Hutnictwo żelaza i metali nieżelaznych w Polsce

Transkrypt

Hutnictwo żelaza i metali nieżelaznych w Polsce
HUTNICTWO ŻELAZA I METALI NIEŻELAZNYCH W POLSCE
I. HUTNICTWO ŻELAZA
1. Bazuje na surowcach importowanych. Rudy Fe importujemy już od połowy XIX
wieku. Przyczyną importu jest fakt niskiej jakości polskich rud (syderyty i
sferosyderyty) lub ich niekorzystne zaleganie (okolice Suwałk), czy zbyt duże koszty
wydobycia.
2. Jeszcze niedawno wydobywaliśmy rudy żelaza w:
v Rejonie Kłobucka i Częstochowy
v Rejonie Końskich i Starachowic (okręg staropolski)
v Rejonie Łęczycy
3. Oprócz bazy surowcowej ważnym czynnikiem lokalizacji hutnictwa jest baza
energetyczna. Z tym elementem nie ma w Polsce problemów. Nasz kraj jest bogaty w
zasoby i dużo wydobywa węgla koksującego. Czynnik energetyczny spowodował,
że najwięcej hut Fe zlokalizowano w Górnośląskim Zagłębiu Węglowym.
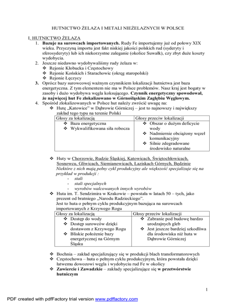
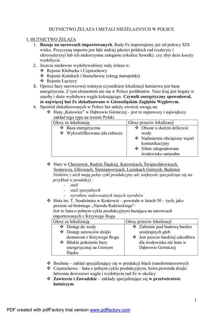
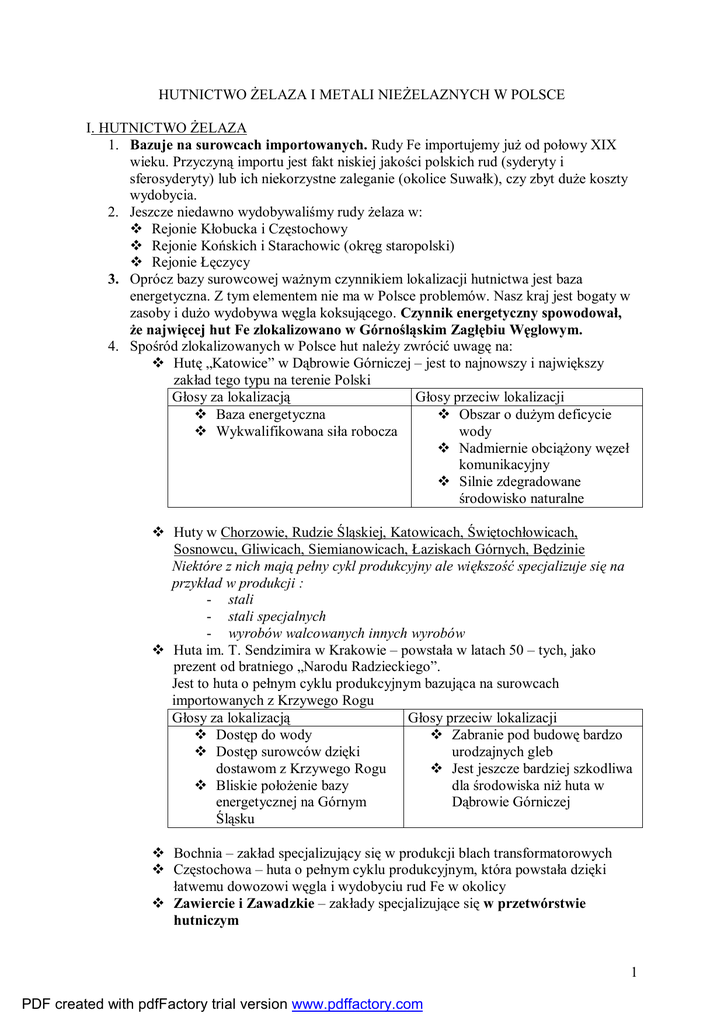
4. Spośród zlokalizowanych w Polsce hut należy zwrócić uwagę na:
v Hutę „Katowice” w Dąbrowie Górniczej – jest to najnowszy i największy
zakład tego typu na terenie Polski
Głosy za lokalizacją
Głosy przeciw lokalizacji
v Baza energetyczna
v Obszar o dużym deficycie
v Wykwalifikowana siła robocza
wody
v Nadmiernie obciążony węzeł
komunikacyjny
v Silnie zdegradowane
środowisko naturalne
v Huty w Chorzowie, Rudzie Śląskiej, Katowicach, Świętochłowicach,
Sosnowcu, Gliwicach, Siemianowicach, Łaziskach Górnych, Będzinie
Niektóre z nich mają pełny cykl produkcyjny ale większość specjalizuje się na
przykład w produkcji :
- stali
- stali specjalnych
- wyrobów walcowanych innych wyrobów
v Huta im. T. Sendzimira w Krakowie – powstała w latach 50 – tych, jako
prezent od bratniego „Narodu Radzieckiego”.
Jest to huta o pełnym cyklu produkcyjnym bazująca na surowcach
importowanych z Krzywego Rogu
Głosy za lokalizacją
Głosy przeciw lokalizacji
v Dostęp do wody
v Zabranie pod budowę bardzo
v Dostęp surowców dzięki
urodzajnych gleb
dostawom z Krzywego Rogu
v Jest jeszcze bardziej szkodliwa
v Bliskie położenie bazy
dla środowiska niż huta w
energetycznej na Górnym
Dąbrowie Górniczej
Śląsku
v Bochnia – zakład specjalizujący się w produkcji blach transformatorowych
v Częstochowa – huta o pełnym cyklu produkcyjnym, która powstała dzięki
łatwemu dowozowi węgla i wydobyciu rud Fe w okolicy
v Zawiercie i Zawadzkie – zakłady specjalizujące się w przetwórstwie
hutniczym
1
PDF created with pdfFactory trial version www.pdffactory.com
v Ostrowiec Świętokrzyski – powstała w Staropolskim Okręgu Przemysłowym.
Dzisiaj specjalizuje się w produkcji stali metodą elektrolityczną oraz w
przetwórstwie hutniczym
v Stalowa Wola – powstała na potrzeby przemysłu zbrojeniowego w
Centralnym Okręgu Przemysłowym. Specjalizuje się w produkcji stali
elektrolitycznej i wyrobach przemysłu elektromaszynowego.
v Warszawa (włoskiej firmy Lucchini) – specjalizuje się w produkcji stali
szlachetnych i wyrobów walcowanych.
Głosy za lokalizacją
Głosy przeciw lokalizacji
v Duża część surowców
sprowadzana jest z południa
kraju
v Konieczność budowy gazociągu
na potrzeby huty
v Brak wykwalifikowanej siły
roboczej
v Uniemożliwia rozwój zabudowy
miejskiej w kierunku północno zachodnim
5. Sytuacja polskiego hutnictwa żelaza.
v Polskie hutnictwo zostało nadmiernie rozbudowane za czasów PRL-u
v Przechodzi głęboki regres o czym świadczy m.in. fakt zmniejszenia produkcji stali
z 17 mln ton w latach ’80-tych do 8,8 mln ton w 1998
v Spadek produkcji jest związany ze zmniejszeniem zapotrzebowania na stal na
polskim rynku oraz importem lepszej jakościowo stali z krajów UE (mimo
wysokiego cła, które ma chronić rodzimą produkcję)
v Większość hut opiera się na przestarzałych technologiach, które są energo i
kapitałochłonne. Wytwarzana stal jest niskiej jakości i nie nadaje się do produkcji
części wyrobów
v Polskie hutnictwo wymaga generalnej modernizacji, polegającej na zmniejszeniu
kosztów produkcji, poprawie jakości wyrobów oraz zmianie struktury produkcji a
co za tym idzie wprowadzeniu nowych technologii
v Coraz mniej produkuje się stali w przestarzałych piecach martenowskich – rośnie
produkcja w piecach konwerterowo – tlenowych oraz elektrycznych ale wzrost ten
nie jest miarodajny biorąc pod uwagę tak duży spadek produkcji stali
v 40% stali produkujemy metodą ciągłego odlewania stali, gdy tymczasem w
krajach UE blisko 90%
v rozszerzenia wymaga asortyment drobnych wyrobów. Polskie hutnictwo musi
zacząć produkować nie tylko więcej wyrobów ale muszą to być wyroby wysoko
przetworzone, o wysokiej jakości. Wiąże się to jednak z wysokimi nakładami
kapitału.
v Prywatyzacji poddano tylko hutę w Warszawie – innymi zakładami nie jest jak na
razie zainteresowany kapitał obcy. Trzeba wziąć pod uwagę fakt, że huty
zachodnioeuropejskie i tak produkują za dużo jak na swoje potrzeby i muszą
zapewnić zbyt swoim wyrobom. Nie opłaca się im inwestować w konkurencję,
która bardzo zanieczyszcza środowisko i ma tańszą siłę roboczą
v Sytuacja polskiego hutnictwa jest jednym z newralgicznych punktów naszych
negocjacji z UE. Konieczne będą zwolnienia grupowe w tym sektorze gospodarki.
Poza tym Polska chciałaby utrzymać wielkość produkcji na poziomie 12 mln ton
na co nie może zgodzić się Unia.
2
PDF created with pdfFactory trial version www.pdffactory.com
v Na razie huty drastycznie zmniejszają zatrudnienie. Wszystkie duże zakłady mają
problemy finansowe.
II. HUTNICTWO METALI NIEŻELAZNYCH
1. Baza surowcowa:
a) w Polsce wydobywamy rudy miedzi w Zagłębiu Lubińsko – głogowskim.
- Rudy zawierają ok. 2% Cu i zalegają na głębokościach od
800 do 1500 m.
- Ze względu na trudne warunki hydrogeologiczne koszty wydobycia
są duże ale rudy te zawierają również
- domieszki innych metali np. Ag, co daje Polsce 7 miejsce w
wydobyciu srebra na świecie z produkcją od 800 do 1000 ton.
- Na tym terenie pracują 4 kopalnie: „Lubin”. „Polkowice”,
„Sieroszowice”, „Rudna”
b) rudy cynku i ołowiu wydobywamy we wschodniej części GOP-u w okolicach
Olkusza, Bytomia i Trzebini. Niektóre ze złóż są eksploatowane od XIII
wieku. Pokłady zalegają płytko, są miąższe ale zawierają zaledwie 3 – 4,5% , a
ołowiu tylko 1 – 1,4%.
c) tlenek glinu sprowadzamy z Węgier (jest on niezbędny do produkcji
aluminium)
2. Hutnictwo miedzi
a) w LGOM (Legnicko – Głogowski Okręg Miedziowy) działają huty „Głogów”
i „Legnica”
b) produkują one 447 tys. t miedzi elektrolitycznej (1998) z czego 45% zostało
przeznaczone na eksport
c) w Orsku koło Głogowa działa bezwlewkowa walcownia miedzi
d) przetwórstwo miedzi ma również miejsce w zakładach zlokalizowanych w
Czechowicach – Dziedzicach, Katowicach, Będzinie, Gliwicach oraz
zakładach „Hutmen” we Wrocławiu
e) przetwórstwo miedzi jest niedorozwinięte
3. Hutnictwo cynku i ołowiu
a) podstawowymi czynnikami lokalizacji hut Zn i Pb jest duże zużycie energii,
nieopłacalność przewożenia rud na duże odległości
b) huty zlokalizowano w Miasteczku Śląskim, Piekarach Śląskich, Bukownie,
Trzebini i Katowicach
c) produkcja cynku w 1998 wynosiła 178 tys. t
d) spadła produkcja ołowiu, która w 1998 wynosiła 44 tys. t
4. Hutnictwo aluminium
a) jest najbardziej energochłonną gałęzią przemysłu dlatego decydującym
czynnikiem lokalizacji hut aluminium jest baza energetyczna. Do wytworzenia
1 t aluminium potrzeba 15 tys. kWh
b) do niedawna w Polsce istniały dwie huty, ale ze względu na bardzo dużą
degradację środowiska i zabytków Krakowa zamkniętą hutę w Skawinie
c) jedyną działającą hutą aluminium na terenie Polski jest huta w Koninie –
Malińcu
d) produkcja aluminium w Polsce wynosi 55 tys. t co zaspokaja nasze
zapotrzebowanie w połowie.
3
PDF created with pdfFactory trial version www.pdffactory.com
Źródło: Atlas Geograficzny, Świat. Polska. Wydawnictwo Nowa Era
4
PDF created with pdfFactory trial version www.pdffactory.com