Sprzęt do kasacji 2010

Transkrypt

Sprzęt do kasacji 2010
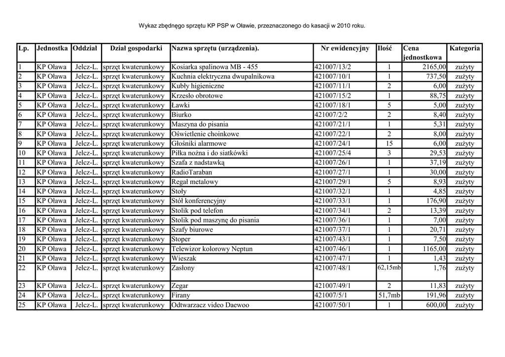
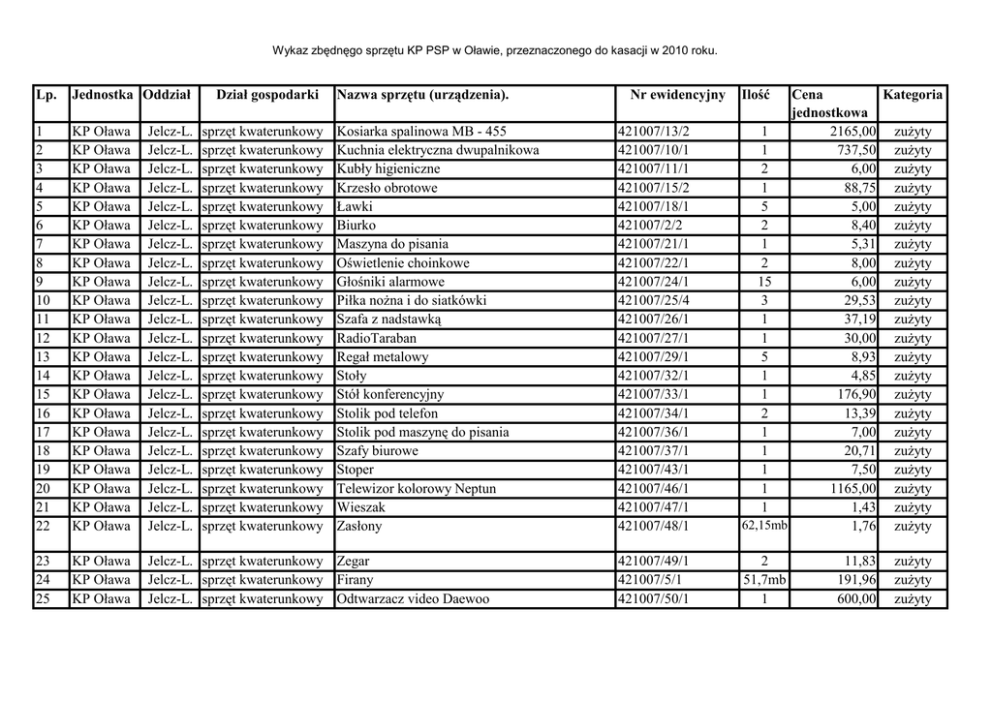
Wykaz zbędnęgo sprzętu KP PSP w Oławie, przeznaczonego do kasacji w 2010 roku.
Lp.
Jednostka Oddział
1
2
3
4
5
6
7
8
9
10
11
12
13
14
15
16
17
18
19
20
21
22
KP Oława
KP Oława
KP Oława
KP Oława
KP Oława
KP Oława
KP Oława
KP Oława
KP Oława
KP Oława
KP Oława
KP Oława
KP Oława
KP Oława
KP Oława
KP Oława
KP Oława
KP Oława
KP Oława
KP Oława
KP Oława
KP Oława
Jelcz-L.
Jelcz-L.
Jelcz-L.
Jelcz-L.
Jelcz-L.
Jelcz-L.
Jelcz-L.
Jelcz-L.
Jelcz-L.
Jelcz-L.
Jelcz-L.
Jelcz-L.
Jelcz-L.
Jelcz-L.
Jelcz-L.
Jelcz-L.
Jelcz-L.
Jelcz-L.
Jelcz-L.
Jelcz-L.
Jelcz-L.
Jelcz-L.
23
24
25
KP Oława
KP Oława
KP Oława
Jelcz-L. sprzęt kwaterunkowy Zegar
Jelcz-L. sprzęt kwaterunkowy Firany
Jelcz-L. sprzęt kwaterunkowy Odtwarzacz video Daewoo
Dział gospodarki
sprzęt kwaterunkowy
sprzęt kwaterunkowy
sprzęt kwaterunkowy
sprzęt kwaterunkowy
sprzęt kwaterunkowy
sprzęt kwaterunkowy
sprzęt kwaterunkowy
sprzęt kwaterunkowy
sprzęt kwaterunkowy
sprzęt kwaterunkowy
sprzęt kwaterunkowy
sprzęt kwaterunkowy
sprzęt kwaterunkowy
sprzęt kwaterunkowy
sprzęt kwaterunkowy
sprzęt kwaterunkowy
sprzęt kwaterunkowy
sprzęt kwaterunkowy
sprzęt kwaterunkowy
sprzęt kwaterunkowy
sprzęt kwaterunkowy
sprzęt kwaterunkowy
Nazwa sprzętu (urządzenia).
Kosiarka spalinowa MB - 455
Kuchnia elektryczna dwupalnikowa
Kubły higieniczne
Krzesło obrotowe
Ławki
Biurko
Maszyna do pisania
Oświetlenie choinkowe
Głośniki alarmowe
Piłka noŜna i do siatkówki
Szafa z nadstawką
RadioTaraban
Regał metalowy
Stoły
Stół konferencyjny
Stolik pod telefon
Stolik pod maszynę do pisania
Szafy biurowe
Stoper
Telewizor kolorowy Neptun
Wieszak
Zasłony
Nr ewidencyjny
Ilość
421007/13/2
421007/10/1
421007/11/1
421007/15/2
421007/18/1
421007/2/2
421007/21/1
421007/22/1
421007/24/1
421007/25/4
421007/26/1
421007/27/1
421007/29/1
421007/32/1
421007/33/1
421007/34/1
421007/36/1
421007/37/1
421007/43/1
421007/46/1
421007/47/1
421007/48/1
Cena
Kategoria
jednostkowa
1
2165,00 zuŜyty
1
737,50 zuŜyty
2
6,00 zuŜyty
1
88,75 zuŜyty
5
5,00 zuŜyty
2
8,40 zuŜyty
1
5,31 zuŜyty
2
8,00 zuŜyty
15
6,00 zuŜyty
3
29,53 zuŜyty
1
37,19 zuŜyty
1
30,00 zuŜyty
5
8,93 zuŜyty
1
4,85 zuŜyty
1
176,90 zuŜyty
2
13,39 zuŜyty
1
7,00 zuŜyty
1
20,71 zuŜyty
1
7,50 zuŜyty
1
1165,00 zuŜyty
1
1,43 zuŜyty
62,15mb
1,76 zuŜyty
421007/49/1
421007/5/1
421007/50/1
2
51,7mb
1
11,83
191,96
600,00
zuŜyty
zuŜyty
zuŜyty
Wykaz zbędnęgo sprzętu KP PSP w Oławie, przeznaczonego do kasacji w 2010 roku.
26
27
KP Oława
KP Oława
Jelcz-L. sprzęt kwaterunkowy Regał biurowy
Jelcz-L. sprzęt kwaterunkowy Wykładzina dywanowa
421007/51/1
421007/52/3
28
29
30
31
32
33
34
35
36
37
38
39
40
41
42
43
44
45
46
47
48
49
50
51
52
53
KP Oława
KP Oława
KP Oława
KP Oława
KP Oława
KP Oława
KP Oława
KP Oława
KP Oława
KP Oława
KP Oława
KP Oława
KP Oława
KP Oława
KP Oława
KP Oława
KP Oława
KP Oława
KP Oława
KP Oława
KP Oława
KP Oława
KP Oława
KP Oława
KP Oława
KP Oława
Jelcz-L.
Jelcz-L.
Jelcz-L.
Jelcz-L.
Jelcz-L.
Jelcz-L.
Jelcz-L.
Jelcz-L.
Jelcz-L.
Jelcz-L.
Jelcz-L.
Jelcz-L.
Jelcz-L.
Jelcz-L.
Jelcz-L.
Jelcz-L.
Jelcz-L.
Jelcz-L.
Jelcz-L.
Jelcz-L.
Jelcz-L.
Jelcz-L.
Jelcz-L.
Jelcz-L.
Jelcz-L.
Jelcz-L.
421007/53/1
421007/55/1
421007/56/1
421007/58/1
421007/59/1
421007/7/1
421007/76/1
421007/8/2
421007/9/1
421007/91/1
421007/92/1
421008/1/2
421008/11/1
421008/13/1
421008/16/1
421008/16/2
421008/16/3
421008/18/1
421008/2/1
421008/2/1
421008/25/1
421008/4/1
421008/8/1
421008/9/1
421010/1/1
421010/39/1
sprzęt kwaterunkowy
sprzęt kwaterunkowy
sprzęt kwaterunkowy
sprzęt kwaterunkowy
sprzęt kwaterunkowy
sprzęt kwaterunkowy
sprzęt kwaterunkowy
sprzęt kwaterunkowy
sprzęt kwaterunkowy
sprzęt kwaterunkowy
sprzęt kwaterunkowy
sprzęt łączności
sprzęt łączności
sprzęt łączności
sprzęt łączności
sprzęt łączności
sprzęt łączności
sprzęt łączności
sprzęt łączności
sprzęt łączności
sprzęt łączności
sprzęt łączności
sprzęt łączności
sprzęt łączności
transport
transport
Zestaw do odbioru TV -SAT
Siatka do siatkówki
Siatka do tenisa ziemnego
Kosiarka trawnikpowa TD 534 Centra
PrzedłuŜacz PS-470 - 5m
Taczka gospodarcza
Fotel obrotowy
Krzesło ISO
Kalkulator
Kosz metalowy
NoŜyce do Ŝywopłotu
Aparat telefoniczny
Telefon systemowy
Telefon bezprzewodowy Panasonic
Telefon komórkowy 3510
Telefon komórkowy Nokia 5140
Telefon komórkowy Sony Ericsson K-750
Mikrofonogłośnik do radiostacji GP- 300
Bateria do radiotelefonów MT -2100
Bateria do radiotelefonów GP -300
Pamięć Flashdrive 1GB
Ładowarka Philips
Radiotelefon Motorola MT-2100
Manipulator i urządzenie dyspozytorskie
Apteczka sanitarna
Latarka Vulcan 12V DC
2
36m
1
1
1
1
1
1
1
3
2
1
1
2
1
1
1
1
1
2
1
6
1
1
1
1
1
2
2
30,00
25,96
zuŜyty
zuŜyty
450,00
76,00
175,00
1299,00
17,93
152,00
463,60
60,90
64,15
0,00
22,70
6,81
512,00
299,00
1,22
1,22
1,22
220,00
261,79
170,00
95,58
38,95
2423,99
366,29
1,70
494,36
zuŜyty
zuŜyty
zuŜyty
zuŜyty
zuŜyty
zuŜyty
zuŜyty
zuŜyty
zuŜyty
zuŜyty
zuŜyty
zuŜyty
zuŜyty
zuŜyty
zuŜyty
zuŜyty
zuŜyty
zuŜyty
zuŜyty
zuŜyty
zuŜyty
zuŜyty
zuŜyty
zuŜyty
zuŜyty
zuŜyty
Wykaz zbędnęgo sprzętu KP PSP w Oławie, przeznaczonego do kasacji w 2010 roku.
54
55
KP Oława
KP Oława
56
KP Oława
57
KP Oława
58
KP Oława
59
KP Oława
60
KP Oława
61
KP Oława
62
KP Oława
63
KP Oława
64
KP Oława
65
KP Oława
66
KP Oława
67
KP Oława
Jelcz-L. transport
Jelcz-L. uzbrojenie i technika
specjalna
Jelcz-L. uzbrojenie i technika
specjalna
Jelcz-L. uzbrojenie i technika
specjalna
Jelcz-L. uzbrojenie i technika
specjalna
Jelcz-L. uzbrojenie i technika
specjalna
Jelcz-L. uzbrojenie i technika
specjalna
Jelcz-L. uzbrojenie i technika
specjalna
Jelcz-L. uzbrojenie i technika
specjalna
Jelcz-L. uzbrojenie i technika
specjalna
Jelcz-L. uzbrojenie i technika
specjalna
Jelcz-L. uzbrojenie i technika
specjalna
Jelcz-L. uzbrojenie i technika
specjalna
Jelcz-L. uzbrojenie i technika
specjalna
Drabina słupkowa
Gaśnica proszkowa GP-6x
421010/A/7/1
421011/A/11/1
1
5
160,00
50,04
zuŜyty
zuŜyty
Gaśnica proszkowa GP-2x
421011/A/11/1
3
58,00
zuŜyty
Gaśnica proszkowa GP-1z
421011/A/11/1
1
30,00
zuŜyty
Głowica mgłowa
421011/A/12/1
2
8,73
zuŜyty
Klucz do hydrantów
421011/A/14/2
6
1,60
zuŜyty
Lina ratownicza
421011/A/19/1
5
151,01
zuŜyty
Pilarka spalinowa Husqwarna 55 nr 7481811
421011/A/20/1
1
1442,94
zuŜyty
Nosze sanitarne drewniane
421011/A/21/1
2
161,55
zuŜyty
Prądownica wodna PW-52
421011/A/23/2
2
43,00
zuŜyty
Prądownica pistoletowa PW-52
421011/A/24/1
1
13,65
zuŜyty
Prądownica wodna PW-75
421011/A/25/1
3
40,00
zuŜyty
Przełącznik 52/75
421011/A/26/3
4
10,00
zuŜyty
Prądownica pianowa PP-4/15
421011/A/28/1
5
33,00
zuŜyty
Wykaz zbędnęgo sprzętu KP PSP w Oławie, przeznaczonego do kasacji w 2010 roku.
68
KP Oława
69
KP Oława
70
KP Oława
71
KP Oława
72
KP Oława
73
KP Oława
74
KP Oława
75
KP Oława
76
KP Oława
77
KP Oława
78
KP Oława
79
KP Oława
80
KP Oława
81
KP Oława
Jelcz-L. uzbrojenie i technika
specjalna
Jelcz-L. uzbrojenie i technika
specjalna
Jelcz-L. uzbrojenie i technika
specjalna
Jelcz-L. uzbrojenie i technika
specjalna
Jelcz-L. uzbrojenie i technika
specjalna
Jelcz-L. uzbrojenie i technika
specjalna
Jelcz-L. uzbrojenie i technika
specjalna
Jelcz-L. uzbrojenie i technika
specjalna
Jelcz-L. uzbrojenie i technika
specjalna
Jelcz-L. uzbrojenie i technika
specjalna
Jelcz-L. uzbrojenie i technika
specjalna
Jelcz-L. uzbrojenie i technika
specjalna
Jelcz-L. uzbrojenie i technika
specjalna
Jelcz-L. uzbrojenie i technika
specjalna
Bosak lekki
421011/A/3/1
2
1,82
zuŜyty
Bosak cięŜki
421011/A/3/1
2
1,82
zuŜyty
PrzedłuŜacz
421011/A/30/1
5
12,05
zuŜyty
Smok ssawny
421011/A/32/1
2
1,15
zuŜyty
Ubrania śaro-ochronne
421011/A/33/1
2
6000,00
zuŜyty
Wytwornice pianowe
421011/A/36/1
9
15,02
zuŜyty
Piła poprzeczna
421011/A/39/1
2
29,41
zuŜyty
Łom
421011/A/43/1
1
30,00
zuŜyty
Motopompa Polonia M8/8 nr 42754
421011/A/46/1
1
276,87
zuŜyty
Drabina nasadkowa 4-przęsłowa
421011/A/5/1
1
2,16
zuŜyty
Motopompa Albin 900 nr 4383
421011/A/50/1
1
4000,00
zuŜyty
Reflektor pogorzeliskowy
421011/A/53/1
3
84,00
zuŜyty
SpręŜarka powietrzna spalinowa A3HW1-32170
421011/A/55/1
1
32,80
zuŜyty
Szpadel saperski
421011/A/56/1
2
20,00
zuŜyty
Wykaz zbędnęgo sprzętu KP PSP w Oławie, przeznaczonego do kasacji w 2010 roku.
82
KP Oława
83
KP Oława
84
KP Oława
85
KP Oława
86
KP Oława
87
KP Oława
88
KP Oława
89
KP Oława
90
KP Oława
91
KP Oława
92
KP Oława
93
KP Oława
94
KP Oława
95
KP Oława
Jelcz-L. uzbrojenie i technika
specjalna
Jelcz-L. uzbrojenie i technika
specjalna
Jelcz-L. uzbrojenie i technika
specjalna
Jelcz-L. uzbrojenie i technika
specjalna
Jelcz-L. uzbrojenie i technika
specjalna
Jelcz-L. uzbrojenie i technika
specjalna
Jelcz-L. uzbrojenie i technika
specjalna
Jelcz-L. uzbrojenie i technika
specjalna
Jelcz-L. uzbrojenie i technika
specjalna
Jelcz-L. uzbrojenie i technika
specjalna
Jelcz-L. uzbrojenie i technika
specjalna
Jelcz-L. uzbrojenie i technika
specjalna
Jelcz-L. uzbrojenie i technika
specjalna
Jelcz-L. uzbrojenie i technika
specjalna
Stojak do reflektora
421011/A/60/1
2
15,00
zuŜyty
Sygnalizator bezruchu
421011/A/61/1
5
271,62
zuŜyty
Topór
421011/A/62/1
2
12,50
zuŜyty
Torba węŜowego
421011/A/63/1
1
9,00
zuŜyty
WąŜ tłoczny W-52
421011/A/66/2
25
111,22
zuŜyty
WąŜ tłoczny W-75
421011/A/67/1
14
76,75
zuŜyty
WęŜyk do zasysacza
421011/A/68/1
3
11,00
zuŜyty
Pilarka spalinowa Dolpima PS - 280
421011/A/74/5
1
625,00
zuŜyty
Gaśnica halonowa
421011/A/8/1
2
10,05
zuŜyty
Lampa nahełmna CN-12
421011/A/80/1
2
508,00
zuŜyty
Magnez ręczny L - 53 PCV
421011/A/81/1
1
216,00
zuŜyty
Maska PF
421011/A/82/1
1
495,00
zuŜyty
Szelki bezpieczeństwa Florian
421011/A/83/1
4
249,00
zuŜyty
Tłumica ze sztylem
421011/A/89/1
6
40,00
zuŜyty
Wykaz zbędnęgo sprzętu KP PSP w Oławie, przeznaczonego do kasacji w 2010 roku.
96
KP Oława
97
KP Oława
98
KP Oława
99
KP Oława
100
KP Oława
101
KP Oława
102
KP Oława
103
KP Oława
104
KP Oława
105
KP Oława
106
KP Oława
107
KP Oława
108
KP Oława
109
KP Oława
Jelcz-L. uzbrojenie i technika
specjalna
Jelcz-L. uzbrojenie i technika
specjalna
Jelcz-L. uzbrojenie i technika
specjalna
Jelcz-L. uzbrojenie i technika
specjalna
Jelcz-L. uzbrojenie i technika
specjalna
Jelcz-L. uzbrojenie i technika
specjalna
Jelcz-L. uzbrojenie i technika
specjalna
Jelcz-L. uzbrojenie i technika
specjalna
Jelcz-L. uzbrojenie i technika
specjalna
Jelcz-L. uzbrojenie i technika
specjalna
Jelcz-L. uzbrojenie i technika
specjalna
Jelcz-L. uzbrojenie i technika
specjalna
Jelcz-L. uzbrojenie i technika
specjalna
Jelcz-L. uzbrojenie i technika
specjalna
Gaśnica śniegowa GS-5x
421011/A/9/1
8
15,00
zuŜyty
Flansza do ZK-110
421011/A/94/1
1
100,19
zuŜyty
Tłumica ze stali czarnej
421011/A/96/1
1
35,00
zuŜyty
Kombinezon pszczelarski
421011/A/97/1
1
320,00
zuŜyty
WąŜ tłoczny W-110
421011/A/97/1
8
375,06
zuŜyty
Apteczka sanitarna
421011/B/1/1
1
1,70
zuŜyty
Klucz nastawny
421011/B/10/1
1
17,35
zuŜyty
Kołnierz ortopedyczny dziecięcy
421011/B/105/1
1
105,29
zuŜyty
Kołnierz ortopedyczny dla dorosłych
421011/B/106/1
1
90,95
zuŜyty
Lutlampa
421011/B/11/1
1
134,48
zuŜyty
Komplet ochronny
421011/B/110/1
1 kpl
997,33
zuŜyty
Pakiet ochrony osobistej
421011/B/111/1
5
29,96
zuŜyty
Prostownik do ładowania lamp
421011/B/13/1
1
70,00
zuŜyty
Miara zwijana
421011/B/16/1
1
14,25
zuŜyty
Wykaz zbędnęgo sprzętu KP PSP w Oławie, przeznaczonego do kasacji w 2010 roku.
110
KP Oława
111
KP Oława
112
KP Oława
113
KP Oława
114
KP Oława
115
KP Oława
116
KP Oława
117
KP Oława
118
KP Oława
119
KP Oława
120
KP Oława
121
KP Oława
122
KP Oława
123
KP Oława
Jelcz-L. uzbrojenie i technika
specjalna
Jelcz-L. uzbrojenie i technika
specjalna
Jelcz-L. uzbrojenie i technika
specjalna
Jelcz-L. uzbrojenie i technika
specjalna
Jelcz-L. uzbrojenie i technika
specjalna
Jelcz-L. uzbrojenie i technika
specjalna
Jelcz-L. uzbrojenie i technika
specjalna
Jelcz-L. uzbrojenie i technika
specjalna
Jelcz-L. uzbrojenie i technika
specjalna
Jelcz-L. uzbrojenie i technika
specjalna
Jelcz-L. uzbrojenie i technika
specjalna
Jelcz-L. uzbrojenie i technika
specjalna
Jelcz-L. uzbrojenie i technika
specjalna
Jelcz-L. uzbrojenie i technika
specjalna
NaŜynki i gwintowniki
421011/B/17/1
1
86,29
zuŜyty
Pompa skrzydełkowa
421011/B/19/1
1
101,88
zuŜyty
Podnośnik samochodowy
421011/B/20/1
1
0,52
zuŜyty
Śrubokręty
421011/B/23/1
1
21,01
zuŜyty
Smarownica
421011/B/24/1
1
168,56
zuŜyty
Wózek transportowy
421011/B/29/1
1
20,00
zuŜyty
Kanister 20 l
421011/B/3/2
2
0,43
zuŜyty
Wiertarka elektryczna
421011/B/30/1
1
3,20
zuŜyty
Smarowniczka
421011/B/36/1
1
95,00
zuŜyty
Akumulator 12V 30Ah
421011/B/38/1
1
108,20
zuŜyty
Obcęgi
421011/B/44/1
3
22,00
zuŜyty
Wkrętaki
421011/B/45/1
3
54,94
zuŜyty
Wiertła
421011/B/46/1
3
45,00
zuŜyty
Klucz płaski
421011/B/47/1
12
73,83
zuŜyty
Wykaz zbędnęgo sprzętu KP PSP w Oławie, przeznaczonego do kasacji w 2010 roku.
124
KP Oława
125
KP Oława
126
KP Oława
127
KP Oława
128
KP Oława
129
KP Oława
130
KP Oława
131
KP Oława
132
KP Oława
133
KP Oława
134
KP Oława
135
136
137
KP Oława
KP Oława
KP Oława
Jelcz-L. uzbrojenie i technika
specjalna
Jelcz-L. uzbrojenie i technika
specjalna
Jelcz-L. uzbrojenie i technika
specjalna
Jelcz-L. uzbrojenie i technika
specjalna
Jelcz-L. uzbrojenie i technika
specjalna
Jelcz-L. uzbrojenie i technika
specjalna
Jelcz-L. uzbrojenie i technika
specjalna
Jelcz-L. uzbrojenie i technika
specjalna
Jelcz-L. uzbrojenie i technika
specjalna
Jelcz-L. uzbrojenie i technika
specjalna
Jelcz-L. uzbrojenie i technika
specjalna
Jelcz-L. informatyka
Jelcz-L. informatyka
Jelcz-L. informatyka
Pilnik do metalu
421011/B/48/1
3
30,00
zuŜyty
Szczypce uniwersalne
421011/B/49/1
3
26,62
zuŜyty
Podnośnik hydrauliczny 10 ton
421011/B/5/1
3
90,00
zuŜyty
Klucz płasko - oczkowy
421011/B/50/1
12
36,30
zuŜyty
Klucz płasko - oczkowy wygięty
421011/B/51/1
18
89,78
zuŜyty
Klucz oczkowy odgięty
421011/B/52/1
15
60,58
zuŜyty
Kapelusz pszczelarza
421011/B/53/1
2
24,50
zuŜyty
Elektryczna wiertarka pistoletowa
421011/B/56/1
1
52,22
zuŜyty
Elektryczna szlifierka kątowa
421011/B/56/1
1
52,22
zuŜyty
Klucze imbusowe
421011/B/8/1
1
8,54
zuŜyty
Klucze nasadowe
421011/B/9/1
2
0,35
zuŜyty
Skaner Skanexpres 12000SPSC010
4-49-491-4-2
4-49-491-5-12
4-49-491-5-16
1
1
1
660,00
3025,00
325,00
zuŜyty
zuŜyty
zuŜyty
138
139
140
KP Oława
KP Oława
KP Oława
Jelcz-L. informatyka
Zestaw komputerowy 486/133
Jelcz-L. informatyka
Swich - 8 portów
Oława sprzęt kwaterunkowy Krzesło Tema
4-49-491-9-45
4-49-491-9-49
421007/A/11/1
1
1
9
1777,00
149,80
863,20
zuŜyty
zuŜyty
zuŜyty
Zestaw komputerowy PIII 500 MHz nr. 000040
Drukarka HP - 845C
Wykaz zbędnęgo sprzętu KP PSP w Oławie, przeznaczonego do kasacji w 2010 roku.
141
142
143
144
145
146
147
148
149
150
151
152
153
154
155
KP Oława
KP Oława
KP Oława
KP Oława
KP Oława
KP Oława
KP Oława
KP Oława
KP Oława
KP Oława
KP Oława
KP Oława
KP Oława
KP Oława
KP Oława
Oława
Oława
Oława
Oława
Oława
Oława
Oława
Oława
Oława
Oława
Oława
Oława
Oława
Oława
Oława
sprzęt kwaterunkowy
sprzęt kwaterunkowy
sprzęt kwaterunkowy
sprzęt kwaterunkowy
sprzęt kwaterunkowy
sprzęt kwaterunkowy
sprzęt kwaterunkowy
sprzęt kwaterunkowy
sprzęt kwaterunkowy
sprzęt kwaterunkowy
sprzęt kwaterunkowy
sprzęt kwaterunkowy
sprzęt kwaterunkowy
sprzęt kwaterunkowy
sprzęt kwaterunkowy
Krzesło Obrotowe
Krzesło świetlicowe tapczanowe
Kula do rzutu
Lustro ścienne
Lornetka
ŁóŜko polowe
Namiot 10-osobowy
Czajnik elektryczny SAMBA
Czajnik elektryczny ZELMER 17Z018
Plombownica
Radioodbiornik "Giewont"
Firany
Stół konferencyjny
Siatka maskująca
Wykładzina dywanowa
421007/A/15/1
421007/A/16/1
421007/A/28/1
421007/A/32/1
421007/A/33/1
421007/A/34/1
421007/A/40/1
421007/A/5/3
421007/A/5/7
421007/A/50/1
421007/A/52/1
421007/A/6/1
421007/A/69/1
421007/A/71/1
421007/A/82/1
156
157
158
159
160
161
162
163
164
165
166
167
KP Oława
KP Oława
KP Oława
KP Oława
KP Oława
KP Oława
KP Oława
KP Oława
KP Oława
KP Oława
KP Oława
KP Oława
Oława
Oława
Oława
Oława
Oława
Oława
Oława
Oława
Oława
Oława
Oława
Oława
sprzęt kwaterunkowy
sprzęt kwaterunkowy
sprzęt kwaterunkowy
sprzęt kwaterunkowy
sprzęt kwaterunkowy
sprzęt kwaterunkowy
sprzęt kwaterunkowy
sprzęt kwaterunkowy
sprzęt kwaterunkowy
sprzęt kwaterunkowy
sprzęt kwaterunkowy
sprzęt kwaterunkowy
Niszczarka dok. Kobra S-100
ŁóŜko koszarowe
Stolik pod telefon
Termos 25 l
Wykładzina dywanowa
Lampa biurowa
Stół konferencyjny
Piłka noŜna
Piłka noŜna halowa
Krzesło szare kadet z podłokietnikiem
PrzedłuŜacz 2 mb
PrzedłuŜacz 3 mb
421007/A/94/2
421007/B/13/1
421007/B/14/1
421007/B/2/1
421007/B/37/4
421007/B/38/1
421007/B/49/7
421007/B/5/1
421007/B/5/2
421007/B/8/1
421007/B/84/1
421007/B/84/2
1
16
1
2
1
15
1
1
1
1
3
28 mb
6
3
111,4
mb
1
5
1
1
9
5
1
2
1
2
1
1
0,18
8,27
0,01
1,65
0,25
0,09
27,14
69,00
129,00
0,02
0,28
115,94
122,00
0,55
10,47
zuŜyty
zuŜyty
zuŜyty
zuŜyty
zuŜyty
zuŜyty
zuŜyty
zuŜyty
zuŜyty
zuŜyty
zuŜyty
zuŜyty
zuŜyty
zuŜyty
zuŜyty
622,20
3,80
13,39
436,76
23,00
23,57
164,70
15,60
79,00
120,78
12,54
13,52
zuŜyty
zuŜyty
zuŜyty
zuŜyty
zuŜyty
zuŜyty
zuŜyty
zuŜyty
zuŜyty
zuŜyty
zuŜyty
zuŜyty
Wykaz zbędnęgo sprzętu KP PSP w Oławie, przeznaczonego do kasacji w 2010 roku.
168
169
170
171
172
173
174
175
176
177
178
179
180
181
182
183
184
185
186
187
188
189
190
191
192
193
194
195
KP Oława
KP Oława
KP Oława
KP Oława
KP Oława
KP Oława
KP Oława
KP Oława
KP Oława
KP Oława
KP Oława
KP Oława
KP Oława
KP Oława
KP Oława
KP Oława
KP Oława
KP Oława
KP Oława
KP Oława
KP Oława
KP Oława
KP Oława
KP Oława
KP Oława
KP Oława
KP Oława
KP Oława
Oława
Oława
Oława
Oława
Oława
Oława
Oława
Oława
Oława
Oława
Oława
Oława
Oława
Oława
Oława
Oława
Oława
Oława
Oława
Oława
Oława
Oława
Oława
Oława
Oława
Oława
Oława
Oława
sprzęt łączności
sprzęt łączności
sprzęt łączności
sprzęt łączności
sprzęt łączności
sprzęt łączności
sprzęt łączności
sprzęt łączności
sprzęt łączności
sprzęt łączności
sprzęt łączności
sprzęt łączności
sprzęt łączności
sprzęt łączności
transport
transport
transport
transport
transport
transport
transport
transport
transport
transport
transport
transport
transport
transport
Akumulator do radiotel. Motorola P-110
Telefon komórkowy Nokia 5140i
Telefon komórkowy SE W800i
Telefon komórkowy SE K550i
Telefon komórkowy Nokia 6310
Telefon komórkowy Nokia 3510i
Telefon komórkowy Nokia 3510
Telefon komórkowy Nokia 6610i
Telefon komórkowy Nokia 6820
Telefon komórkowy Sony Ericsson
Telefon komórkowy Nokia 6822
Apatar telefoniczny Eurit 33
Akumulator do radiotel. Motorola GP-340
Aparat telefoniczny Norten 1030
Apteczka samochodowa
Kanister 20 l
Kanister 10 l
Lampa przenośna warsztatowa
Lampa stroboskopowa
Lutownica transformatorowa
NoŜyce dźwigniowe
Podnośnik hydrauliczny
Pistolet do pompowania z manometrem
Prostownik do ładowania akumulatorów
Przyrząd do pomiaru ciśnienia w cylindrze
Przyrząd urządzenie optyczne
Przewód elektryczny 4 Ŝyłowy
Smarownica noŜna
421008/A/19/1
421008/A/20/10
421008/A/20/12
421008/A/20/14
421008/A/20/3
421008/A/20/4
421008/A/20/5
421008/A/20/6
421008/A/20/7
421008/A/20/8
421008/A/20/9
421008/A/22/2
421008/A/29/1
421008/A/3/1
421010/A/1/1
421010/A/10/1
421010/A/11/1
421010/A/15/1
421010/A/16/1
421010/A/17/1
421010/A/22/1
421010/A/23/1
421010/A/27/1
421010/A/28/1
421010/A/29/1
421010/A/30/1
421010/A/31/1
421010/A/34/1
4
3
1
1
1
2
1
1
2
2
1
1
3
1
2
8
2
2
1
1
1
1
1
1
1
1
50 mb
1
230,00
1,22
35,38
1,22
35,38
1,22
1,22
59,78
35,38
1,22
1,22
559,00
200,00
75,00
0,04
0,43
0,05
0,09
1,75
11,60
0,12
0,56
29,00
1,09
0,19
3,19
0,08
50,34
zuŜyty
zuŜyty
zuŜyty
zuŜyty
zuŜyty
zuŜyty
zuŜyty
zuŜyty
zuŜyty
zuŜyty
zuŜyty
zuŜyty
zuŜyty
zuŜyty
zuŜyty
zuŜyty
zuŜyty
zuŜyty
zuŜyty
zuŜyty
zuŜyty
zuŜyty
zuŜyty
zuŜyty
zuŜyty
zuŜyty
zuŜyty
zuŜyty
Wykaz zbędnęgo sprzętu KP PSP w Oławie, przeznaczonego do kasacji w 2010 roku.
196
197
198
199
200
201
202
203
204
205
206
207
208
209
210
211
212
213
214
215
216
217
218
219
KP Oława
KP Oława
KP Oława
KP Oława
KP Oława
KP Oława
KP Oława
KP Oława
KP Oława
KP Oława
KP Oława
KP Oława
KP Oława
KP Oława
KP Oława
KP Oława
KP Oława
KP Oława
KP Oława
KP Oława
KP Oława
KP Oława
KP Oława
KP Oława
220
KP Oława
Oława
Oława
Oława
Oława
Oława
Oława
Oława
Oława
Oława
Oława
Oława
Oława
Oława
Oława
Oława
Oława
Oława
Oława
Oława
Oława
Oława
Oława
Oława
Oława
transport
transport
transport
transport
transport
transport
transport
transport
transport
transport
transport
transport
transport
transport
transport
transport
transport
transport
transport
transport
transport
transport
transport
uzbrojenie i technika
specjalna
Oława uzbrojenie i technika
specjalna
Spawarka elektryczna
Ściągacze duŜe i małe
Suwmiarka
Wiertarka elektryczna pistoletowa
Wyulkanizator elektryczny
Wkrętaki RWWC
Ciągarka szczękowa
Klucz krzyŜowy do kół
Klucz do rur STIHL 350 mm
Komplet kluczy płaskich 6-32 mm
Obcęgi
Wkrętaki
Wiertła
Pilnik do metalu
Szczypce uniwersalne
Klucz płasko oczkowy
Klucz płasko oczkowy wygięty
Klucz oczkowy odgięty
Klucz nasadowy do kół
Klucze nasadowe
Pachołek drogowy z lampą błyskową
Klucze płaskie
Klucze oczkowe
Sygnalizator bezruchu
421010/A/35/1
421010/A/39/1
421010/A/40/1
421010/A/43/1
421010/A/45/1
421010/A/46/1
421010/A/5/1
421010/A/54/1
421010/A/55/1
421010/A/56/1
421010/A/60/1
421010/A/61/1
421010/A/62/1
421010/A/63/1
421010/A/64/1
421010/A/65/1
421010/A/66/1
421010/A/67/1
421010/A/69/1
421010/A/7/1
421010/A/78/1
421010/A/8/2
421010/A/9/1
421011/A/11/1
1
2
1
4
1
2
1
1
1
1
3
3
3
3
4
23
23
15
1
1
1
14
2
1
140,40
14,30
0,15
47,33
0,28
8,78
0,16
12,52
8,50
18,00
7,30
18,31
15,00
10,00
8,99
2,80
4,99
4,04
45,95
23,17
245,03
4,99
21,47
426,60
zuŜyty
zuŜyty
zuŜyty
zuŜyty
zuŜyty
zuŜyty
zuŜyty
zuŜyty
zuŜyty
zuŜyty
zuŜyty
zuŜyty
zuŜyty
zuŜyty
zuŜyty
zuŜyty
zuŜyty
zuŜyty
zuŜyty
zuŜyty
zuŜyty
zuŜyty
zuŜyty
zuŜyty
Drabina przystawna cięŜka
421011/A/15/1
1
2,02
zuŜyty
Wykaz zbędnęgo sprzętu KP PSP w Oławie, przeznaczonego do kasacji w 2010 roku.
221
KP Oława
222
KP Oława
223
KP Oława
224
KP Oława
225
KP Oława
226
KP Oława
227
KP Oława
228
KP Oława
229
KP Oława
230
KP Oława
231
KP Oława
232
KP Oława
233
KP Oława
234
KP Oława
Oława uzbrojenie i technika
specjalna
Oława uzbrojenie i technika
specjalna
Oława uzbrojenie i technika
specjalna
Oława uzbrojenie i technika
specjalna
Oława uzbrojenie i technika
specjalna
Oława uzbrojenie i technika
specjalna
Oława uzbrojenie i technika
specjalna
Oława uzbrojenie i technika
specjalna
Oława uzbrojenie i technika
specjalna
Oława uzbrojenie i technika
specjalna
Oława uzbrojenie i technika
specjalna
Oława uzbrojenie i technika
specjalna
Oława uzbrojenie i technika
specjalna
Oława uzbrojenie i technika
specjalna
Drabina Hakowa
421011/A/16/1
2
2,25
zuŜyty
Klucze do łączników
421011/A/27/1
10
0,03
zuŜyty
Koc gaśniczy
421011/A/28/1
8
1,42
zuŜyty
Kilof
421011/A/31/1
1
0,01
zuŜyty
Lampa górnicza
421011/A/35/1
2
7,00
zuŜyty
Bosak sufitowy
421011/A/4/1
4
0,17
zuŜyty
Motopompa szlamowa Andoria MSDM 395
421011/A/42/1
2
2550,00
zuŜyty
Motopompa Oleo-Mac FS-45-TL
421011/A/45/1
1
3000,00
zuŜyty
Motopompa Albin 900
421011/A/48/1
2
4000,00
zuŜyty
Pływak
421011/A/54/1
2
0,28
zuŜyty
Przełącznik 75/52
421011/A/60/2
4
22,10
zuŜyty
Pilarka spalinowa Stihl 018
421011/A/61/2
1
829,00
zuŜyty
Piła poprzeczna
421011/A/62/1
4
0,10
zuŜyty
Pilarka spalinowa Dolpima PS-280
421011/A/64/1
1
625,00
zuŜyty
Wykaz zbędnęgo sprzętu KP PSP w Oławie, przeznaczonego do kasacji w 2010 roku.
235
KP Oława
236
KP Oława
237
KP Oława
238
KP Oława
239
KP Oława
240
KP Oława
241
KP Oława
242
KP Oława
243
KP Oława
244
KP Oława
245
KP Oława
246
KP Oława
247
KP Oława
248
KP Oława
Oława uzbrojenie i technika
specjalna
Oława uzbrojenie i technika
specjalna
Oława uzbrojenie i technika
specjalna
Oława uzbrojenie i technika
specjalna
Oława uzbrojenie i technika
specjalna
Oława uzbrojenie i technika
specjalna
Oława uzbrojenie i technika
specjalna
Oława uzbrojenie i technika
specjalna
Oława uzbrojenie i technika
specjalna
Oława uzbrojenie i technika
specjalna
Oława uzbrojenie i technika
specjalna
Oława uzbrojenie i technika
specjalna
Oława uzbrojenie i technika
specjalna
Oława uzbrojenie i technika
specjalna
Prądownica pianowa 75 PP8
421011/A/66/1
1
0,02
zuŜyty
Prądownica wodno-pianowa
421011/A/69/1
5
1,09
zuŜyty
Prądownica wodna W-75
421011/A/72/1
4
0,94
zuŜyty
Przyrząd do taśowania węŜy
421011/A/73/1
1
0,01
zuŜyty
Rozdzielacz
421011/A/78/1
4
1,33
zuŜyty
Bosak lekki
421011/A/8/1
1
0,09
zuŜyty
Smok ssawny
421011/A/83/1
6
3,90
zuŜyty
Topór cięŜki
421011/A/88/1
1
0,05
zuŜyty
Bosak cięŜki
421011/A/9/1
2
0,03
zuŜyty
WąŜ tłoczny W-52
421011/A/93/2
30
132,00
zuŜyty
WąŜ tłoczny W-75
421011/A/94/1
28
43,44
zuŜyty
Zbieracz
421011/B/13/1
7
0,31
zuŜyty
Kamizelka odblaskowa
421011/B/17/1
11
0,03
zuŜyty
Ubranie Ŝaroodporne
421011/B/18/1
2
3000,00
zuŜyty
Wykaz zbędnęgo sprzętu KP PSP w Oławie, przeznaczonego do kasacji w 2010 roku.
249
KP Oława
250
KP Oława
251
KP Oława
252
KP Oława
253
KP Oława
254
KP Oława
255
KP Oława
256
KP Oława
257
KP Oława
258
KP Oława
259
KP Oława
260
KP Oława
261
262
263
KP Oława
KP Oława
KP Oława
Oława uzbrojenie i technika
specjalna
Oława uzbrojenie i technika
specjalna
Oława uzbrojenie i technika
specjalna
Oława uzbrojenie i technika
specjalna
Oława uzbrojenie i technika
specjalna
Oława uzbrojenie i technika
specjalna
Oława uzbrojenie i technika
specjalna
Oława uzbrojenie i technika
specjalna
Oława uzbrojenie i technika
specjalna
Oława uzbrojenie i technika
specjalna
Oława uzbrojenie i technika
specjalna
Oława uzbrojenie i technika
specjalna
Oława informatyka
Oława informatyka
Oława informatyka
Kurtyna wodna
421011/B/19/1
1
180,00
zuŜyty
Wór ratowniczy
421011/B/2/1
1
5,20
zuŜyty
Magnez ręczny L-53
421011/B/25/1
1
216,00
zuŜyty
Szelki bezpieczeństwa
421011/B/28/1
4
249,00
zuŜyty
Pudełko na maskę
421011/B/32/1
5
108,00
zuŜyty
Pudełko na maskę
421011/B/32/2
2
84,00
zuŜyty
Drabina wolnostojąca 2m
421011/B/39/1
1
165,00
zuŜyty
Tłumica ze stali czarnej
421011/B/44/2
3
21,40
zuŜyty
DrąŜek do bosaków
421011/B/49/1
4
12,45
zuŜyty
Wytwornica pianowa WP-2/150
421011/B/5/1
1
0,26
zuŜyty
Pokrowiec na butle
421011/B/55/1
5
58,85
zuŜyty
Wiadro brezentowe
421011/B/6/1
5
0,08
zuŜyty
Drukarka HP-845
Drukarka HP-3325
Drukarka HP-690
4-49-491-5-13
4-49-491-6-20
4-49-491-7-35
1
1
1
315,00
250,00
587,00
zuŜyty
zuŜyty
zuŜyty