )
3. i)
3. Wyznacz funkcje opisujące zależność szybkości v i
przyspieszenia a od czasu, wiedząc że współrzędna
punktu x zmienia się w czasie t zgodnie z funkcją:
a) x(t) = 7t2 + 5
b) x(t) = (t – 3)2
c) x(t) = 2 – ½ t
v(t ) = 20te 2t , a(t ) = 20e 2t (4t 2 + 1)
3. k) v(t ) = 12e 2(3t −1) , a (t ) = 72e 2(3t −1)
3. l) v(t ) = −21sin 3t + 10 cos(5t − 1)
a (t ) = −63cos 3t − 50 sin(5t − 1)
3. m) v(t ) = t cos(t 2 + 3) + 23 sin 13 t
a (t ) = 10(2t 4 − 1)sin(2 − t 2 ) + 50t 2 cos(2 − t 2 )
3. o) v(t ) = 3 [t cos(1 − t ) − sin(1 − t ) ]
a (t ) = 6 cos(1 − t ) + 3t sin(1 − t )
f) x(t) = (2t + 5)3
3. p) v(t ) = 6 [ cos(3t − 2) − 3t sin(3t − 2)]
a(t ) = −18 [ 2sin(3t − 2) + 3t cos(3t − 2) ]
3
3. q) v(t ) = 7t [ 2 cos(t + 7) − t sin(t + 7)]
h) x(t) = (1 + 3t)3
j) x(t ) = 5e
2t 2
a (t ) = 7 (2 − t 2 ) cos(t + 7) − 4t sin(t + 7) 
3. r)
2 ( 3t −1)
k) x(t ) = 2e
l) x(t ) = 7 cos 3t + 2 sin(5t − 1)
m) x(t ) = sin(t + 3) − 2 cos t + 4
2
1
2
1
3
n) x(t ) = −5t sin(2 − t )
o) x(t ) = −3t sin(1 − t )
p) x(t ) = 6t cos(3t − 2)
2
2
q) x(t ) = 7t 2 cos(t + 7)
r) x(t ) = 4t −3 − 3t −2 + cos t 2
s) x(t ) = t −3 + 2t −2 + cos 3t 2
t) x(t ) = 13 t −3 + 12 t −2 − sin(4t 2 − 1)
u) x(t ) = 2t −3 − 7t −2 − sin(5 − 2t 2 )
v) x(t ) = 6 ln(t 2 )
w) x(t ) = 12 ln(3t 2 )
x) x(t ) = 3 ln(2t 2 ) sin(5t − 3)
y) x(t ) = 9e
2
3. n) v(t ) = 10t t 2 cos(2 − t 2 ) − sin(2 − t 2 ) 
e) x(t) = 5t3 + 3t2 – 4t + 6
i) x(t ) = 4e
2
3. j)
d) x(t) = 26t2 – 5
1− t
v(t ) = −4e1−t , a (t ) = 4e1−t
a (t ) = cos(t 2 + 3) − 2t 2 sin(t 2 + 3) + 92 cos 13 t
2
g) x(t) = (3 – 4t)
v(t ) = 6(2t + 5)2 , a (t ) = 24(2t + 5)
t 2 +1
z) x(t ) = 6e −6 t cos(3 − 4t )
v(t ) = −12t −4 + 6t −3 − 2t sin t 2
a (t ) = 48t −5 − 18t −4 − 2 sin t 2 − 4t 2 cos t 2
3. s) v(t ) = −3t −4 − 4t −3 − 6t sin 3t 2
a (t ) = 12t −5 + 12t −4 − 6sin 3t 2 − 36t 2 cos 3t 2
3. t)
v(t ) = −t −4 − t −3 − 8t cos(4t 2 − 1)
a (t ) = 4t −5 + 3t −4 − 8 cos(4t 2 − 1) + 64t 2 sin(4t 2 − 1)
3. u) v(t ) = −6t −4 + 14t −3 + 4t cos(5 − 2t 2 )
a (t ) = 24t −5 − 42t −4 + 4 cos(5 − 2t 2 ) + 16t 2 sin(5 − 2t 2 )
12
12
3. v) v(t ) =
, a (t ) = − 2
t
t
1
1
3. w) v(t ) = , a (t ) = − 2
t
t
6
3. x) v(t ) = sin(5t − 3) + 15 ln(2t 2 ) cos(5t − 3)
t
60
6

a (t ) = cos(5t − 3) −  2 + 75 ln(2t 2 )  sin(5t − 3)
t
t

3. y) v(t ) = 18tet
+1
, a (t ) = 18et
+1
(1 + 2t 2 )
3. z) v(t ) = 12e −6t [ 2sin(3 − 4t ) − 3cos(3 − 4t )]
2
2
a(t ) = 2e −6t [ 60 cos(3 − 4t ) − 144sin(3 − 4t )]
ROZWIĄZANIA
3. a) v(t ) = 14t , a (t ) = 14
3. b) v(t ) = 2(t − 3) , a (t ) = 2
3. c) v(t ) = −t , a (t ) = −1
3. d) v(t ) = 52t , a (t ) = 52
3. e) v(t ) = 15t 2 + 6t − 4 , a (t ) = 30t + 6
3
mgr Kamila Rudź
Akademia Morska w Gdyni
POCHODNA FUNKCJI – ZASTOSOWANIE
W FIZYCE
4. h) v(t ) = 20π t cos 2π t 2
4. i)
4. Znajdź zależności funkcyjne szybkości v i
przyspieszenia a od czasu w ruchu prostoliniowym,
wiedząc że współrzędna położenia punktu x zmienia
się w czasie t zgodnie z funkcją:
a)
b)
x(t ) = 3e3t − t
x(t ) = 2 cos 3t − 1
c)
x(t ) = 2e −3t t 2
d)
x(t ) = t − t 2
e)
x(t ) = 4t 2 sin 2πt
f)
g)
x(t ) = −3t 2 cos 2πt
x(t ) = cos 3πt − t
h)
x(t ) = 5 sin 2πt 2
i)
x(t ) = 7(t 2 + 5t )
j)
k)
x(t ) = 3(t 7 − t )
x(t ) = 4tg 3t
l)
x(t ) = 5(tg t 2 − 1)
m) x(t ) = tg t 2 − t sin 3t
n)
x(t ) = et tg t
o)
x(t ) = 2(ctg t 2 + 3)
p)
x(t ) = ln t −1
q)
x(t ) = 3e (t − 4)
r)
x(t ) = 3e ln t
s)
y)
x(t ) = 5e ( t +1)
x(t ) = 3e −4t sin(2t + 1)
x(t ) = 2e −t cos(t − 2)
x(t ) = 3t 2 ln(t 2 − 1)
x(t ) = 2t 2 sin 3πt
x(t ) = 7t 3 e −πt
x(t ) = 4t 2 sin(t + 12 )
z)
x(t ) = −t −2 cos(2 − t )
t)
u)
v)
w)
x)
2t
ROZWIĄZANIA
4. a) v(t ) = 9e3t − 1 , a (t ) = 27e3t
4. b) v(t ) = −6sin 3t , a (t ) = −18cos 3t
4. c) v(t ) = 2te−3t (2 − 3t ) , a (t ) = 2e−3t (9t 2 − 12t + 2)
4. d) v(t ) = 1 − 2t , a (t ) = −2
4. e) v(t ) = 8t (sin 2π t + π t cos 2π t )
a (t ) = 8 (1 − 2π 2t 2 ) sin 2π t + 4π t cos 2π t 
4. f)
v(t ) = 21t 6 − 3 , a (t ) = 126t 5
12
72sin 3t 72 tg 3t
4. k) v(t ) =
, a (t ) =
=
2
cos 3t
cos3 3t
cos 2 3t
10t
10(4t 2 tg t 2 + 1)
4. l) v(t ) =
,
a
(
t
)
=
cos 2 t 2
cos 2 t 2
2t
4. m) v(t ) =
− sin 3t − 3t cos 3t
cos 2 t 2
2(4t 2tg t 2 + 1)
− 3(2 cos 3t − 3t sin 3t )
a (t ) =
cos 2 t 2
et
2(tg t + 1) 

4. n) v(t ) = et tg t +
, a (t ) = et  tg t +

2
cos t
cos 2 t 

4. j)
4t
4(4t 2 ctg t 2 − 1)
,
a
(
t
)
=
sin 2 t 2
sin 2 t 2
1
1
4. p) v(t ) = − , a (t ) = 2
t
t
2t
4. q) v(t ) = e (6t − 21) , a (t ) = 12e2t (t − 3)
1

4. r) v(t ) = 3e5t  5 ln t + 
t

10 1 

a (t ) = 3e5t  25 ln t + − 2 
t t 

4. o) v(t ) = −
4. s) v(t ) = 10(t + 1)e( t +1)
v(t ) = 6t (π t sin 2π t − cos 2π t )
a (t ) = 6 (2π 2t 2 − 1) cos 2π t + 4π t sin 2π t 
4. g) v(t ) = −3π sin 3π t − 1 , a (t ) = −9π 2 cos 3π t
2
a(t ) = 10e(t +1) 1 + 2(t + 1) 2 
v(t ) = 6e −4t [ cos(2t + 1) − 2sin(2t + 1)]
2
5t
2
a (t ) = 20π (cos 2π t 2 − 4π t 2 sin 2π t 2 )
v(t ) = 14t + 35 , a (t ) = 14
4. t)
a(t ) = 12e −4t [3sin(2t + 1) − 4 cos(2t + 1) ]
4. u)
v(t ) = −2e− t [ cos(t − 2) + sin(t − 2)]
a (t ) = 4e − t sin(t − 2)

t2 
v(t ) = 6t ln(t 2 − 1) + 2 
t − 1

4. v)
30t 2
12t 4
a(t ) = 6 ln(t 2 − 1) + 2
− 2
t − 1 (t − 1) 2
4. w) v(t ) = 2t (2sin 3π t + 3t cos 3π t )
a (t ) = 2 (2 − 9π 2t 2 ) sin 3π t + 12π t cos 3π t 
2 −π t
4. x) v(t ) = 7t e (3 − π t )
a (t ) = 7te −π t (6 − 6π t + π 2t 2 )
4. y)
v(t ) = 4t [ 2sin(t + 12 ) + t cos(t + 12 )]
a (t ) = 4 (2 − t 2 ) sin(t + 12 ) + 4t cos(t + 12 ) 
2 cos(2 − t ) sin(2 − t )
−
t3
t2
4. z)
1 
6
4

a (t ) = 2  1 − 2  cos(2 − t ) + sin(2 − t ) 
t  t 
t

v(t ) =
4