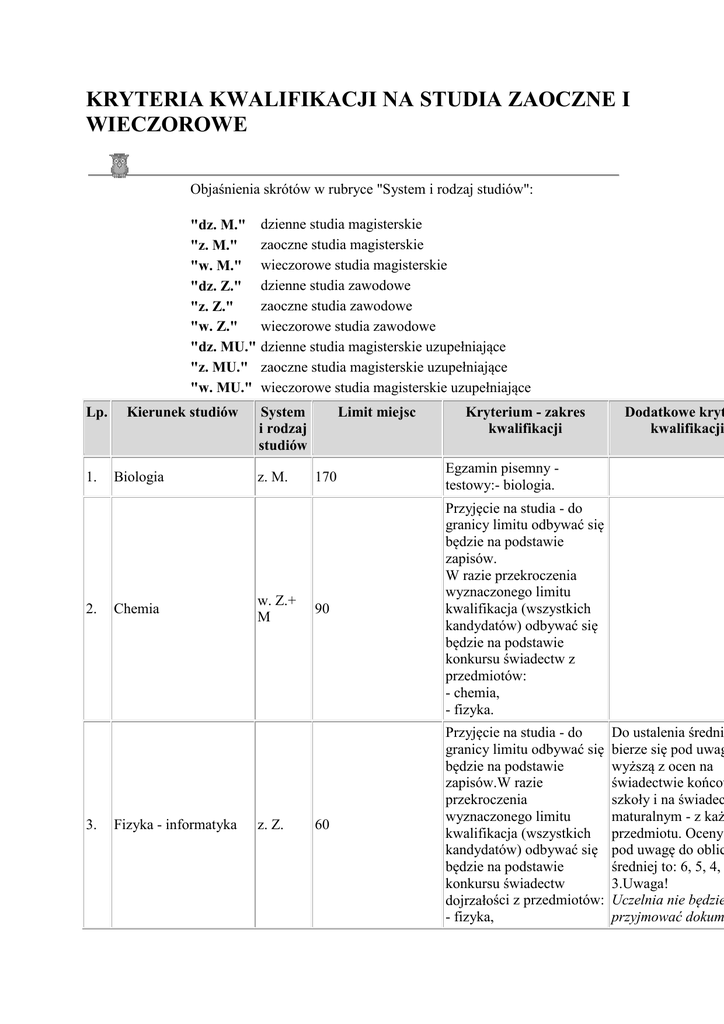
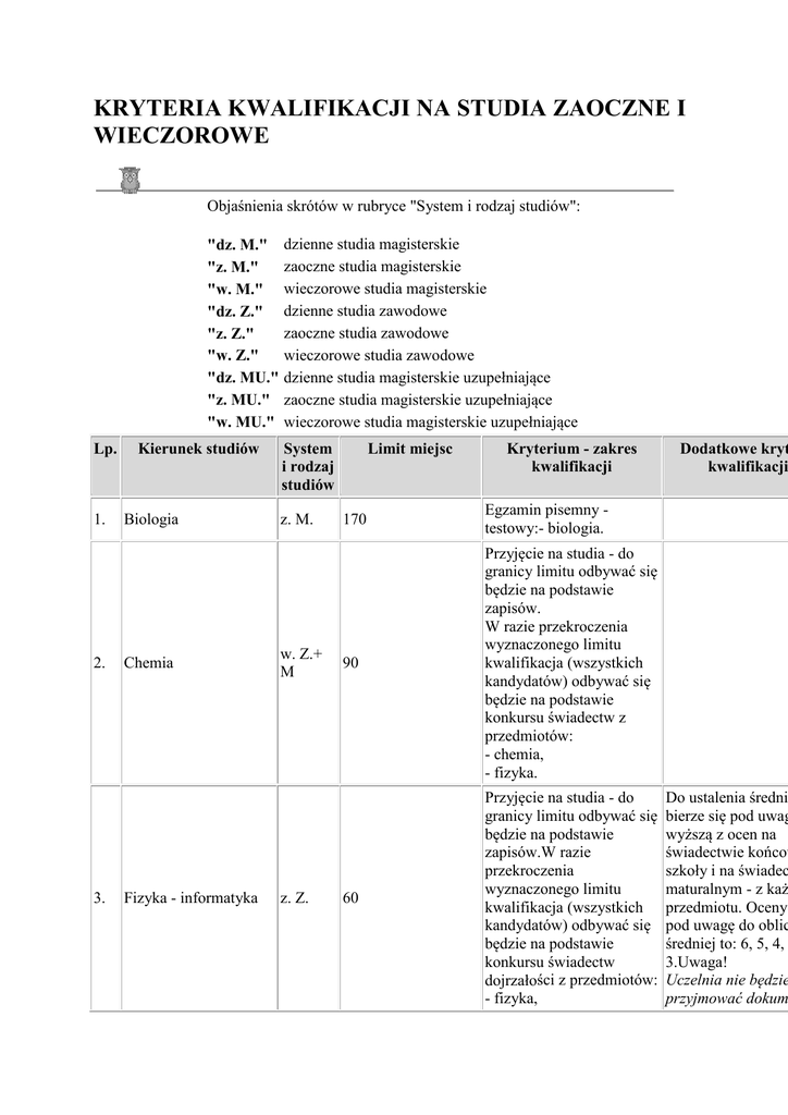
KRYTERIA KWALIFIKACJI NA STUDIA ZAOCZNE I WIECZOROWE

Transkrypt

KRYTERIA KWALIFIKACJI NA STUDIA ZAOCZNE I WIECZOROWE
KRYTERIA KWALIFIKACJI NA STUDIA ZAOCZNE I
WIECZOROWE
Objaśnienia skrótów w rubryce "System i rodzaj studiów":
"dz. M." dzienne studia magisterskie
zaoczne studia magisterskie
"z. M."
"w. M." wieczorowe studia magisterskie
"dz. Z." dzienne studia zawodowe
zaoczne studia zawodowe
"z. Z."
wieczorowe studia zawodowe
"w. Z."
"dz. MU." dzienne studia magisterskie uzupełniające
"z. MU." zaoczne studia magisterskie uzupełniające
"w. MU." wieczorowe studia magisterskie uzupełniające
Lp.
1.
2.
3.
Kierunek studiów
Biologia
Chemia
Fizyka - informatyka
System
i rodzaj
studiów
z. M.
w. Z.+
M
z. Z.
Limit miejsc
Kryterium - zakres
kwalifikacji
170
Egzamin pisemny testowy:- biologia.
90
Przyjęcie na studia - do
granicy limitu odbywać się
będzie na podstawie
zapisów.
W razie przekroczenia
wyznaczonego limitu
kwalifikacja (wszystkich
kandydatów) odbywać się
będzie na podstawie
konkursu świadectw z
przedmiotów:
- chemia,
- fizyka.
60
Przyjęcie na studia - do
granicy limitu odbywać się
będzie na podstawie
zapisów.W razie
przekroczenia
wyznaczonego limitu
kwalifikacja (wszystkich
kandydatów) odbywać się
będzie na podstawie
konkursu świadectw
dojrzałości z przedmiotów:
- fizyka,
Dodatkowe kryt
kwalifikacji
Do ustalenia średni
bierze się pod uwag
wyższą z ocen na
świadectwie końcow
szkoły i na świadec
maturalnym - z każ
przedmiotu. Oceny
pod uwagę do oblic
średniej to: 6, 5, 4,
3.Uwaga!
Uczelnia nie będzie
przyjmować dokum
- matematyka.
4.
5.
6.
Matematyka
Wychowanie
techniczne
Informatyka
z. Z.+
M
z. M.
z. Z.
od kandydatów, któ
świadectwie końcow
jak i na maturalnym
uzyskali ocenę mier
fizyki lub matematy
100
Przyjęcie na studia - do
granicy limitu odbywać się
będzie na podstawie
zapisów.
W razie przekroczenia
wyznaczonego limitu
kwalifikacja (wszystkich
kandydatów) odbywać się
będzie na podstawie oceny
z matematyki (konkurs
świadectw dojrzałości).
150
Przyjęcie na studia - do
granicy limitu odbywać się
będzie na podstawie
zapisów.Przy ilości
kandydatów
przekraczającej limit,
kwalifikacja (wszystkich
kandydatów) odbywać się
będzie na podstawie
konkursu świadectw z
przedmiotów:
- fizyka,
- matematyka,
- technika lub informatyka
- dla absolwentów LO,
natomiast dla absolwentów
szkół technicznych
- ocena egzaminu z
przygotowania
zawodowego.
Dla kandydatów, kt
na egzaminie dojrza
zdawali matematyk
fizykę lub informat
będzie z tego przed
liczona średnia: oce
końcowej, oceny z
egzaminu pisemneg
egzaminu ustnego.
W przypadku braku
przedmiotu na
świadectwie do
obliczenia średniej
przyjmuje się ocenę
zachowaniem liczb
przedmiotów.
120
Przyjęcie na studia - do
granicy limitu odbywać się
będzie na podstawie
zapisów.
Przy ilości kandydatów
przekraczającej limit,
kwalifikacja (wszystkich
kandydatów) odbywać się
będzie na podstawie
konkursu świadectw z
przedmiotów:
- fizyka,
- matematyka,
Dla kandydatów, kt
na egzaminie dojrza
zdawali matematyk
fizykę lub informat
będzie z tego przed
liczona średnia: oce
końcowej, oceny z
egzaminu pisemneg
egzaminu ustnego.
W przypadku braku
przedmiotu na
świadectwie do
obliczenia średniej
- informatyka.
7.
8.
9.
Administracja
Administracja
Prawo
Prawo dla
10. absolwentów
administracji
Pedagogika:
- opiekuńczowychowawcza,
11. - wczesnoszkolna,
- specjalna
- resocjalizacja
- zdrowia
Pedagogika dla
absolwentów
12.
Kolegiów
Nauczycielskich i 3-
przyjmuje się ocenę
zachowaniem liczb
przedmiotów.
Według kolejności
zapisów (do wyczerpania
limitu).
Warunkiem przyjęc
I rok studiów jest
złożenie kompletu
wymaganych
dokumentów oraz
wniesienie opłaty z
pierwszy semestr na
Według kolejności
zapisów (do wyczerpania
limitu).
Warunkiem przyjęc
I rok studiów jest
złożenie kompletu
wymaganych
dokumentów oraz
wniesienie opłaty z
pierwszy semestr na
przyjęcie mogą ubie
się kandydaci, którz
uzyskali dyplom
licencjata.
Według kolejności
zapisów (do wyczerpania
limitu).
Warunkiem przyjęc
I rok studiów jest
złożenie kompletu
wymaganych
dokumentów oraz
wniesienie opłaty z
pierwszy semestr na
100
Według kolejności
zapisów (do wyczerpania
limitu).
O przyjęcie mogą
ubiegać się tylko
absolwenci 5-letnic
magisterskich studi
administracyjnych,
którzy ukończyli stu
administracyjne w r
akad. 1993/94 i póź
z. M.
180
Egzamin pisemny testowy z języka polskiego
z elementami wiedzy
humanistycznej.
z. MU.
390
w tym
120
150
Konkurs dyplomów
studiów licencjackich.
Rozmowa kwalifikacyjna,
której przedmiotem będzie
z. Z.
z. MU.
z. M.
z. MU.
1200
450
1200
letnich studiów
licencjackich,
specjalności:
- pedagogika
opiekuńczowychowawcza,
- pedagogika
wczesnoszkolna,
- resocjalizacja.
13. Psychologia
14. Historia
15. Filozofia
16. Politologia
120
w. M.
z. M.
z. M.
z. M.
100
prezentacja zamierzeń
badawczych związanych z
przyszłą pracą magisterską
kandydata.
Egzamin pisemny testowy obejmujący
zagadnienia z:
- języka polskiego
- wiedzy o kulturze
- wiedzy o świecie
współczesnym
- biologii.
Zadania testowe będą
sprawdzały również
umiejętność logicznego
rozumowania i
wnioskowania.
220
Według kolejności
zapisów (do wyczerpania
limitu).
200
Przyjęcie na studia do
granicy limitu odbywać się
będzie na podstawie
zapisów.
W razie przekroczenia
limitu kwalifikacja
(wszystkich kandydatów)
odbywać się będzie na
podstawie rozmowy
kwalifikacyjnej
obejmującej zagadnienia
wiedzy o społeczeństwie i
ogólną znajomość
współczesnych problemów
społeczno-politycznych.
300
Przyjęcie na studia do
granicy limitu odbywać się
będzie na podstawie
zapisów.
Warunkiem przyjęc
I rok studiów jest
złożenie kompletu
wymaganych
dokumentów oraz
wniesienie opłaty z
pierwszy semestr na
W razie przekroczenia
limitu kwalifikacja
(wszystkich kandydatów)
odbywać się będzie na
podstawie rozmowy
kwalifikacyjnej z zakresu
historii XX w. z
elementami wiedzy o
społeczeństwie.
17. Politologia
Socjologia
18. specjalność:
praca socjalna
Socjologia dla
absolwentów WZSS
specjalność:
19. - praca socjalna,
- socjologia ogólna,
- zarządzanie pracą
socjalną
Socjologia dla
absolwentów
20. licencjackich studiów
o kier. zarządzanie i
marketing
90
Kryterium przyjęć jest
średnia ocen ze studiów
licencjackich.
z. Z.
200
Przyjęcie na studia do
granicy limitu odbywać się
będzie na podstawie
zapisów.
W razie przekroczenia
limitu kwalifikacja
(wszystkich kandydatów)
odbywać się będzie na
podstawie rozmowy
kwalifikacyjnej z zakresu
znajomości problemów i
kwestii społecznych.
z. MU.
150
w tym:
100
20
30
Kryterium przyjęć
jest średnia ocen ze
studiów
licencjackich ž co
najmniej 3,5 oraz
rozmowa
kwalifikacyjna na
temat przyszłej
pracy magisterskiej z
zakresu znajomości
problemów i kwestii
społecznych,
socjologii ogólnej,
socjologii
organizacji i
zarządzania, pracy
socjalnej.
O przyjęcie mogą ubiegać
się kandydaci, którzy
uzyskali dyplom licencjata
w zakresie pracy socjalnej.
60
Kryterium przyjęć jest
średnia ocen ze studiów
licencjackich ž co najmniej
3,5 oraz rozmowa
kwalifikacyjna na temat
z. MU.
z. MU
O przyjęcie mogą
ubiegać się kandyda
którzy uzyskali dyp
licencjata w zakresi
politologii.
realizowanych w
Szkole Zarządzania UŚ
21. Geografia
22. Geologia
Bibliotekoznawstwo i
23. informacja naukowotechniczna
przyszłej pracy
magisterskiej z zakresu
znajomości problemów i
kwestii społecznych,
socjologii ogólnej,
socjologii organizacji i
zarządzania, pracy
socjalnej.
z. Z.+ z.
300
MU.
Przyjęcie na studia do
granicy limitu odbywać się
będzie na podstawie
zapisów.
W przypadku
przekroczenia limitu
przyjęć, wszystkich
kandydatów obowiązywać
będzie konkurs świadectw,
przy czym punktowanych
zostanie 5 przedmiotów z
najwyższymi ocenami,
spośród następujących:
język polski, matematyka,
geografia, fizyka, chemia,
biologia, historia, język
obcy, propedeutyka.
z. Z.+ z.
150
MU.
Przyjęcie na studia do
granicy limitu odbywać się
będzie na podstawie
zapisów.
W przypadku
przekroczenia limitu
przyjęć, wszystkich
kandydatów obowiązywać
będzie konkurs świadectw,
przy czym punktowanych
zostanie 5 przedmiotów z
najwyższymi ocenami,
spośród następujących:
język polski, matematyka,
geografia, fizyka, chemia,
biologia, historia, język
obcy, propedeutyka.
z. Z.
Konkurs świadectw:
- język polski,
- język obcy,
- matematyka lub historia
(z uwzględnieniem
wyższej oceny)
80
Bibliotekoznawstwo i
24. informacja naukowotechniczna
Bibliotekoznawstwo i
informacja naukowotechniczna dla
absolwentów
25.
pomaturalnych szkół
bibliotekarstwa i
księgarstwa oraz SN
(st. 4-l.)
26. Kulturoznawstwo
27. Filologia polska
28. Filologia polska
29. Filologia polska
Filologia - angielska
dla absolwentów 30. kolegiów językowych
nauczycielskich
(j.ang.)
- język angielski dla
Konkurs dyplomów
ukończenia studiów
zawodowych (licencjat).
Rozmowa kwalifikacyjna
na temat przyszłej pracy
magisterskiej oraz
wybranej specjalizacji.
O przyjęcie mogą
ubiegać się kandyda
którzy uzyskali dyp
licencjata kierunku:
bibliotekoznawstwo
informacja naukow
techniczna.
Według kolejności
zapisów (do wyczerpania
limitu).
O przyjęcie mogą
ubiegać się kandyda
którzy przedłożą dy
(świadectwo) 2-let.
szkoły pomaturalne
dyplom Studium
Nauczycielskiego.
100
Konkurs świadectw: język polski,- historia,język obcy.
Wydziałowa Komis
Rekrutacyjna - usta
dolną wartość średn
ocen z j. polskiego,
historii oraz j. obce
zapewniającą przyj
na studia.
130
Konkurs świadectw:
- język polski,
- historia,
- język obcy.
130
Konkurs świadectw:
- język polski,
- historia,
- język obcy.
80
Rozmowa kwalifikacyjna z
dziedziny przyszłej pracy
magisterskiej - do wyboru:
- historia i teoria literatury
polskiej,- językoznawstwo,
- metodyka nauczania
języka polskiego.
O przyjęcie mogą
ubiegać się kandyda
którzy uzyskali dyp
licencjata o specjaln
filologia polska.
z. MU.
120
Rozmowa kwalifikacyjna z
dziedziny przyszłej pracy
magisterskiej - do
wyboru:- kultura i
literatura brytyjska,kultura i literatura
amerykańska,- metodyka
nauczania języków
obcych,- językoznawstwo.
O przyjęcie mogą
ubiegać się kandyda
którzy uzyskali dyp
licencjata o specjaln
języka angielskiego
filologii angielskiej
z. MU.
20
Rozmowa kwalifikacyjna
O przyjęcie mogą
z. MU.
z. M.
z. M.
z. M.
z. Z.
z. MU.
40
80
absolwentów
- Kolegium Języka
Biznesu UŚ,
- Wyższej Szkoły
Zarządzania
Marketingowego i Jęz.
Obcych w Katowicach,
- Wyższej Szkoły
Lingwistycznej w
Częstochowie
na temat przyszłej pracy
magisterskiej z dziedziny
językoznawstwa.
ubiegać się kandyda
którzy uzyskali dyp
licencjata w zakresi
angielskiego języka
biznesu/handloweg
- romańska dla
absolwentów
- 3-let.
z. MU.
uniwersyteckich
studiów zawodowych
- kolegiów językowych
25
Egzamin ustny - do
wyboru:
- metodyka nauczania
języka francuskiego, literatura francuska,
- językoznawstwo.
O przyjęcie mogą
ubiegać się kandyda
którzy uzyskali dyp
licencjata o specjaln
języka francuskiego
filologii romańskiej
25
Egzamin ustny - do
wyboru: - metodyka, literatura, językoznawstwo.
O przyjęcie mogą
ubiegać się kandyda
którzy uzyskali dyp
licencjata o specjaln
języka włoskiego lu
filologii włoskiej.
25
Egzamin pisemny - do
wyboru: - język
hiszpański, francuski,
angielski, niemiecki,
rosyjski, włoski.
Egzamin ustny:
- język obcy - wybrany na
egzaminie pisemnym,
- język polski.
- włoska dla
absolwentów
- 3 let. uniwersyteckich z. MU.
studiów zawodowych
- kolegiów językowych
- język hiszpański
- germańska dla
absolwentów NKJN
Kolegium Języka
Biznesu
31.
- język angielski
- język niemiecki
z. Z.
w. MU. 40
w. Z.
40
20
Egzamin ustny - do
wyboru:
- metodyka nauczania
języka niemieckiego,
- literaturoznawstwo,
- językoznawstwo
niemieckie.
Rozmowa kwalifikacyjna
w języku angielskim lub
niemieckim z zakresu
materiału szkoły średniej
poszerzona o wiedzę
dotyczącą bieżących
problemów społecznych,
gospodarczych i
politycznych.
O przyjęcie mogą
ubiegać się kandyda
którzy uzyskali dyp
licencjata o specjaln
języka niemieckieg
32.
120
Chorzów
90
Jastrzębie
Konkurs świadectw z
przedmiotów:
- matematyka,
- język polski,
- historia.
Kandydaci, którzy n
świadectwie dojrza
uzyskali ocenę mier
matematyki, języka
polskiego i historii
będą przyjmowani.
120
1) Nie więcej niż 50
miejsc bez postępowania
kwalifikacyjnego dla
absolwentów Szkoły
Zarządzania UŚ, którzy
ukończyli studia w roku
akad. 1997/98, 1998/99
oraz 1999/2000 oraz
uzyskali średnią ocen ze
studiów nie mniejszą niż
4,0.O zakwalifikowaniu na
listę przyjętych decyduje
miejsce zajęte przez
kandydata na liście
rankingowej.
2) Kryterium przyjęć
pozostałych kandydatów
następuje na podstawie
egzaminu pisemnego testowego z przedmiotów:
- język obcy - do wyboru:
angielski lub francuski,
- nauki o zarządzaniu.
O przyjęcie mogą
ubiegać się absolwe
uczelni państwowy
którzy uzyskali dyp
licencjata w zakresi
zarządzania i marke
z. M.
50
Egzamin pisemny geografia lub historia (do
wyboru). Konkurs
świadectw: - język polski,
- historia, - geografia.
z. M.
80
Egzamin pisemny kształcenie słuchu.
110
Sprawdzian zdolności
kierunkowych:
- rysunek z natury,
- rysunek z wyobraźni.
Organizacja produkcji
z. M.
filmowej i telewizyjnej
Zarządzanie i
33.
marketing
34.
150
Egzamin ustny z wiedzy
humanistycznej,
problemów środków
masowego przekazu i
predyspozycji do zawodu.
z. Z.
Zarządzanie i
marketing
z. MU.
KATOWICE
7415
FILIA W CIESZYNIE
35. Etnologia
36.
37.
Wychowanie
muzyczne
Wychowanie
plastyczne
z. M.
38. Pedagogika
Pedagogika
z. M.
z. Z.
Pedagogika specjalność: Animacja z. M.
Społeczno-Kulturalna
180
Cieszyn
160
Jastrzębie
Interpretacja tekstu o
problematyce
pedagogicznej.
Rozmowa kwalifikacyjna
na temat motywów starań
o przyjęcie na studia
pedagogiczne.
Konkurs świadectw:
- język polski,
- język obcy (w przypadku
kilku jęz. obcych będzie
brana pod uwagę ocena
korzystniejsza),
- historia,
- wiedza o społeczeństwie,
- matematyka,
- fizyka
oraz wyniki z egzaminów
pisemnych maturalnych
bez względu na przedmiot.
180
Rozmowa kwalifikacyjna
na temat motywów starań
o przyjęcie na studia
pedagogiczne.
Konkurs świadectw:
- język polski,
- język obcy (w przypadku
kilku jęz. obcych będzie
brana pod uwagę ocena
korzystniejsza),
- historia,
- wiedza o społeczeństwie,
- matematyka,
- fizyka
oraz wyniki z egzaminów
pisemnych maturalnych
bez względu na przedmiot.
50
Praca pisemna
sprawdzająca rozumienie
tekstu oraz umiejętności
wyrażania własnych
refleksji w sposób
merytoryczny, logiczny i
poprawny językowo.
Rozmowa kwalifikacyjna z
wykorzystaniem
informacji i dokumentów
dotyczących własnej
aktywności kulturalno-
oświatowej kandydata
(współpracy z instytucjami
kulturalno-oświatowymi,
uczestnictwa w kołach
zainteresowań, działań
kulturalno-oświatowych z
dziećmi i młodzieżą itp.).
40
Test ze znajomości
podstawowych pojęć
filozoficznych.
Rozmowa kwalifikacyjna
dotycząca aktualnych
problemów etycznych,
kulturowych i
społecznych.
Głównym jej celem jest
sprawdzenie umiejętności
dostrzegania i
formułowania tych
problemów oraz zdolności
kandydata do spójnego
uzasadniania swoich
przekonań.
30
Test ze znajomości Biblii i
historii Kościoła.
Rozmowa kwalifikacyjna
sprawdzająca ogólne
wiadomości o Kościele (w
zależności od wyznania)
oraz podstawowych
wiadomości z historii
biblijnej i katechizmu.
- 2-letnie studia
licencjackie w zakresie
edukacji
z. Z.
wczesnoszkolnej po
SN
100
Konkurs dyplomów SN.
- 2-letnie studia
magisterskie w
zakresie edukacji
z. MU.
wczesnoszkolnej po 2let. st. zawodowych
(lic.).
180
Konkurs dyplomów
licencjackich.
Edukacja Filozoficznoz. M.
Społeczna
Edukacja Religijna
z. M.
CIESZYN
1160
OGÓŁEM
UCZELNIA
8575