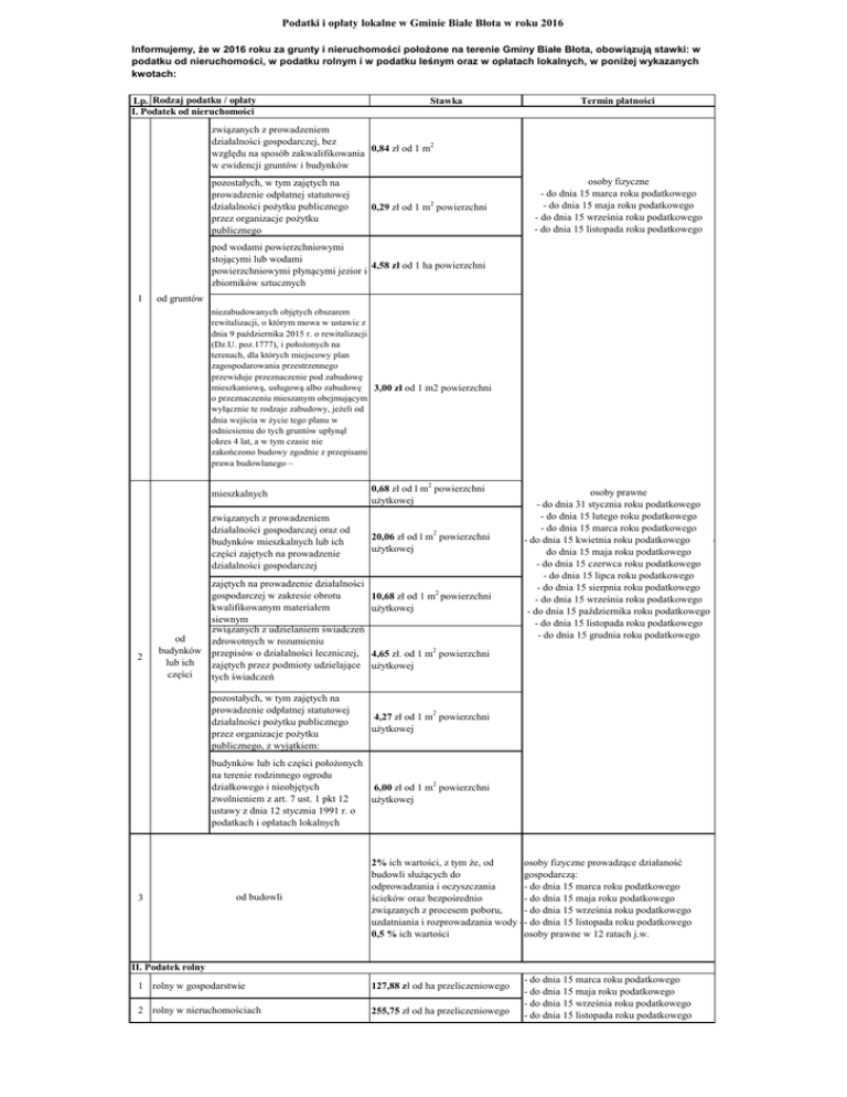
Podatki i opłaty lokalne w Gminie Białe Błota w roku 2016

Transkrypt

Podatki i opłaty lokalne w Gminie Białe Błota w roku 2016
Podatki i opłaty lokalne w Gminie Białe Błota w roku 2016
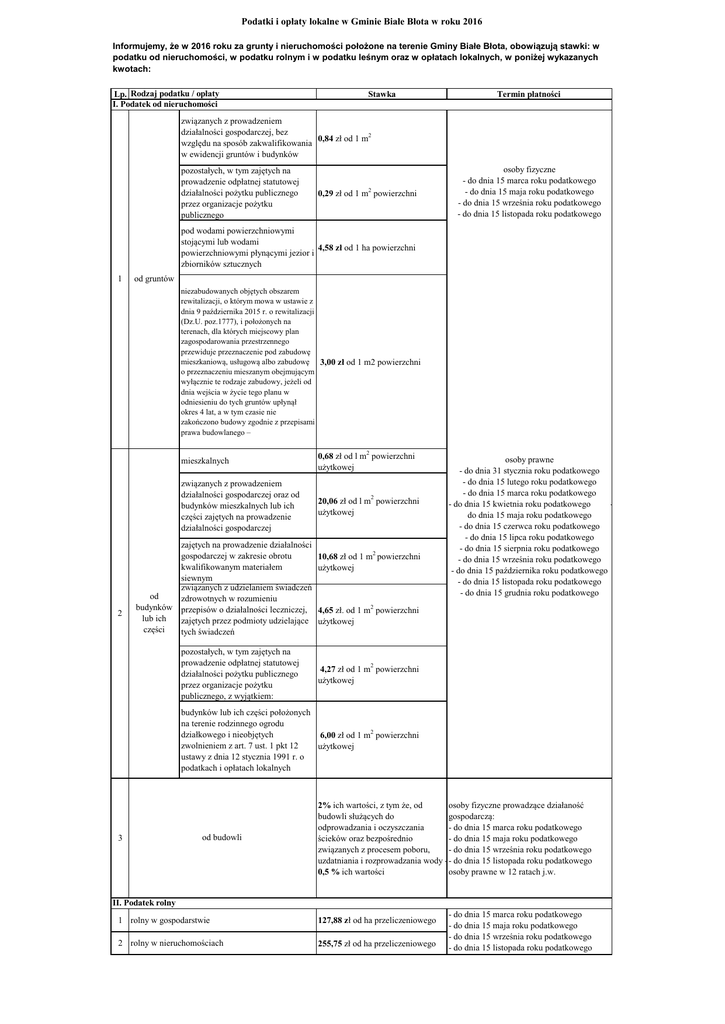
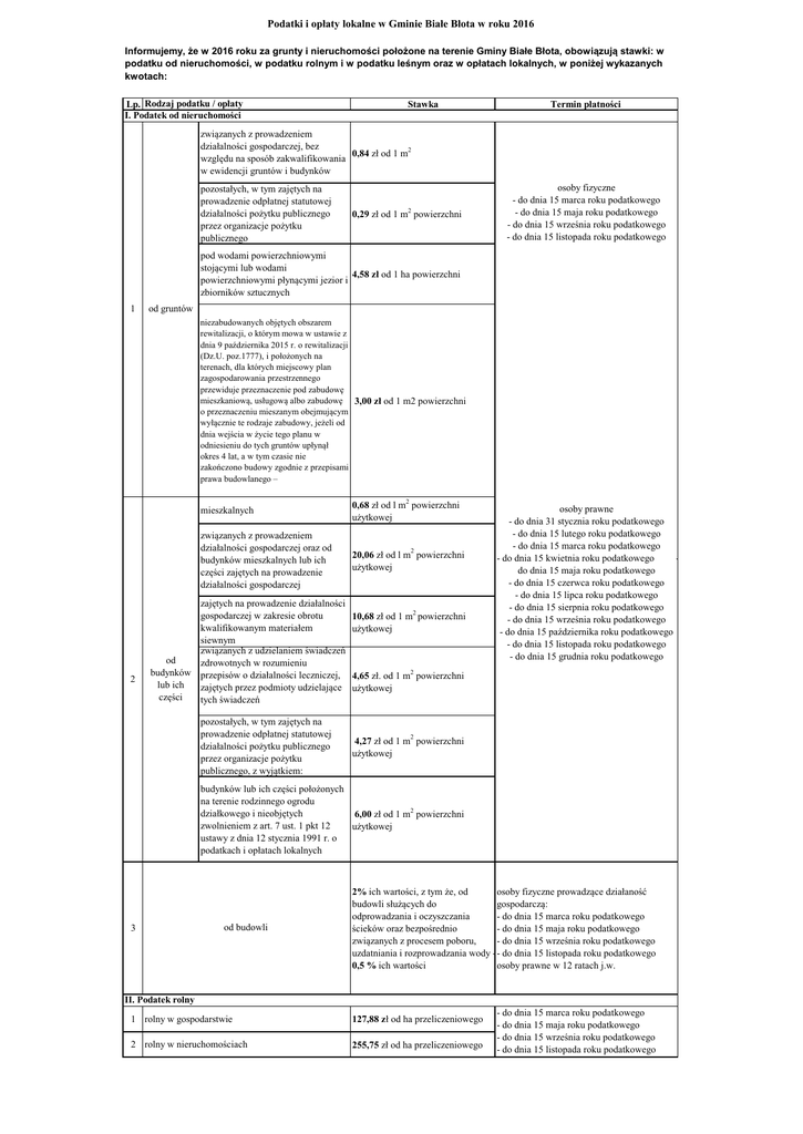
Informujemy, że w 2016 roku za grunty i nieruchomości położone na terenie Gminy Białe Błota, obowiązują stawki: w
podatku od nieruchomości, w podatku rolnym i w podatku leśnym oraz w opłatach lokalnych, w poniżej wykazanych
kwotach:
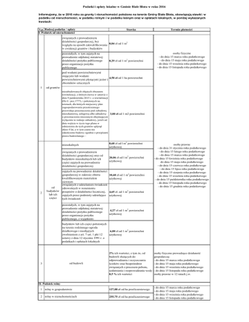
Lp. Rodzaj podatku / opłaty
I. Podatek od nieruchomości
Stawka
Termin płatności
związanych z prowadzeniem
działalności gospodarczej, bez
2
0,84 zł od 1 m
względu na sposób zakwalifikowania
w ewidencji gruntów i budynków
pozostałych, w tym zajętych na
prowadzenie odpłatnej statutowej
działalności pożytku publicznego
przez organizacje pożytku
publicznego
2
0,29 zł od 1 m powierzchni
osoby fizyczne
- do dnia 15 marca roku podatkowego
- do dnia 15 maja roku podatkowego
- do dnia 15 września roku podatkowego
- do dnia 15 listopada roku podatkowego
pod wodami powierzchniowymi
stojącymi lub wodami
4,58 zł od 1 ha powierzchni
powierzchniowymi płynącymi jezior i
zbiorników sztucznych
1
od gruntów
niezabudowanych objętych obszarem
rewitalizacji, o którym mowa w ustawie z
dnia 9 października 2015 r. o rewitalizacji
(Dz.U. poz.1777), i położonych na
terenach, dla których miejscowy plan
zagospodarowania przestrzennego
przewiduje przeznaczenie pod zabudowę
mieszkaniową, usługową albo zabudowę 3,00 zł od 1 m2 powierzchni
o przeznaczeniu mieszanym obejmującym
wyłącznie te rodzaje zabudowy, jeżeli od
dnia wejścia w życie tego planu w
odniesieniu do tych gruntów upłynął
okres 4 lat, a w tym czasie nie
zakończono budowy zgodnie z przepisami
prawa budowlanego –
2
mieszkalnych
0,68 zł od l m2 powierzchni
użytkowej
związanych z prowadzeniem
działalności gospodarczej oraz od
budynków mieszkalnych lub ich
części zajętych na prowadzenie
działalności gospodarczej
20,06 zł od l m2 powierzchni
użytkowej
zajętych na prowadzenie działalności
gospodarczej w zakresie obrotu
kwalifikowanym materiałem
siewnym
związanych z udzielaniem świadczeń
od
zdrowotnych w rozumieniu
budynków przepisów o działalności leczniczej,
lub ich
zajętych przez podmioty udzielające
części
tych świadczeń
pozostałych, w tym zajętych na
prowadzenie odpłatnej statutowej
działalności pożytku publicznego
przez organizacje pożytku
publicznego, z wyjątkiem:
10,68 zł od 1 m2 powierzchni
użytkowej
osoby prawne
- do dnia 31 stycznia roku podatkowego
- do dnia 15 lutego roku podatkowego
- do dnia 15 marca roku podatkowego
- do dnia 15 kwietnia roku podatkowego
do dnia 15 maja roku podatkowego
- do dnia 15 czerwca roku podatkowego
- do dnia 15 lipca roku podatkowego
- do dnia 15 sierpnia roku podatkowego
- do dnia 15 września roku podatkowego
- do dnia 15 października roku podatkowego
- do dnia 15 listopada roku podatkowego
- do dnia 15 grudnia roku podatkowego
4,65 zł. od 1 m2 powierzchni
użytkowej
4,27 zł od 1 m2 powierzchni
użytkowej
budynków lub ich części położonych
na terenie rodzinnego ogrodu
działkowego i nieobjętych
6,00 zł od 1 m2 powierzchni
zwolnieniem z art. 7 ust. 1 pkt 12
użytkowej
ustawy z dnia 12 stycznia 1991 r. o
podatkach i opłatach lokalnych
3
od budowli
2% ich wartości, z tym że, od
osoby fizyczne prowadzące działaność
budowli służących do
gospodarczą:
odprowadzania i oczyszczania
- do dnia 15 marca roku podatkowego
ścieków oraz bezpośrednio
- do dnia 15 maja roku podatkowego
związanych z procesem poboru,
- do dnia 15 września roku podatkowego
uzdatniania i rozprowadzania wody - - do dnia 15 listopada roku podatkowego
osoby prawne w 12 ratach j.w.
0,5 % ich wartości
II. Podatek rolny
1 rolny w gospodarstwie
127,88 zł od ha przeliczeniowego
2 rolny w nieruchomościach
255,75 zł od ha przeliczeniowego
- do dnia 15 marca roku podatkowego
- do dnia 15 maja roku podatkowego
- do dnia 15 września roku podatkowego
- do dnia 15 listopada roku podatkowego
III. Podatek leśny
42,1894 zł od ha
IV. Opłata targowa
przy sprzedaży obnośnej z ręki, kosza, skrzynki,
1
wózka ręcznego itp.
od jednej osoby - 6,00 zł
2 przy sprzedaży z samochodu osobowego,
21,00 zł
przy sprzedaży z innych samochodów niż
wymienione wyżej, przyczep, naczep
40,00 zł
3
przy sprzedaży ze straganów, stołów, namiotów itp.
4 od zajętej powierzchni:
a
do 5 m
b
c
d
osoby fizyczne:
- do dnia 15 marca roku podatkowego
- do dnia 15 maja roku podatkowego
- do dnia 15 września roku podatkowego
- do dnia 15 listopada roku podatkowego
osoby prawne w 12 ratach j.w.
stawka dzienna
13,00 zł
2
2
powyżej 5m do 10 m
2
23,00 zł
2
powyżej 10 m do 15 m
2
powyżej 15 m2
V. Podatek od środków transportowych
34,00 zł
41,00 zł
http://bip.bialeblota.pl/?app=uchwaly&nid
=7057&y=2015
- do dnia 15 lutego roku podatkowego
- do dnia 15 września roku podatkowego