Harmonogram wywozu ODPADÓW WIELKOGABARYTOWYCH (np

Transkrypt

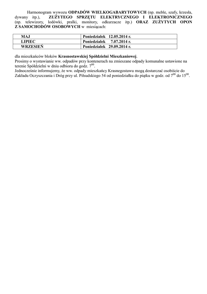
Harmonogram wywozu ODPADÓW WIELKOGABARYTOWYCH (np
Harmonogram wywozu ODPADÓW WIELKOGABARYTOWYCH (np. meble, szafy, krzesła,
dywany itp.),
ZUŻYTEGO SPRZĘTU ELEKTRYCZNEGO I ELEKTRONICZNEGO
(np. telewizory, lodówki, pralki, monitory, odkurzacze itp.) ORAZ ZUŻYTYCH OPON
Z SAMOCHODÓW OSOBOWYCH w miesiącach:
MAJ
LIPIEC
WRZESIEŃ
Poniedziałek 12.05.2014 r.
Poniedziałek 7.07.2014 r.
Poniedziałek 29.09.2014 r.
dla mieszkańców bloków Krasnostawskiej Spółdzielni Mieszkaniowej.
Prosimy o wystawianie ww. odpadów przy kontenerach na zmieszane odpady komunalne ustawione na
terenie Spółdzielni w dniu odbioru do godz. 700.
Jednocześnie informujemy, że ww. odpady mieszkańcy Krasnegostawu mogą dostarczać osobiście do
Zakładu Oczyszczania i Dróg przy ul. Piłsudskiego 54 od poniedziałku do piątku w godz. od 700 do 1500.
WTOREK
HARMONOGRAM WYWOZU ODPADÓW WIELKOGABARYTOWYCH (np. meble, szafy, krzesła, dywany
itp.), ZUŻYTEGO SPRZĘTU ELEKTRYCZNEGO I ELEKTRONICZNEGO (np. telewizory, lodówki, pralki,
monitory, odkurzacze itp.) ORAZ ZUŻYTYCH OPON Z SAMOCHODÓW OSOBOWYCH W MIESIĄCACH:
MAJ
LIPIEC
WRZESIEŃ
13.05.2014 r.
8.07.2014 r.
30.09.2014 r.
UL. BIELESZY
UL. KÓŁKOWA
Ul. BOHATERÓW WRZEŚNIA
UL. CZUBY
UL. STOKOWA
UL. KS. ŚCIEGIENNEGO
UL. ŁUKASIŃSKIEGO
Zabudowa wielorodzinna:
ul. Lwowska 147
ul. Stokowa 47
UL. LWOWSKA
UL. NIESIECKIEGO
UL. WÓJTA STANISŁAWA
UL. WĄSKA
UL. KICKIEGO
Ul. Maj. SOKOŁOWSKIEGO
Harmonogramy wywozu odpadów komunalnych dostępne są także na stronie internetowej www.pgkkrasnystaw.pl
Prosimy o wystawianie ww. odpadów w dniu odbioru do godz. 700.
Jednocześnie informujemy, że ww. odpady mieszkańcy Krasnegostawu mogą dostarczać osobiście do Zakładu
Oczyszczania i Dróg przy ul. Piłsudskiego 54 od poniedziałku do piątku w godz. od 700 do 1500.
ŚRODA
HARMONOGRAM WYWOZU ODPADÓW WIELKOGABARYTOWYCH (np. meble, szafy, krzesła, dywany
itp.), ZUŻYTEGO SPRZĘTU ELEKTRYCZNEGO I ELEKTRONICZNEGO (np. telewizory, lodówki, pralki,
monitory, odkurzacze itp.) ORAZ ZUŻYTYCH OPON Z SAMOCHODÓW OSOBOWYCH W MIESIĄCACH:
MAJ
LIPIEC
PAŹDZIERNIK
14.05.2014 r.
9.07.2014 r.
1.10.2014 r.
UL. WITOSA
UL. TOROWA
UL. MAKOWA
UL. BŁAWATNA
UL. GOSPODARCZA
UL. LIPOWA
UL. UŁAŃSKA
UL. REJOWIECKA
UL. POLNA
UL. KAR. ST. WYSZYŃSKIEGO
Zabudowa wielorodzinna:
ul. Gospodarcza 21E
UL. JABŁONKOWA
UL. SIENNICKIEGO
UL. TYTONIOWA
UL. HET. J. ZAMOJSKIEGO
UL. KWIATOWA
UL. WIŚNIOWA
UL. GOŁĘBIA
UL. NASIENNA
Harmonogramy wywozu odpadów komunalnych dostępne są także na stronie internetowej www.pgkkrasnystaw.pl
Prosimy o wystawianie ww. odpadów w dniu odbioru do godz. 700.
Jednocześnie informujemy, że ww. odpady mieszkańcy Krasnegostawu mogą dostarczać osobiście do Zakładu
Oczyszczania i Dróg przy ul. Piłsudskiego 54 od poniedziałku do piątku w godz. od 700 do 1500.
CZWARTEK
HARMONOGRAM WYWOZU ODPADÓW WIELKOGABARYTOWYCH (np. meble, szafy, krzesła, dywany
itp.), ZUŻYTEGO SPRZĘTU ELEKTRYCZNEGO I ELEKTRONICZNEGO (np. telewizory, lodówki, pralki,
monitory, odkurzacze itp.) ORAZ ZUŻYTYCH OPON Z SAMOCHODÓW OSOBOWYCH W MIESIĄCACH:
MAJ
LIPIEC
PAŹDZIERNIK
15.05.2014 r.
10.07.2014 r.
2.10.2014 r.
UL. RÓŻANA
UL. BRZECHWY
UL. SŁOWICZA
UL. KORCZAKA
UL. PTASIA
UL. MODRA
UL. MIĘTOWA
UL. KŁOSOWSKIEGO
UL. PIASKOWA
UL. NADWIEPRZAŃSKA
UL. SPACEROWA
UL. JASKÓŁCZA
UL. WYSOCKIEJ
UL. SŁONECZNA
UL. CZECHOWICZA
UL. MAKUSZYŃSKIEGO
UL. TUWIMA
UL. KRASICKIEGO
UL. BOROWA
BLOK OSM, ul. Borowa 4
Harmonogramy wywozu odpadów komunalnych dostępne są także na stronie internetowej www.pgkkrasnystaw.pl
Prosimy o wystawianie ww. odpadów w dniu odbioru do godz. 700.
Jednocześnie informujemy, że ww. odpady mieszkańcy Krasnegostawu mogą dostarczać osobiście do Zakładu
Oczyszczania i Dróg przy ul. Piłsudskiego 54 od poniedziałku do piątku w godz. od 700 do 1500.
PIĄTEK
HARMONOGRAM WYWOZU ODPADÓW WIELKOGABARYTOWYCH (np. meble, szafy, krzesła, dywany
itp.), ZUŻYTEGO SPRZĘTU ELEKTRYCZNEGO I ELEKTRONICZNEGO (np. telewizory, lodówki, pralki,
monitory, odkurzacze itp.) ORAZ ZUŻYTYCH OPON Z SAMOCHODÓW OSOBOWYCH W MIESIĄCACH:
MAJ
LIPIEC
PAŹDZIERNIK
16.05.2014 r.
11.07.2014 r.
3.10.2014 r.
UL. ORLĄT LWOWSKICH
UL. SIENKIEWICZA
UL. GRANICZNA
UL. ARMII KRAJOWEJ
UL. TOKARZEWSKIEGO
UL. KRESOWA
UL. SZYMONOWICZA
UL. KRAŃCOWA
UL. ODRODZENIA
UL. SOBIESKIEGO
UL. KOL. KRAKOWSKIE PRZEDMIEŚCIE
UL. KUFLOWA
UL. SOKOŁOWSKIEGO 5
UL. PODMIEJSKA
UL. BOJARCZUKA
UL. CERAMICZNA
UL. BATALIONÓW CHŁOPSKICH
UL. WARĘCKICH
UL. REJA
Harmonogramy wywozu odpadów komunalnych dostępne są także na stronie internetowej www.pgkkrasnystaw.pl
Prosimy o wystawianie ww. odpadów w dniu odbioru do godz. 700.
Jednocześnie informujemy, że ww. odpady mieszkańcy Krasnegostawu mogą dostarczać osobiście do Zakładu
Oczyszczania i Dróg przy ul. Piłsudskiego 54 od poniedziałku do piątku w godz. od 700 do 1500.
Harmonogram wywozu ODPADÓW WIELKOGABARYTOWYCH (np. meble, szafy, krzesła, dywany
itp.), ZUŻYTEGO SPRZĘTU ELEKTRYCZNEGO I ELEKTRONICZNEGO
(np. telewizory, lodówki, pralki, monitory, odkurzacze itp.) ORAZ ZUŻYTYCH OPON
Z SAMOCHODÓW OSOBOWYCH w miesiącach:
MAJ
LIPIEC
PAŹDZIERNIK
Poniedziałek 19.05.2014 r.
Poniedziałek 14.07.2014 r.
Poniedziałek 6.10.2014 r.
dla mieszkańców bloków:
NAZWA WSPÓLNOTY/ SPÓŁDZIELNI
Gmina Miasto Krasnystaw, ul. Głowackiego 1
Spółdzielnia Mieszkaniowa "CERAMIK", ul. Oleszczyńskiego 3
Spółdzielnia Mieszkaniowa "CUKROWNIK", Siennica Nadolna 15G, 22-302 Siennica Nadolna PCK nr 6A, 6B, 6C, 6D,6E
Spółdzielnia Mieszkaniowa Budowy Mieszkań Własnościowych "TEMPO", ul. Szkolna 7/91, Spółdzielnia Mieszkań Własnościowych
przy ZPO "CORA-TEX" ul. Szkolna 7
Wspólnota Mieszkaniowa Nr 1, ul. Okrzei 24
Wspólnota Mieszkaniowa Nr 2, ul. Okrzei 26, Wspólnota Mieszkaniowa Nr 3, ul. Okrzei 28, Wspólnota Mieszkaniowa Nr 4, ul. Okrzei 30,
Wspólnota Mieszkaniowa Nr 5, ul. Okrzei 32
Wspólnota Mieszkaniowa Nr 6, ul. Okrzei 42, Wspólnota Mieszkaniowa Nr 7, ul. Okrzei 44, Wspólnota Mieszkaniowa Nr 8, ul. Okrzei 46,
Wspólnota Mieszkaniowa Nr 9, ul. Okrzei 48
Wspólnota Mieszkaniowa Nr 13, ul.Poniatowskiego 22, TBS, ul. Poniatowskiego 20A
TBS, ul. Piekarskiego 6
Wspólnota Mieszkaniowa Nr 40, ul. Piekarskiego 10
Wspólnota Mieszkaniowa Nr 108, ul. Okrzei 15
Wspólnota Mieszkaniowa, ul. Sobieskiego 5B
Wspólnota Mieszkaniowa, ul. Sobieskiego 5C
Wspólnota Mieszkaniowa, ul. Sobieskiego 5D
ul. Pocztowa 1, Blok
Wspólnota Mieszkaniowa, ul. Leśna 1A
FTK Sp. z o.o. ul. Leśna 2A
Spóldzielnia Mieszkaniowa "BOREK", ul. Leśna 3D
TBS, ul. Leśna 3A, Wspólnota Mieszkaniowa Nr 43, ul. Leśna 3B, Wspólnota Mieszkaniowa Nr 44, ul. Leśna 3C
Wspólnota Mieszkaniowa „Borek”, ul. Leśna 5
TBS, ul. Leśna 7
Wspólnota Mieszkaniowa Nr 11, ul. Piłsudskiego 16
Wspólnota Mieszkaniowa Nr 38, ul. Piłsudskiego 52
Prosimy o wystawianie ww. odpadów przy kontenerach na zmieszane odpady komunalne w dniu odbioru
do godz. 700.
Jednocześnie informujemy, że ww. odpady mieszkańcy Krasnegostawu mogą dostarczać osobiście do
Zakładu Oczyszczania i Dróg przy ul. Piłsudskiego 54 od poniedziałku do piątku w godz. od 700 do 1500.
WTOREK
HARMONOGRAM WYWOZU ODPADÓW WIELKOGABARYTOWYCH (np. meble, szafy, krzesła, dywany
itp.), ZUŻYTEGO SPRZĘTU ELEKTRYCZNEGO I ELEKTRONICZNEGO (np. telewizory, lodówki, pralki,
monitory, odkurzacze itp.) ORAZ ZUŻYTYCH OPON Z SAMOCHODÓW OSOBOWYCH W MIESIĄCACH:
MAJ
LIPIEC
PAŹDZIERNIK
20.05.2014 r.
15.07.2014 r.
7.10.2014 r.
UL. PIŁSUDSKIEGO
UL. BOJARSKIEGO
UL. RZECZNA
UL. CEGIELNIANA
UL. KRAKOWSKIE PRZEDMIEŚCIE
UL. KONOPNICKIEJ
UL. SIKORSKIEGO
UL. PIEKARSKIEGO
UL. ZACISZE
UL. ZIELONA
UL. KAMIEŃSKIEJ
UL. PORUCZNIKA ZRĘBA
UL. SZARYCH SZEREGÓW
OSIEDLE KOMPOZYTORÓW: ul. Bacha, ul. Szymanowskiego, ul. Paderewskiego, ul. Wagnera, ul. Chopina,
ul. Mozarta, ul. Czajkowskiego, ul. Moniuszki, ul. Lutosławskiego
Harmonogramy wywozu odpadów komunalnych dostępne są także na stronie internetowej www.pgkkrasnystaw.pl
Prosimy o wystawianie ww. odpadów w dniu odbioru do godz. 700.
Jednocześnie informujemy, że ww. odpady mieszkańcy Krasnegostawu mogą dostarczać osobiście do Zakładu
Oczyszczania i Dróg przy ul. Piłsudskiego 54 od poniedziałku do piątku w godz. od 700 do 1500.
ŚRODA
HARMONOGRAM WYWOZU ODPADÓW WIELKOGABARYTOWYCH (np. meble, szafy, krzesła, dywany
itp.), ZUŻYTEGO SPRZĘTU ELEKTRYCZNEGO I ELEKTRONICZNEGO (np. telewizory, lodówki, pralki,
monitory, odkurzacze itp.) ORAZ ZUŻYTYCH OPON Z SAMOCHODÓW OSOBOWYCH W MIESIĄCACH:
MAJ
LIPIEC
PAŹDZIERNIK
21.05.2014 r.
16.07.2014 r.
8.10.2014 r.
UL. A. JAGIELLONKI
UL. LITEWSKA
UL. KR. JADWIGI
UL. WŁ.JAGIEŁŁY
UL. Z. AUGUSTA
UL. KR. SOŃKI
UL. KR. BONY
UL. OKRZEI (całość)
UL. GRUNWALDZKA
Harmonogramy wywozu odpadów komunalnych dostępne są także na stronie internetowej www.pgkkrasnystaw.pl
Prosimy o wystawianie ww. odpadów w dniu odbioru do godz. 700.
Jednocześnie informujemy, że ww. odpady mieszkańcy Krasnegostawu mogą dostarczać osobiście do Zakładu
Oczyszczania i Dróg przy ul. Piłsudskiego 54 od poniedziałku do piątku w godz. od 700 do 1500.
CZWARTEK
HARMONOGRAM WYWOZU ODPADÓW WIELKOGABARYTOWYCH (np. meble, szafy, krzesła, dywany
itp.), ZUŻYTEGO SPRZĘTU ELEKTRYCZNEGO I ELEKTRONICZNEGO (np. telewizory, lodówki, pralki,
monitory, odkurzacze itp.) ORAZ ZUŻYTYCH OPON Z SAMOCHODÓW OSOBOWYCH W MIESIĄCACH:
MAJ
LIPIEC
PAŹDZIERNIK
22.05.2014 r.
17.07.2014 r.
9.10.2014 r.
UL. MOSTOWA
UL. MIODOWA
UL. BŁONIE
UL. GROBLA
UL. NIECZAJA
UL. ZAWIEPRZE
UL. PRZESKOK
UL. KRÓTKA
UL. PODWALE
UL. PRZEMYSŁOWA
UL. PSZCZELA
UL. BROWARNA
PLAC 3-go MAJA
UL. PCK
UL. CICHA
UL. MATYSIAKA
UL. CZYSTA
UL. ZAMKOWA
UL. KOŚCIELNA
UL. ZAUŁEK NADRZECZNY
UL. PARTYZANTÓW
UL. ŻURKA
Zabudowa wielorodzinna:
TBS: ul. Mickiewicza 3, ul. Matysiaka 13, ul. Partyzantów 12,
Miasto Krasnystaw: ul. Przemysłowa 11, ul. Kościelna 8, ul. Kościelna 8a, ul. Kościelna 3, Plac 3-go Maja 19, Plac 3-go Maja 22,
Plac 3-go Maja 22A, Plac 3-go Maja 22B, ul. Partyzantów 19,
S.M. „Medyk” ul. Czysta 16
Wspólnoty Mieszkaniowe: Plac 3-go Maja 3, Plac 3-go Maja 4, Plac 3-go Maja 5, Plac 3-go Maja 7, ul. Czysta 14, ul. Czysta 4, ul.
Czysta 4a, ul. Żurka 2,
Harmonogramy wywozu odpadów komunalnych dostępne są także na stronie internetowej www.pgkkrasnystaw.pl
Prosimy o wystawianie ww. odpadów w dniu odbioru do godz. 700.
Jednocześnie informujemy, że ww. odpady mieszkańcy Krasnegostawu mogą dostarczać osobiście do Zakładu
Oczyszczania i Dróg przy ul. Piłsudskiego 54 od poniedziałku do piątku w godz. od 700 do 1500.
PIĄTEK
HARMONOGRAM WYWOZU ODPADÓW WIELKOGABARYTOWYCH (np. meble, szafy, krzesła, dywany
itp.), ZUŻYTEGO SPRZĘTU ELEKTRYCZNEGO I ELEKTRONICZNEGO (np. telewizory, lodówki, pralki,
monitory, odkurzacze itp.) ORAZ ZUŻYTYCH OPON Z SAMOCHODÓW OSOBOWYCH W MIESIĄCACH:
MAJ
LIPIEC
PAŹDZIERNIK
23.05.2014 r.
18.07.2014 r.
10.10.2014 r.
UL. KOŁOWRÓT
UL. ŁĄKOWA
UL. PONIATOWSKIEGO
UL. TOPOLOWA
UL. SZKOLNA
UL. POLEWANA
UL. RYBIA
UL. GAWRYŁOWA
UL. KACZA
UL. KILIŃSKIEGO
UL. KOŚCIUSZKI i boczne
UL. BOCIANIA
UL. WSPÓLNA
Harmonogramy wywozu odpadów komunalnych dostępne są także na stronie internetowej www.pgkkrasnystaw.pl
Prosimy o wystawianie ww. odpadów w dniu odbioru do godz. 700.
Jednocześnie informujemy, że ww. odpady mieszkańcy Krasnegostawu mogą dostarczać osobiście do Zakładu
Oczyszczania i Dróg przy ul. Piłsudskiego 54 od poniedziałku do piątku w godz. od 700 do 1500.