caller id-150

Transkrypt

caller id-150
CALLER ID-150
Identyfikator numeru abonenta dzwoniącego
1. Funkcje identyfikatora
Identyfikacja numeru abonenta w systemie DTMF/ FSK
201 komórek pamięciowych
14 - cyfrowy wyświetlacz
Ustawianie kontrastu wyświetlacza
Programowanie daty i czasu
Przeglądanie numerów zapisanych w pamięci identyfikatora
Wyświetlanie daty i czasu identyfikowanego numeru
Programowanie lokalnego numeru kierunkowego
Oddzwanianie z listy numerów
Kasowanie wszystkich lub dowolnego numeru telefonicznego
2.
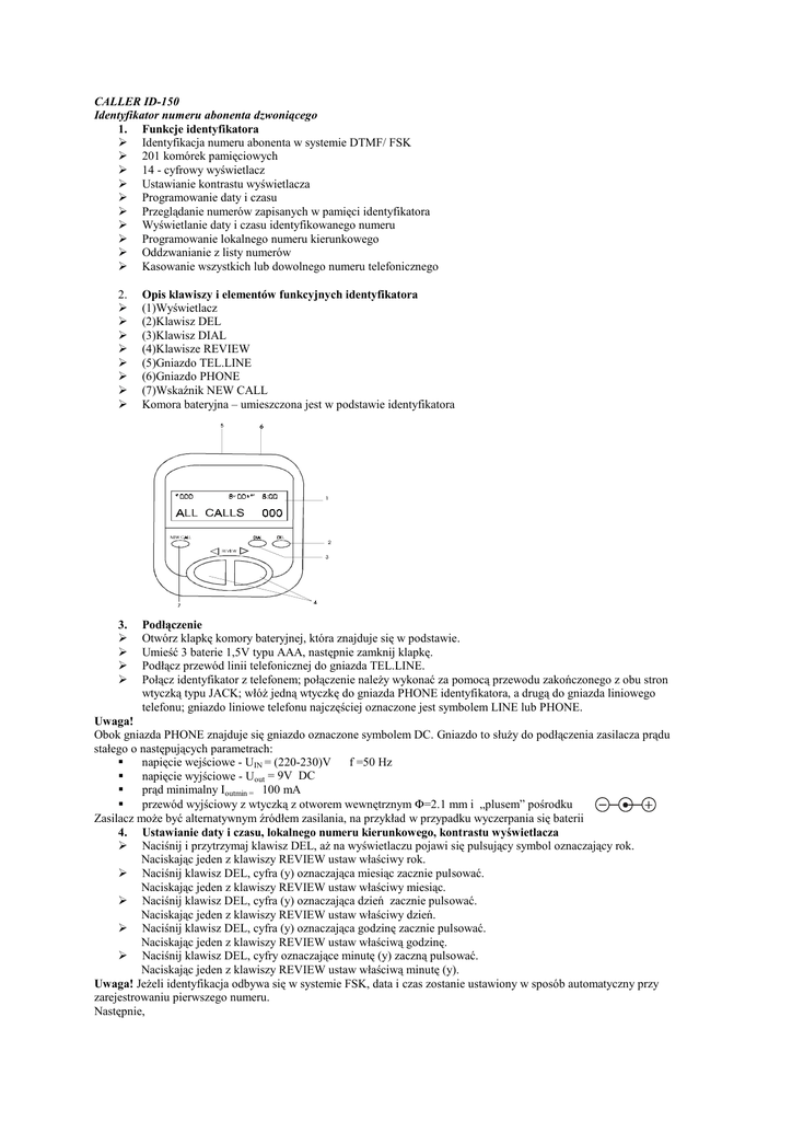
Opis klawiszy i elementów funkcyjnych identyfikatora
(1)Wyświetlacz
(2)Klawisz DEL
(3)Klawisz DIAL
(4)Klawisze REVIEW
(5)Gniazdo TEL.LINE
(6)Gniazdo PHONE
(7)Wskaźnik NEW CALL
Komora bateryjna – umieszczona jest w podstawie identyfikatora
3.
Podłączenie
Otwórz klapkę komory bateryjnej, która znajduje się w podstawie.
Umieść 3 baterie 1,5V typu AAA, następnie zamknij klapkę.
Podłącz przewód linii telefonicznej do gniazda TEL.LINE.
Połącz identyfikator z telefonem; połączenie należy wykonać za pomocą przewodu zakończonego z obu stron
wtyczką typu JACK; włóż jedną wtyczkę do gniazda PHONE identyfikatora, a drugą do gniazda liniowego
telefonu; gniazdo liniowe telefonu najczęściej oznaczone jest symbolem LINE lub PHONE.
Uwaga!
Obok gniazda PHONE znajduje się gniazdo oznaczone symbolem DC. Gniazdo to służy do podłączenia zasilacza prądu
stałego o następujących parametrach:
f =50 Hz
napięcie wejściowe - UIN = (220-230)V
napięcie wyjściowe - Uout = 9V DC
prąd minimalny Ioutmin = 100 mA
przewód wyjściowy z wtyczką z otworem wewnętrznym Φ=2.1 mm i „plusem” pośrodku
Zasilacz może być alternatywnym źródłem zasilania, na przykład w przypadku wyczerpania się baterii
4. Ustawianie daty i czasu, lokalnego numeru kierunkowego, kontrastu wyświetlacza
Naciśnij i przytrzymaj klawisz DEL, aż na wyświetlaczu pojawi się pulsujący symbol oznaczający rok.
Naciskając jeden z klawiszy REVIEW ustaw właściwy rok.
Naciśnij klawisz DEL, cyfra (y) oznaczająca miesiąc zacznie pulsować.
Naciskając jeden z klawiszy REVIEW ustaw właściwy miesiąc.
Naciśnij klawisz DEL, cyfra (y) oznaczająca dzień zacznie pulsować.
Naciskając jeden z klawiszy REVIEW ustaw właściwy dzień.
Naciśnij klawisz DEL, cyfra (y) oznaczająca godzinę zacznie pulsować.
Naciskając jeden z klawiszy REVIEW ustaw właściwą godzinę.
Naciśnij klawisz DEL, cyfry oznaczające minutę (y) zaczną pulsować.
Naciskając jeden z klawiszy REVIEW ustaw właściwą minutę (y).
Uwaga! Jeżeli identyfikacja odbywa się w systemie FSK, data i czas zostanie ustawiony w sposób automatyczny przy
zarejestrowaniu pierwszego numeru.
Następnie,
naciśnij klawisz DEL, aby zatwierdzić wpisaną datę i czas oraz przejść do ustawiania lokalnego numeru
kierunkowego. Lokalny numer kierunkowy jest to numer kierunkowy przypisany strefie numeracyjnej
wydzielonego obszaru kraju np.: dla strefy Warszawskiej – 22, dla strefy Kieleckiej – 41itd.
Numer główny abonenta dzwoniącego zapisywany jest w pamięci identyfikatora wraz z numerem kierunkowym,
niezależnie czy połączenie pochodzi z tej samej, czy też z innej strefy numeracyjnej. Dodatkowo identyfikowany
numer zawiera 0, czyli tzw. prefiks (kod dostępu do połączeń międzymiastowych).
Wpisanie do pamięci aparatu lokalnego numeru kierunkowego poprzedzonego prefiksem 0 umożliwi:
usunięcie tego lokalnego numeru kierunkowego ze wszystkich identyfikowanych numerów rozpoczynających się
tym numerem;
zarejestrowanie w pamięci identyfikatora wyłącznie głównego numeru abonenta dzwoniącego, co umożliwi
wykonywanie połączeń w tej samej strefie numeracyjnej- połączeń lokalnych.
Dlatego, aby wykonywać połączenia w tej samej strefie numeracyjnej z wykorzystaniem numerów zapisanych w
pamięci identyfikatora, najlepiej jest wpisać lokalny numer kierunkowy „swojej strefy numeracyjnej” wraz z
prefiksem 0 zaraz po pierwszym podłączeniu.
Po naciśnięciu klawisza DEL, na wyświetlaczu pojawi się symbol LOCAL - - - - -. W miejsce każdej kreski
możesz wpisać jedną cyfrę lokalnego numeru, tzn., że numer może liczyć maksymalnie 5 cyfr. Pierwsza kreska
będzie pulsować.
Naciskając jeden z klawiszy REVIEW wprowadź prefiks 0.
Naciśnij klawisz DEL, druga kreska zacznie pulsować.
Naciskając jeden z klawiszy REVIEW wprowadź pierwszą cyfrę lokalnego numeru kierunkowego. Naciskając
klawisz DEL i klawisze REVIEW wprowadź pozostałe cyfry. Jeżeli numer liczy mniej niż 5 cyfr, należy pominąć
pozostałe kreski naciskając klawisz DEL, aż na wyświetlaczu pojawi się symbol Lcd con 2. Pojawienie się tego
symbolu oznacza możliwość ustawienia kontrastu wyświetlacza.
Następnie,
naciskając jeden z klawiszy REVIEW ustaw odpowiedni kontrast wyświetlacza.
Regulacja jest pięciostopniowa (0-4).
Naciśnij klawisz DEL, aby zatwierdzić ustawienie i powrócić do trybu czuwanie.
5. Przegląd numerów zapisanych w pamięci identyfikatora.
Identyfikator może zapisać w pamięci maksymalnie 201 numerów. Po zidentyfikowaniu, nowy numer jest wyświetlany przez
kilka sekund, a następnie znika. Identyfikator powraca do trybu czuwanie. Urządzenie, o zapisaniu nowego numeru (nowych
numerów) informuje w następujący sposób:
wskaźnik NEW CALL zaczyna pulsować,
w lewym, górnym rogu wyświetlacza licznik nowych numerów pokazuje liczbę zarejestrowanych nowych
numerów,
obok licznika pojawi się symbol NOWY.
Do przeglądania numerów zapisanych w pamięci służą dwa klawisze REVIEW. Po naciśnięciu jednego z klawiszy REVIEW
numer zostanie wyświetlony wraz z datą i czasem rejestracji. Numer będzie wyświetlany przez kilka sekund, po czym
identyfikator wróci do trybu czuwanie. W trybie czuwanie identyfikator pokazuje liczbę wszystkich zarejestrowanych
numerów (starych i nowych), np. All CALLS 201, gdzie 201 oznacza liczbę numerów. Identyfikator wyświetla również
komunikaty (symbole) określające charakter (status) identyfikowanego numeru:
POWTÓRZONY
symbol POWTÓRZONY pokazany zostanie, kiedy identyfikator ponownie otrzyma numer, który jest już wpisany do
pamięci; identyfikator nie zapisuje w pamięci tego samego numeru dwa razy,
ZASTRZEŻONY
symbol ten oznacza, że numer jest zastrzeżony i nie może być wyświetlony i wpisany do pamięci identyfikatora,
NIEZNANY
symbol NIEZNANY informuje, że numer jest nieznany z przyczyn technicznych związanych z identyfikacją przysyłaną
przez centralę,
BŁĄD
symbol BŁĄD pojawi się na wyświetlaczu, kiedy wystąpi błąd w czasie identyfikowania numeru.
6. Kasowanie numerów zapisanych w pamięci identyfikatora.
Kasowanie dowolnego, wybranego numeru.
Naciskając jeden z klawiszy REVIEW wybierz numer, który chcesz wykasować.
Naciśnij klawisz DEL, na wyświetlaczu pojawi się symbol ErASEd. Po kilku sekundach identyfikator powróci do
trybu czuwanie, numer zostanie wykasowany.
Kasowanie wszystkich numerów zapisanych w pamięci.
Naciśnij jeden z klawiszy REVIEW.
Naciśnij i przytrzymaj klawisz DEL przez 2 sekundy, na wyświetlaczu pojawi się symbol All ErASEd. Po kilku
sekundach identyfikator powróci do trybu czuwanie, numery zostaną wykasowane.
7. Oddzwanianie z listy numerów-wykonywanie połączenia lokalnego.
Wykonanie połączenia lokalnego (w tej samej strefie) poprzez bezpośrednie wybranie numeru z pamięci identyfikatora
możliwe jest tylko w wyniku wcześniejszego wpisania do pamięci lokalnego numeru kierunkowego poprzedzonego
prefiksem 0. Aby wykonać połączenie lokalne, postępuj następująco:
naciskając jeden z klawiszy REVIEW wybierz numer abonenta, z którym chcesz uzyskać połączenie,
podnieś słuchawkę aparatu do, którego podłączony jest identyfikator,
naciśnij klawisz DIAL, numer zostanie wybrany; po wybraniu numeru identyfikator powróci do trybu czuwanie,
po zakończeniu rozmowy-połączenia odłóż słuchawkę na bazę aparatu.