KONSPEKT ZAJĘĆ LEKCYJNYCH Z PIŁKI NOŻNEJ dla SZKOŁY

Transkrypt

KONSPEKT ZAJĘĆ LEKCYJNYCH Z PIŁKI NOŻNEJ dla SZKOŁY
KONSPEKT ZAJĘĆ LEKCYJNYCH Z PIŁKI NOŻNEJ
dla SZKOŁY PODSTAWOWEJ
Temat: Nauczanie techniki zwodu, oraz strzałów do bramki nogami.
Cele operacyjne zajęć:
U: prowadzenie i uderzenie piłki nogą,
S: koordynacja ruchowa, zwinność, zwrotność
W: technika zwodu
P: współpraca i zdrowe zasady rywalizacji.
Warunki prowadzenia lekcji:
Ilość ćwiczących: 18 osób
Miejsce: hala sportowa
Przybory i przyrządy: piłki, paliki, bramki
Czas trwania:90 min (2 * 45)
Klasa: V i VI
Prowadzący: mgr Grzegorz Bączek
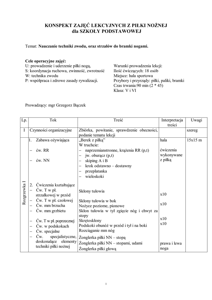
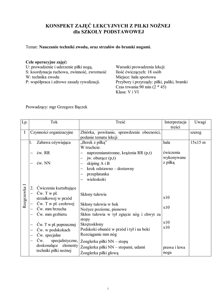
Lp.
I
Tok
Czynności organizacyjne
1.
Zabawa ożywiająca
 ćw. RR
Rozgrzewka I
 ćw. NN
2. Ćwiczenia kształtujące
 Ćw. T w pł.
strzałkowej w przód
 Ćw. T w pł. czołowej
 Ćw. mm brzucha
 Ćw. mm grzbietu




Treść
Zbiórka, powitanie, sprawdzenie obecności,
podanie tematu lekcji
„Berek z piłką”
W truchcie:
 naprzemianstronne, krążenia RR (p,t)
 jw. oburącz (p,t)
 skiping A i B
 krok odstawno – dostawny
 przeplatanka
 wieloskoki
Skłony tułowia
Interpretacja
treści
szereg
hala
ćwiczenia
wykonywane
z piłką
x10
Skłony tułowia w bok
x10
Nożyce poziome, pionowe
Skłon tułowia w tył zgięcie nóg i chwyt za
stopy
x10
Skrętoskłony
x10
Podskoki obunóż w przód i tył i na boki
Rozciąganie mm nóg
Ćw. T w pł. poprzecznej
Ćw. w podskokach
Ćw. specjalne
Ćw.
specjalistyczne, Żonglerka piłki NN – stopą
doskonalące elementy Żonglerka piłki NN – stopami, udami
techniki piłki nożnej
Żonglerka piłki głową
1
Uwagi
prawa i lewa
noga
15x15 m
1. Ćwiczenia technicznotaktyczne w formie
gier i zabaw
 Zabawa „sztafeta slalomowa”
Dwa jednakowe slalomy (5 chorągiewek) w
odległości 3m. Zawodnik po ukończeniu slalomu
podaje piłkę i sam biegnie na koniec rzędu.
Wygrywa zespół, który pierwszy ukończy
sztafetę.
prowadzenie
piłki nogą
dalszą od
pachołka
dwa
zespoły
prowadzenie z piłką

⌂
⌂
⌂
⌂
⌂
⌂
⌂
podanie

⌂
⌂
⌂
podanie
II Główna
2. Ćwiczenia technicznotaktyczne w formie
ścisłej
1. Pokaz i objaśnienie zwodu pojedynczego
(przenoszenie ciężaru ciała z nogi na nogę)
2. Ćwiczenia zwodu bez przeciwnika
3. Ćwiczenia zwodu z przeciwnikiem
 W dwójkach naprzeciw siebie, zawodnik A
podaje piłkę nogą po ziemi i atakuje
zawodnika B, który po opanowaniu piłki
wykonuje zwód
 Jw. po dorzucie piłki i przyjęciu udem
 Jw. po dorzucie piłki i przyjęciu klatką
piersiową
A
ćwiczenia
w dwójkach
x10 zmiana
ćwiczących
B
3. Ćwiczenia zwodu w grupie zawodników
na ograniczonej przestrzeni - zabawa z
wybijaniem piłki przeciwnikowi
4. Ćwiczenia zwodu w dwójkach (1x1) do
wyznaczonej linii





4. Ćwiczenia techniczno taktyczne w formie gry 5. Zwód w sytuacji 1x1 zakończony
strzałem (prawa i lewą nogą) na bramkę
6. Gra szkolna
Zadanie:
 dojść do pozycji strzeleckiej przy
wykorzystaniu zwodu.
III Ćwiczenia uspokajające
Trucht z piłką dookoła sali
Zakończenie lekcji
Zbiórka,
omówienie
lekcji,
sportowe
pożegnanie
3. Ćwiczenia technicznotaktyczne w sytuacji
1x1
2
każdy z piłką
zmiana
 - napastnik, ćwiczących
 - obrońca
podział na
zespoły
2 okrążenia
szereg