OGŁOSZENIE Burmistrz Polkowic zaprasza krajowych i

Transkrypt

OGŁOSZENIE Burmistrz Polkowic zaprasza krajowych i
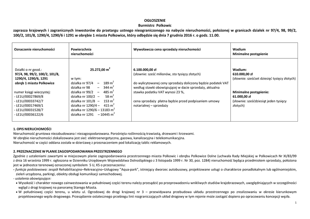
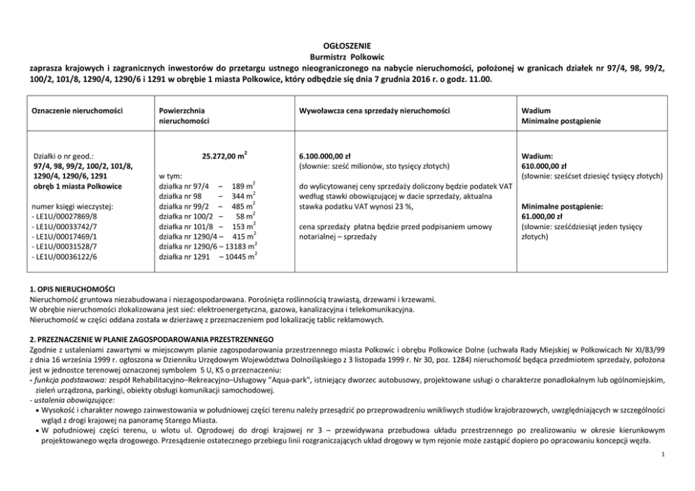
OGŁOSZENIE
Burmistrz Polkowic
zaprasza krajowych i zagranicznych inwestorów do przetargu ustnego nieograniczonego na nabycie nieruchomości, położonej w granicach działek nr 97/4, 98, 99/2,
100/2, 101/8, 1290/4, 1290/6 i 1291 w obrębie 1 miasta Polkowice, który odbędzie się dnia 7 grudnia 2016 r. o godz. 11.00.
Oznaczenie nieruchomości
Działki o nr geod.:
97/4, 98, 99/2, 100/2, 101/8,
1290/4, 1290/6, 1291
obręb 1 miasta Polkowice
numer księgi wieczystej:
- LE1U/00027869/8
- LE1U/00033742/7
- LE1U/00017469/1
- LE1U/00031528/7
- LE1U/00036122/6
Powierzchnia
nieruchomości
2
25.272,00 m
w tym:
2
działka nr 97/4 – 189 m
2
działka nr 98
– 344 m
2
działka nr 99/2 – 485 m
2
działka nr 100/2 –
58 m
działka nr 101/8 – 153 m2
działka nr 1290/4 – 415 m2
działka nr 1290/6 – 13183 m2
działka nr 1291 – 10445 m2
Wywoławcza cena sprzedaży nieruchomości
Wadium
Minimalne postąpienie
6.100.000,00 zł
(słownie: sześć milionów, sto tysięcy złotych)
Wadium:
610.000,00 zł
(słownie: sześćset dziesięć tysięcy złotych)
do wylicytowanej ceny sprzedaży doliczony będzie podatek VAT
według stawki obowiązującej w dacie sprzedaży, aktualna
stawka podatku VAT wynosi 23 %,
cena sprzedaży płatna będzie przed podpisaniem umowy
notarialnej – sprzedaży
Minimalne postąpienie:
61.000,00 zł
(słownie: sześćdziesiąt jeden tysięcy
złotych)
1. OPIS NIERUCHOMOŚCI
Nieruchomość gruntowa niezabudowana i niezagospodarowana. Porośnięta roślinnością trawiastą, drzewami i krzewami.
W obrębie nieruchomości zlokalizowana jest sieć: elektroenergetyczna, gazowa, kanalizacyjna i telekomunikacyjna.
Nieruchomość w części oddana została w dzierżawę z przeznaczeniem pod lokalizację tablic reklamowych.
2. PRZEZNACZENIE W PLANIE ZAGOSPODAROWANIA PRZESTRZENNEGO
Zgodnie z ustaleniami zawartymi w miejscowym planie zagospodarowania przestrzennego miasta Polkowic i obrębu Polkowice Dolne (uchwała Rady Miejskiej w Polkowicach Nr XI/83/99
z dnia 16 września 1999 r. ogłoszona w Dzienniku Urzędowym Województwa Dolnośląskiego z 3 listopada 1999 r. Nr 30, poz. 1284) nieruchomość będąca przedmiotem sprzedaży, położona
jest w jednostce terenowej oznaczonej symbolem 5 U, KS o przeznaczeniu:
- funkcja podstawowa: zespół Rehabilitacyjno–Rekreacyjno–Usługowy ”Aqua-park", istniejący dworzec autobusowy, projektowane usługi o charakterze ponadlokalnym lub ogólnomiejskim,
zieleń urządzona, parkingi, obiekty obsługi komunikacji samochodowej.
- ustalenia obowiązujące:
 Wysokość i charakter nowego zainwestowania w południowej części terenu należy przesądzić po przeprowadzeniu wnikliwych studiów krajobrazowych, uwzględniających w szczególności
wgląd z drogi krajowej na panoramę Starego Miasta.
 W południowej części terenu, u wlotu ul. Ogrodowej do drogi krajowej nr 3 – przewidywana przebudowa układu przestrzennego po zrealizowaniu w okresie kierunkowym
projektowanego węzła drogowego. Przesądzenie ostatecznego przebiegu linii rozgraniczających układ drogowy w tym rejonie może zastąpić dopiero po opracowaniu koncepcji węzła.
1
 Do czasu opracowania koncepcji proj. węzła drogowego zaleca się ustalanie czasowych lokalizacji dla ew. zainwestowania w sąsiedztwie ul. Ogrodowej.
 Realizując zagospodarowanie terenów leżących na południe od Aquaparku zaleca się zachowanie możliwości poprowadzenia tędy ciągu pieszego łączącego Nowe Polkowice ze Starym
Miastem. Ciąg pieszy przewiduje się wzdłuż ulicy zbiorczej oznaczonej K 17 Z, kładką nad drogą krajową i dalej w kierunku ul. Zachodniej.
 Tereny wzdłuż drogi krajowej zaleca się rezerwować pod zieleń izolacyjną lub ewentualnie osłony ograniczające uciążliwość hałasu drogowego.
Na przedmiotowym terenie obowiązuje studium uwarunkowań i kierunków zagospodarowania przestrzennego gminy Polkowice, zatwierdzone uchwałą Rady Miejskiej w Polkowicach Nr
XXXVI/418/14 z dnia 16 kwietnia 2014 r. Zgodnie z tym dokumentem, przedmiotowe działki znajdują się na obszarze o symbolu 3.U - tereny z przewagą usług. Zgodnie z ustaleniami studium
2
na tym terenie nie jest możliwa lokalizacja obiektów handlowych o powierzchni sprzedaży przekraczającej 400 m .
W dniu 31 stycznia 2012 r. Rada Miejska w Polkowicach podjęła uchwałę Nr XV/165/12 w sprawie przystąpienia do sporządzenia miejscowego planu zagospodarowania przestrzennego dla
terenów górniczych w obrębach: Polkowice I, II, III i IV w gminie Polkowice. Ustalenia studium są wiążące dla organów gminy przy sporządzaniu planów miejscowych, zatem projekt
opracowywanego planu miejscowego sporządzony zgodnie z zapisami studium.
3. SPOSÓB ZAGOSPODAROWANIA NIERUCHOMOŚCI
Zagospodarowanie nieruchomości nastąpi pod zabudowę handlowo-usługową.
Uwagi:
- w przypadku kolizji inwestycji z zielenią, ewentualne jej usunięcie może nastąpić zgodnie z obowiązującymi przepisami prawa,
- wszelkie uzgodnienia z właścicielami mediów i dróg nabywca nieruchomości wykona we własnym zakresie i na własny koszt; niezbędną infrastrukturę potrzebną do funkcjonowania
planowanej zabudowy oraz ewentualną przebudowę istniejącego uzbrojenia terenu Nabywca wykona we własnym zakresie i na własny koszt w porozumieniu z właścicielami sieci.
4. ZOBOWAZANIA I KARY UMOWNE
4.1. Sprzedawcy przysługiwało będzie prawo odkupu przedmiotu umowy w terminie 5 lat od daty aktu notarialnego przenoszącego własność nieruchomości po cenie zakupu oraz zwrotu
nakładów koniecznych albo nakładów w granicach istniejącego zwiększenia wartości rzeczy. Prawo odkupu Sprzedawca wykona poprzez oświadczenie o skorzystaniu z tego prawa,
które prześle Nabywcy – pod rygorem nieważności - na piśmie listem poleconym na adres Nabywcy. Nabywca winien zawiadomić Sprzedawcę o zmianie adresu do korespondencji pod
rygorem uznania doręczenia na adres Nabywcy wskazany w umowie sprzedaży za skuteczne. W razie wykonania prawa odkupu Nabywca zobowiązany jest w terminie 7 dni
od otrzymania oświadczenia przenieść powrotem na Sprzedawcę własność przedmiotu umowy. W przypadku uchylania się Nabywcy od złożenia oświadczenia woli w formie aktu
notarialnego Sprzedający naliczy kary umowne w wysokości 200 zł za każdy rozpoczęty dzień opóźnienia w wykonaniu ww. obowiązków .
4.2. Nabywca zobowiązany będzie do zabudowania nieruchomości w terminie 3 lat od daty aktu notarialnego. W przypadku niedotrzymania terminu zabudowy Sprzedający naliczy kary
umowne w wys. 20.000,00 zł za każdy rok opóźnienia i Nabywca dobrowolnie podda się egzekucji zgodnie z art. 777, § 1 pkt 4 kodeksu postępowania cywilnego. Za zabudowanie
nieruchomości rozumie się wybudowanie budynku w stanie surowym zamkniętym z docelową elewacją.
4.3. Zobowiązania, o których mowa w pkt 4.1 i 4.2. stosuje się do kolejnego Nabywcy licząc od dnia pierwotnego nabycia.
5. WADIUM
W przetargu mogą uczestniczyć osoby, które wpłacą wskazane wadium płatne w walucie polskiej na rachunek bankowy Urzędu Gminy Polkowice w PKO BP S.A. I/O Polkowice nr 47 1020
3017 0000 2002 0166 6288, w terminie do dnia 30 listopada 2016 r.
Dowód wpłaty wadium uczestnik przetargu zobowiązany będzie do okazania w dniu przetargu.
Wpłacone wadium zostanie:
5.1.
zaliczone na poczet ceny nabycia nieruchomości, jeżeli osoba wpłacająca wadium wygra przetarg,
5.2.
zwrócone, jeżeli osoba wpłacająca nie wygra przetargu - zwrot wadium na pisemnie wskazane konto bankowe,
3.3. ulegnie przepadkowi, jeżeli osoba wpłacająca wadium wygra przetarg i nie przystąpi bez usprawiedliwienia w wyznaczonym terminie i miejscu do zawarcia umowy notarialnej.
2
6. TERMIN I MIEJSCE PRZETARGU
Przetarg odbędzie się w siedzibie organizatora przetargu w Urzędzie Gminy Polkowice, ul. Rynek 17 –18 sala konferencyjna dnia 7 grudnia 2016 r. o godz. 11.00.
Przetarg może się odbyć bez względu na liczbę uczestników przetargów jeżeli przynajmniej jeden z uczestników przetargu zaoferował co najmniej jedno postąpienie powyżej ceny
wywoławczej.
7. TERMIN I WARUNKI ZAWARCIA UMOWY SPRZEDAŻY
Umowa notarialna sprzedaży nieruchomości nastąpi w przypadku spełnienia wszystkich nw. warunków:
7.1.
wygrania przetargu,
7.2
zapłaty wylicytowanej ceny pomniejszonej o wpłacone wadium przed zawarciem umowy sprzedaży nieruchomości,
7.3.
cudzoziemcy, zgodnie z ustawą z dnia 24 marca 1920 r. o nabywaniu nieruchomości przez cudzoziemców (Dz.U. z 2014 r. poz. 1380 j.t.), w przypadku wygrania przetargu zobowiązani
są przed zawarciem umowy sprzedaży uzyskać zgodę na nabycie nieruchomości w sytuacji gdy zgoda taka jest wymagana,
Organizator przetargu powiadomi osobę ustaloną jako nabywca nieruchomości o miejscu i terminie zawarcia umowy notarialnej - sprzedaży nieruchomości najpóźniej w ciągu 21 dni od dnia
rozstrzygnięcia przetargu. Jeżeli osoba ustalona jako nabywca nieruchomości nie przystąpi bez usprawiedliwienia do zawarcia umowy w wyznaczonym miejscu i terminie, organizator
przetargu może odstąpić od zawarcia umowy sprzedaży, a wpłacone wadium nie podlega zwrotowi.
Przed zawarciem umowy sprzedaży osoba ustalona jako nabywca nieruchomości zobowiązana jest przedłożyć organizatorowi przetargu dowód wpłaty ceny sprzedaży nieruchomości,
potwierdzony przez bank.
Nabywca nieruchomości ponosi koszty sądowe i notarialne.
Nabywa nieruchomość przejmuje nieruchomość w stanie istniejącym, oraz oświadczy, iż zapoznał się ze stanem prawnym i zagospodarowania nieruchomości i przyjmuje je bez zastrzeżeń.
Sprzedający /organizator przetargu/ sprzedaje nieruchomość zgodnie z danym zawartymi w ewidencji gruntów i budynków. Nabywający nie będzie mógł występować z żadnymi roszczeniami
wobec Sprzedającego z tytułu ewentualnych niezgodności w zakresie stanu zagospodarowania nieruchomości, w tym uzbrojenia terenu.
8. OSOBY UPOWAŻNIONE DO KONTAKTU Z OFERENTAMI
Wszelkich dodatkowych informacji i wyjaśnień związanych z niniejszym postępowaniem udzielają pracownicy Wydziału Planowania Przestrzennego, Geodezji i Nieruchomości, Polkowice
ul. Rynek 19 – Wydział Geodezji i Gospodarki Nieruchomościami, tel. (076) 72 46 - 786; 785, e-mail: [email protected] .
3