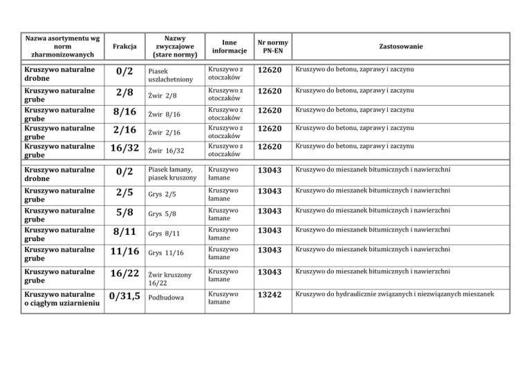
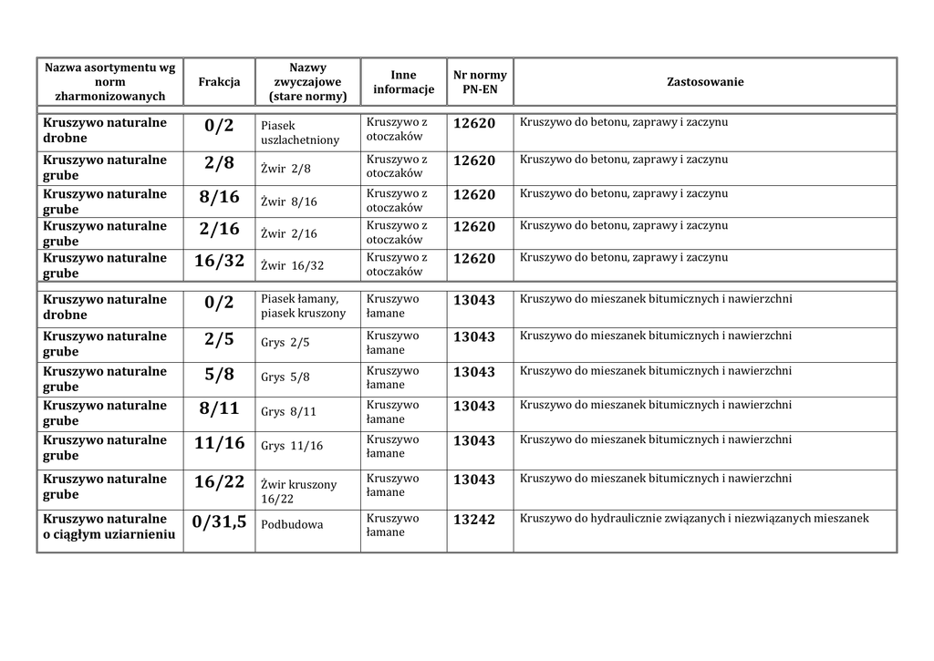
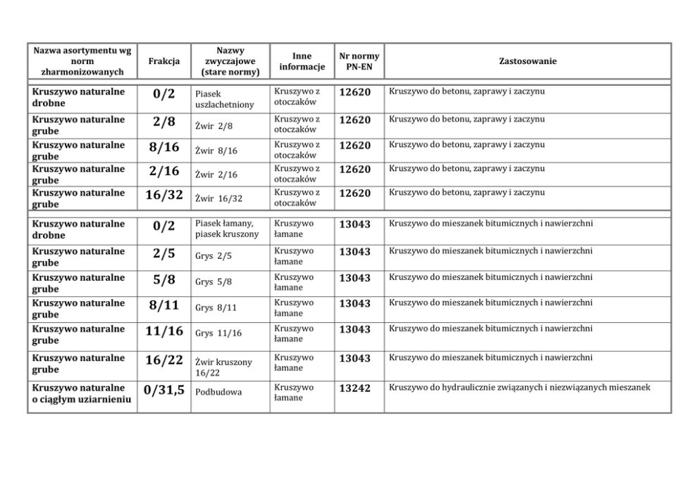
Nazewnictwo kruszyw i obowiązujące normy

Transkrypt

Nazewnictwo kruszyw i obowiązujące normy
Nazwa asortymentu wg
norm
zharmonizowanych
Frakcja
Nazwy
zwyczajowe
(stare normy)
Inne
informacje
Nr normy
PN-EN
Zastosowanie
Piasek
uszlachetniony
Kruszywo z
otoczaków
12620
Kruszywo do betonu, zaprawy i zaczynu
2/8
Żwir 2/8
Kruszywo z
otoczaków
12620
Kruszywo do betonu, zaprawy i zaczynu
8/16
Żwir 8/16
12620
Kruszywo do betonu, zaprawy i zaczynu
2/16
Żwir 2/16
12620
Kruszywo do betonu, zaprawy i zaczynu
16/32
Żwir 16/32
Kruszywo z
otoczaków
Kruszywo z
otoczaków
Kruszywo z
otoczaków
12620
Kruszywo do betonu, zaprawy i zaczynu
Kruszywo naturalne
drobne
0/2
Kruszywo naturalne
grube
Kruszywo naturalne
grube
Kruszywo naturalne
grube
Kruszywo naturalne
grube
Kruszywo naturalne
drobne
0/2
Piasek łamany,
piasek kruszony
Kruszywo
łamane
13043
Kruszywo do mieszanek bitumicznych i nawierzchni
Kruszywo naturalne
grube
Kruszywo naturalne
grube
Kruszywo naturalne
grube
Kruszywo naturalne
grube
2/5
Grys 2/5
Kruszywo
łamane
13043
Kruszywo do mieszanek bitumicznych i nawierzchni
5/8
Grys 5/8
Kruszywo
łamane
13043
Kruszywo do mieszanek bitumicznych i nawierzchni
8/11
Grys 8/11
Kruszywo
łamane
13043
Kruszywo do mieszanek bitumicznych i nawierzchni
11/16
Grys 11/16
Kruszywo
łamane
13043
Kruszywo do mieszanek bitumicznych i nawierzchni
Kruszywo
łamane
13043
Kruszywo do mieszanek bitumicznych i nawierzchni
Kruszywo
łamane
13242
Kruszywo do hydraulicznie związanych i niezwiązanych mieszanek
Kruszywo naturalne
grube
16/22
Kruszywo naturalne
o ciągłym uziarnieniu
0/31,5
Żwir kruszony
16/22
Podbudowa