Zadanie- test 1

Transkrypt

Zadanie- test 1
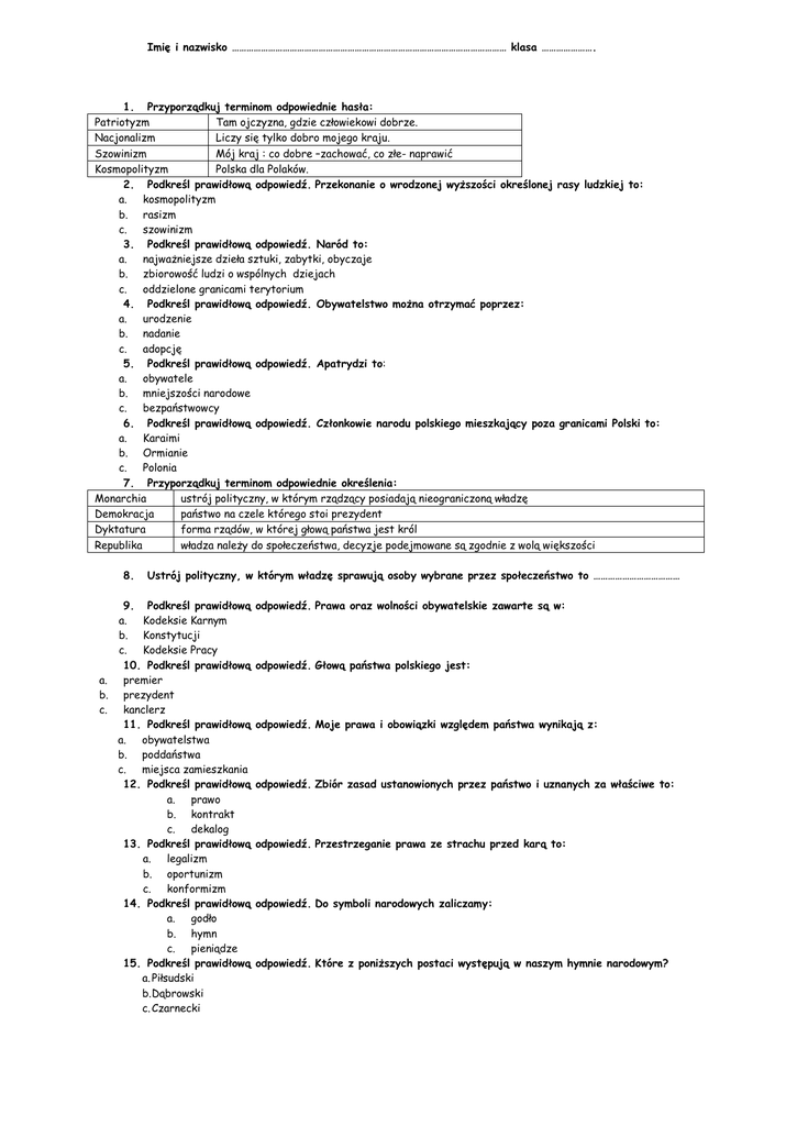
Imię i nazwisko …………………………………………………………………………………………………… klasa ………………….
1. Przyporządkuj terminom odpowiednie hasła:
Patriotyzm
Tam ojczyzna, gdzie człowiekowi dobrze.
Nacjonalizm
Liczy się tylko dobro mojego kraju.
Szowinizm
Mój kraj : co dobre –zachować, co złe- naprawić
Kosmopolityzm
Polska dla Polaków.
2. Podkreśl prawidłową odpowiedź. Przekonanie o wrodzonej wyższości określonej rasy ludzkiej to:
a. kosmopolityzm
b. rasizm
c. szowinizm
3. Podkreśl prawidłową odpowiedź. Naród to:
a. najważniejsze dzieła sztuki, zabytki, obyczaje
b. zbiorowość ludzi o wspólnych dziejach
c. oddzielone granicami terytorium
4. Podkreśl prawidłową odpowiedź. Obywatelstwo można otrzymać poprzez:
a. urodzenie
b. nadanie
c. adopcję
5. Podkreśl prawidłową odpowiedź. Apatrydzi to:
a. obywatele
b. mniejszości narodowe
c. bezpaństwowcy
6. Podkreśl prawidłową odpowiedź. Członkowie narodu polskiego mieszkający poza granicami Polski to:
a. Karaimi
b. Ormianie
c. Polonia
7. Przyporządkuj terminom odpowiednie określenia:
Monarchia
ustrój polityczny, w którym rządzący posiadają nieograniczoną władzę
Demokracja
państwo na czele którego stoi prezydent
Dyktatura
forma rządów, w której głową państwa jest król
Republika
władza należy do społeczeństwa, decyzje podejmowane są zgodnie z wolą większości
8.
Ustrój polityczny, w którym władzę sprawują osoby wybrane przez społeczeństwo to ………………………………
9. Podkreśl prawidłową
a. Kodeksie Karnym
b. Konstytucji
c. Kodeksie Pracy
10. Podkreśl prawidłową
a. premier
b. prezydent
c. kanclerz
11. Podkreśl prawidłową
a. obywatelstwa
b. poddaństwa
c. miejsca zamieszkania
12. Podkreśl prawidłową
a. prawo
b. kontrakt
c. dekalog
13. Podkreśl prawidłową
a. legalizm
b. oportunizm
c. konformizm
14. Podkreśl prawidłową
a. godło
b. hymn
c. pieniądze
15. Podkreśl prawidłową
a. Piłsudski
b. Dąbrowski
c. Czarnecki
odpowiedź. Prawa oraz wolności obywatelskie zawarte są w:
odpowiedź. Głową państwa polskiego jest:
odpowiedź. Moje prawa i obowiązki względem państwa wynikają z:
odpowiedź. Zbiór zasad ustanowionych przez państwo i uznanych za właściwe to:
odpowiedź. Przestrzeganie prawa ze strachu przed karą to:
odpowiedź. Do symboli narodowych zaliczamy:
odpowiedź. Które z poniższych postaci występują w naszym hymnie narodowym?
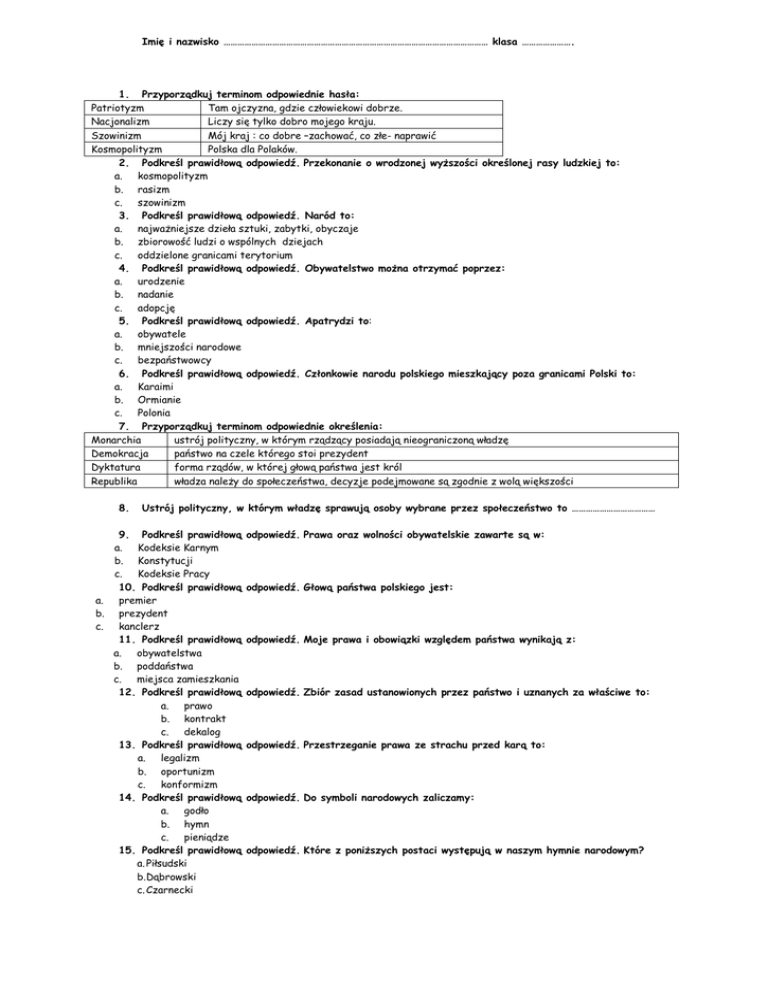
Imię i nazwisko …………………………………………………………………………………………………… klasa ………………….
1. Przyporządkuj terminom odpowiednie hasła:
Patriotyzm
Tam ojczyzna, gdzie człowiekowi dobrze.
Nacjonalizm
Liczy się tylko dobro mojego kraju.
Szowinizm
Mój kraj : co dobre –zachować, co złe- naprawić
Kosmopolityzm
Polska dla Polaków.
2. Podkreśl prawidłową odpowiedź. Przekonanie o wrodzonej wyższości określonej rasy ludzkiej to:
a. kosmopolityzm
b. rasizm
c. szowinizm
3. Podkreśl prawidłową odpowiedź. Naród to:
a. najważniejsze dzieła sztuki, zabytki, obyczaje
b. zbiorowość ludzi o wspólnych dziejach
c. oddzielone granicami terytorium
4. Podkreśl prawidłową odpowiedź. Obywatelstwo można otrzymać poprzez:
a. urodzenie
b. nadanie
c. adopcję
5. Podkreśl prawidłową odpowiedź. Apatrydzi to:
a. obywatele
b. mniejszości narodowe
c. bezpaństwowcy
6. Podkreśl prawidłową odpowiedź. Członkowie narodu polskiego mieszkający poza granicami Polski to:
a. Karaimi
b. Ormianie
c. Polonia
7. Przyporządkuj terminom odpowiednie określenia:
Monarchia
ustrój polityczny, w którym rządzący posiadają nieograniczoną władzę
Demokracja
państwo na czele którego stoi prezydent
Dyktatura
forma rządów, w której głową państwa jest król
Republika
władza należy do społeczeństwa, decyzje podejmowane są zgodnie z wolą większości
8.
Ustrój polityczny, w którym władzę sprawują osoby wybrane przez społeczeństwo to ………………………………
9. Podkreśl prawidłową
a. Kodeksie Karnym
b. Konstytucji
c. Kodeksie Pracy
10. Podkreśl prawidłową
a. premier
b. prezydent
c. kanclerz
11. Podkreśl prawidłową
a. obywatelstwa
b. poddaństwa
c. miejsca zamieszkania
12. Podkreśl prawidłową
a. prawo
b. kontrakt
c. dekalog
13. Podkreśl prawidłową
a. legalizm
b. oportunizm
c. konformizm
14. Podkreśl prawidłową
a. godło
b. hymn
c. pieniądze
15. Podkreśl prawidłową
a. Piłsudski
b. Dąbrowski
c. Czarnecki
odpowiedź. Prawa oraz wolności obywatelskie zawarte są w:
odpowiedź. Głową państwa polskiego jest:
odpowiedź. Moje prawa i obowiązki względem państwa wynikają z:
odpowiedź. Zbiór zasad ustanowionych przez państwo i uznanych za właściwe to:
odpowiedź. Przestrzeganie prawa ze strachu przed karą to:
odpowiedź. Do symboli narodowych zaliczamy:
odpowiedź. Które z poniższych postaci występują w naszym hymnie narodowym?