Załącznik nr 1.16 - Opis przedmiotu zamówienia cz. 16

Transkrypt

Załącznik nr 1.16 - Opis przedmiotu zamówienia cz. 16
Znak sprawy: RA-Z-02/2016
załącznik nr 1.16 do SIWZ
Opis przedmiotu zamówienia – CZĘŚĆ 16
Poz.
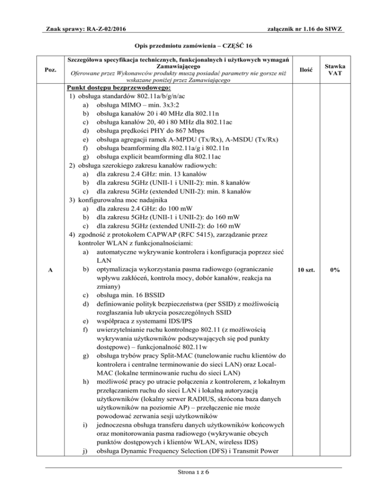
A
Szczegółowa specyfikacja technicznych, funkcjonalnych i użytkowych wymagań
Zamawiającego
Oferowane przez Wykonawców produkty muszą posiadać parametry nie gorsze niż
wskazane poniżej przez Zamawiającego
Punkt dostępu bezprzewodowego:
1) obsługa standardów 802.11a/b/g/n/ac
a) obsługa MIMO – min. 3x3:2
b) obsługa kanałów 20 i 40 MHz dla 802.11n
c) obsługa kanałów 20, 40 i 80 MHz dla 802.11ac
d) obsługa prędkości PHY do 867 Mbps
e) obsługa agregacji ramek A-MPDU (Tx/Rx), A-MSDU (Tx/Rx)
f) obsługa beamforming dla 802.11a/g i 802.11n
g) obsługa explicit beamforming dla 802.11ac
2) obsługa szerokiego zakresu kanałów radiowych:
a) dla zakresu 2.4 GHz: min. 13 kanałów
b) dla zakresu 5GHz (UNII-1 i UNII-2): min. 8 kanałów
c) dla zakresu 5GHz (extended UNII-2): min. 8 kanałów
3) konfigurowalna moc nadajnika
a) dla zakresu 2.4 GHz: do 100 mW
b) dla zakresu 5GHz (UNII-1 i UNII-2): do 160 mW
c) dla zakresu 5GHz (extended UNII-2): do 160 mW
4) zgodność z protokołem CAPWAP (RFC 5415), zarządzanie przez
kontroler WLAN z funkcjonalnościami:
a) automatyczne wykrywanie kontrolera i konfiguracja poprzez sieć
LAN
b) optymalizacja wykorzystania pasma radiowego (ograniczanie
wpływu zakłóceń, kontrola mocy, dobór kanałów, reakcja na
zmiany)
c) obsługa min. 16 BSSID
d) definiowanie polityk bezpieczeństwa (per SSID) z możliwością
rozgłaszania lub ukrycia poszczególnych SSID
e) współpraca z systemami IDS/IPS
f) uwierzytelnianie ruchu kontrolnego 802.11 (z możliwością
wykrywania użytkowników podszywających się pod punkty
dostępowe) – funkcjonalność 802.11w
g) obsługa trybów pracy Split-MAC (tunelowanie ruchu klientów do
kontrolera i centralne terminowanie do sieci LAN) oraz LocalMAC (lokalne terminowanie ruchu do sieci LAN)
h) możliwość pracy po utracie połączenia z kontrolerem, z lokalnym
przełączaniem ruchu do sieci LAN i lokalną autoryzacją
użytkowników (lokalny serwer RADIUS, skrócona baza danych
użytkowników na poziomie AP) – przełączenie nie może
powodować zerwania sesji użytkowników
i) jednoczesna obsługa transferu danych użytkowników końcowych
oraz monitorowania pasma radiowego (wykrywanie obcych
punktów dostępowych i klientów WLAN, wireless IDS)
j) obsługa Dynamic Frequency Selection (DFS) i Transmit Power
Strona 1 z 6
Ilość
Stawka
VAT
10 szt.
0%
Znak sprawy: RA-Z-02/2016
załącznik nr 1.16 do SIWZ
Control (TPC) zgodnie z 802.11h
obsługa szybkiego roamingu użytkowników pomiędzy punktami
dostępowymi – funkcjonalność 802.11r
l) obsługa mechanizmów QoS:
- shaping/ ograniczanie ruchu do użytkownika, z możliwością
konfiguracji per użytkownik
- obsługa WMM, TSPEC, U-APSD
m) współpraca z urządzeniami i oprogramowaniem realizującym
usługi lokalizacyjne
n) wbudowany suplikant 802.1x – możliwość uwierzytelnienia AP do
infrastruktury sieciowej
5) możliwość pracy w trybie kratowym (część AP dołączona do sieci
kablowej, pozostałe formujące sieć w oparciu o medium radiowe)
a) komunikacja między punktami dostępowymi bez medium
kablowego
b) autoryzacja punktów dostępowych w oparciu o certyfikaty X.509,
adresy MAC
c) separacja trybu pracy poszczególnych zakresów radiowych (jeden
dedykowany do obsługi klientów, drugi do komunikacji między
punktami dostępowymi) z możliwością konfiguracji wyjątku
d) automatyczne formowanie sieci kratowej między punktami
dostępowymi (optymalizacja tras z uwzględnieniem parametrów
jakościowych połączenia, minimalizacja interferencji z
możliwością awaryjnego przełączenia na inne pasmo)
e) automatyczne włączanie nowych punktów do sieci (bez
konieczności konfiguracji punktów dostępowych w miejscu
instalacji)
f) automatyczna ochrona kryptograficzna (AES) ruchu pomiędzy AP
6) możliwość pracy autonomicznej po wymianie oprogramowania – zmiana
trybu pracy musi być bezkosztowa w okresie trwania gwarancji
a) zarządzanie przez HTTPS, SSH, dedykowany port szeregowy,
SNMP
b) obsługa min. 16 SSID
c) współpraca z serwerami autoryzacyjnymi RADIUS
(konfigurowane per SSID)
d) obsługa WPA/WPA2, 802.1x (z możliwością tworzenia lokalnej
bazy użytkowników)
e) obsługa mechanizmów QoS (WMM, priorytetyzacja) i wsparcie
dla VoWLAN
f) obsługa trybów AP, repeater, bridge
g) konfiguracja polityk bezpieczeństwa per SSID
h) możliwość filtrowania ruchu (w oparciu o MAC, adresy i
protokoły IP, porty TCP/UDP)
i) uwierzytelnianie ruchu kontrolnego 802.11
j) obsługa szybkiego roamingu pomiędzy punktami dostępowymi
k) możliwość eksportu logów z wykorzystaniem SYSLOG
7) zintegrowany moduł analizatora widma częstotliwościowego (dotyczy
zakresów 2.4GHz i 5GHz):
k)
Strona 2 z 6
Znak sprawy: RA-Z-02/2016
załącznik nr 1.16 do SIWZ
a)
b)
dokładność analizy (kwant próbkowania) max. 200 kHz
zakres częstotliwościowy zgodny z zakresem pracy modułów
radiowych
c) automatyczne wykrywanie i klasyfikacja źródeł interferencji
(bluetooth, DECT, urządzenia mikrofalowe, urządzenia transmisji
audio wideo, urządzenia zakłócające itp.)
d) możliwość wizualizacji wyników analizy na stacji roboczej klasy
PC (FFT, gęstość widma, spektrogram, zajętość kanałów, poziom
mocy sygnałów) w czasie rzeczywistym
e) współpraca z mechanizmami optymalizacji wykorzystania pasma
radiowego
8) interfejs Gigabit Ethernet (10/100/1000)
9) drugi interfejs Gigabit Ethernet (10/100/1000) w celu podłączania
urządzeń klienckich
10) interfejs konsoli
11) zróżnicowane możliwości zasilania:
a) zasilacz sieciowy 230V AC
b) zasilanie PoE (802.3af) w sposób zapewniający pełną wydajność
12) anteny zintegrowane o zysku min. 4dBi dla pasma 2,4 GHz oraz zysku
min. 4 dBi dla pasma 5 GHz
13) obudowa przystosowana do warunków pracy w pomieszczeniach
biurowych (5 – 35oC), o niskim profilu (nie więcej niż 6 cm)
14) diodowa sygnalizacja stanu urządzenia z możliwością deaktywacji
15) zgodność z dyrektywą 1999/5/EC i 93/42/ECC
16) musi współpracować z posiadanym przez Zamawiającego kontrolerem
sieci bezprzewodowych (Cisco 5500 Series Wireless LAN Controller,
AIR-CT5508-K9)
B
Punkt dostępu bezprzewodowego:
1) obsługa standardów 802.11a/b/g/n/ac
a) obsługa MIMO – min. 4x4:3
b) obsługa kanałów 20 i 40 MHz dla 802.11n
c) obsługa kanałów 20, 40 i 80 MHz dla 802.11ac
d) obsługa prędkości PHY do 1,3 Gbps
e) obsługa agregacji ramek A-MPDU (Tx/Rx), A-MSDU (Tx/Rx)
f) obsługa TxBF (transmitbeamforming) dla klientów
802.11a/g/n/ac
2) obsługa szerokiego zakresu kanałów radiowych:
a) dla zakresu 2.4 GHz: min. 13 kanałów
b) dla zakresu 5GHz (UNII-1 i UNII-2): min. 8 kanałów
c) dla zakresu 5GHz (extended UNII-2): min. 8 kanałów
3) konfigurowalna moc nadajnika
a) dla zakresu 2.4 GHz:do 100 mW
b) dla zakresu 5GHz (UNII-1 i UNII-2): do 200 mW
c) dla zakresu 5GHz (extended UNII-2): do 200 mW
4) możliwość rozbudowy urządzenia o:
a) dedykowany moduł radiowy realizujący usługi
zaawansowanego bezpieczeństwa pozwalający na
Strona 3 z 6
4 szt.
0%
Znak sprawy: RA-Z-02/2016
załącznik nr 1.16 do SIWZ
monitorowanie pasma radiowego pod kątem bezpieczeństwa
(Wireless IPS) oraz interferencji na wszystkich kanałach
radiowych w pasmach 2,4 GHz oraz 5 GHz na kanałach o
szerokości 20, 40 oraz 80 MHz
b) dedykowany moduł radiowy do obsługi transmisji 3G działający
w licencjonowanym paśmie
5) zgodność z protokołem CAPWAP (RFC 5415), zarządzanie przez
kontroler WLAN z funkcjonalnościami:
a) automatyczne wykrywanie kontrolera i konfiguracja poprzez
sieć LAN
b) optymalizacja wykorzystania pasma radiowego (ograniczanie
wpływu zakłóceń, kontrola mocy, dobór kanałów, reakcja na
zmiany)
c) obsługa min. 16 BSSID
d) definiowanie polityk bezpieczeństwa (per SSID) z możliwością
rozgłaszania lub ukrycia poszczególnych SSID
e) współpraca z systemami IDS/IPS
f) uwierzytelnianie ruchu kontrolnego 802.11 (z możliwością
wykrywania użytkowników podszywających się pod punkty
dostępowe) – 802.11w
g) obsługa trybów pracy Split-MAC (tunelowanie ruchu klientów
do kontrolera i centralne terminowanie do sieci LAN) oraz
Local-MAC (lokalne terminowanie ruchu do sieci LAN)
h) możliwość pracy po utracie połączenia z kontrolerem, z
lokalnym przełączaniem ruchu do sieci LAN i lokalną
autoryzacją użytkowników (lokalny serwer RADIUS, skrócona
baza danych użytkowników na poziomie AP) – przełączenie nie
może powodować zerwania sesji użytkowników
i) jednoczesna obsługa transferu danych użytkowników
końcowych oraz monitorowania pasma radiowego (wykrywanie
obcych punktów dostępowych i klientów WLAN, wireless IDS)
j) obsługa Dynamic Frequency Selection (DFS) i Transmit Power
Control (TPC) zgodnie z 802.11h
k) obsługa szybkiego roamingu użytkowników pomiędzy punktami
dostępowymi –802.11r
l) obsługa mechanizmów QoS:
- shaping/ ograniczanie ruchu do użytkownika, z możliwością
konfiguracji per użytkownik
- obsługa WMM, TSPEC, U-APSD
m) współpraca z urządzeniami i oprogramowaniem realizującym
usługi lokalizacyjne
n) wbudowany suplikant 802.1X – możliwość uwierzytelnienia AP
do infrastruktury sieciowej
6) możliwość pracy w trybie kratowym (część AP dołączona do sieci
kablowej, pozostałe formujące sieć w oparciu o medium radiowe)
a) komunikacja między punktami dostępowymi bez medium
kablowego,
b) autoryzacja punktów dostępowych w oparciu o certyfikaty
Strona 4 z 6
Znak sprawy: RA-Z-02/2016
załącznik nr 1.16 do SIWZ
X.509, adresy MAC
c) separacja trybu pracy poszczególnych zakresów radiowych
(jeden dedykowany do obsługi klientów, drugi do komunikacji
między punktami dostępowymi) z możliwością konfiguracji
wyjątku
d) automatyczne formowanie sieci kratowej między punktami
dostępowymi (optymalizacja tras z uwzględnieniem parametrów
jakościowych połączenia, minimalizacja interferencji z
możliwością awaryjnego przełączenia na inne pasmo)
e) automatyczne włączanie nowych punktów do sieci (bez
konieczności konfiguracji punktów dostępowych w miejscu
instalacji)
f) automatyczna ochrona kryptograficzna (AES) ruchu pomiędzy
AP
7) możliwość pracy autonomicznej po wymianie oprogramowania –
zmiana trybu pracy musi być bezkosztowa w okresie trwania gwarancji
a) zarządzanie przez HTTPS, SSH, dedykowany port szeregowy,
SNMP
b) obsługa min. 16 SSID
c) współpraca z serwerami autoryzacyjnymi RADIUS
(konfigurowane per SSID)
d) obsługa WPA/WPA2, 802.1x (z możliwością tworzenia lokalnej
bazy użytkowników)
e) obsługa mechanizmów QoS (WMM, priorytetyzacja) i wsparcie
dla VoWLAN
f) obsługa trybów AP, repeater, bridge
g) konfiguracja polityk bezpieczeństwa per SSID
h) możliwość filtrowania ruchu (w oparciu o MAC, adresy i
protokoły IP, porty TCP/UDP)
i) uwierzytelnianie ruchu kontrolnego 802.11
j) obsługa szybkiego roamingu pomiędzy punktami dostępowymi
k) możliwość eksportu logów z wykorzystaniem SYSLOG
8) zintegrowany moduł analizatora widma częstotliwościowego (dotyczy
zakresów 2.4GHz i 5GHz):
a) dokładność analizy (kwant próbkowania) max. 200 kHz
b) zakres częstotliwościowy zgodny z zakresem pracy modułów
radiowych
c) automatyczne wykrywanie i klasyfikacja źródeł interferencji
(bluetooth, DECT, urządzenia mikrofalowe, urządzenia
transmisji audio wideo, urządzenia zakłócające itp.)
d) możliwość wizualizacji wyników analizy na stacji roboczej
klasy PC (FFT, gęstość widma, spektrogram, zajętość kanałów,
poziom mocy sygnałów) w czasie rzeczywistym
e) współpraca z mechanizmami optymalizacji wykorzystania
pasma radiowego
9) interfejs Gigabit Ethernet (10/100/1000)
10) interfejs konsoli
11) zróżnicowane możliwości zasilania:
Strona 5 z 6
Znak sprawy: RA-Z-02/2016
załącznik nr 1.16 do SIWZ
a) zasilacz sieciowy 230V AC
b) zasilanie PoE+ (802.3at) w sposób zapewniający pełną
wydajność
c) zasilanie PoE (802.3af) w sposób automatycznie redukujący
układ antenowy do wartości 3x3 (możliwe, gdy punkt
dostępowy nie jest wyposażony w dodatkowy dedykowany
moduł radiowy)
12) anteny zintegrowane o zysku min. 4dBi dla pasma 2,4 GHz oraz zysku
min. 4 dBi dla pasma 5 GHz
13) obudowa przystosowana do warunków pracy w pomieszczeniach
biurowych (5 – 35oC), o niskim profilu (nie więcej niż 6 cm)
14) diodowa sygnalizacja stanu urządzenia z możliwością deaktywacji
15) zgodność z dyrektywą 1999/5/EC i 93/42/ECC
16) certyfikacja WiFi Alliance 802.11a/b/g/n/Ac
17) musi współpracować z posiadanym przez Zamawiającego kontrolerem
sieci bezprzewodowych (Cisco 5500 Series Wireless LAN Controller,
AIR-CT5508-K9)
Strona 6 z 6