realizacja planu dotacji podmiotowych udzielonych z

Transkrypt

realizacja planu dotacji podmiotowych udzielonych z
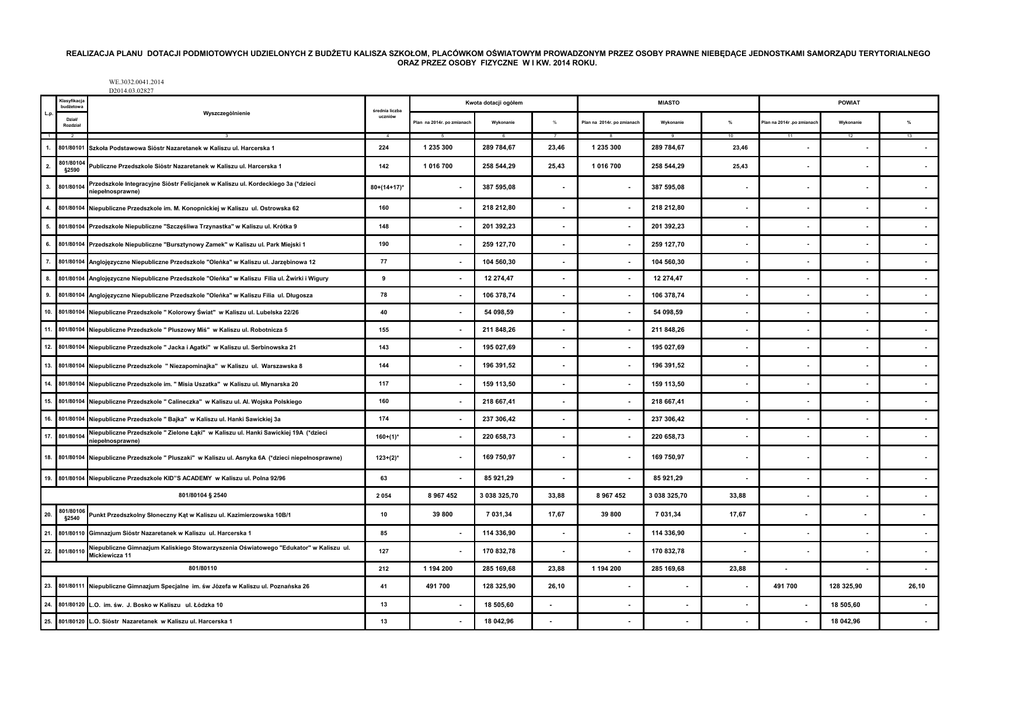
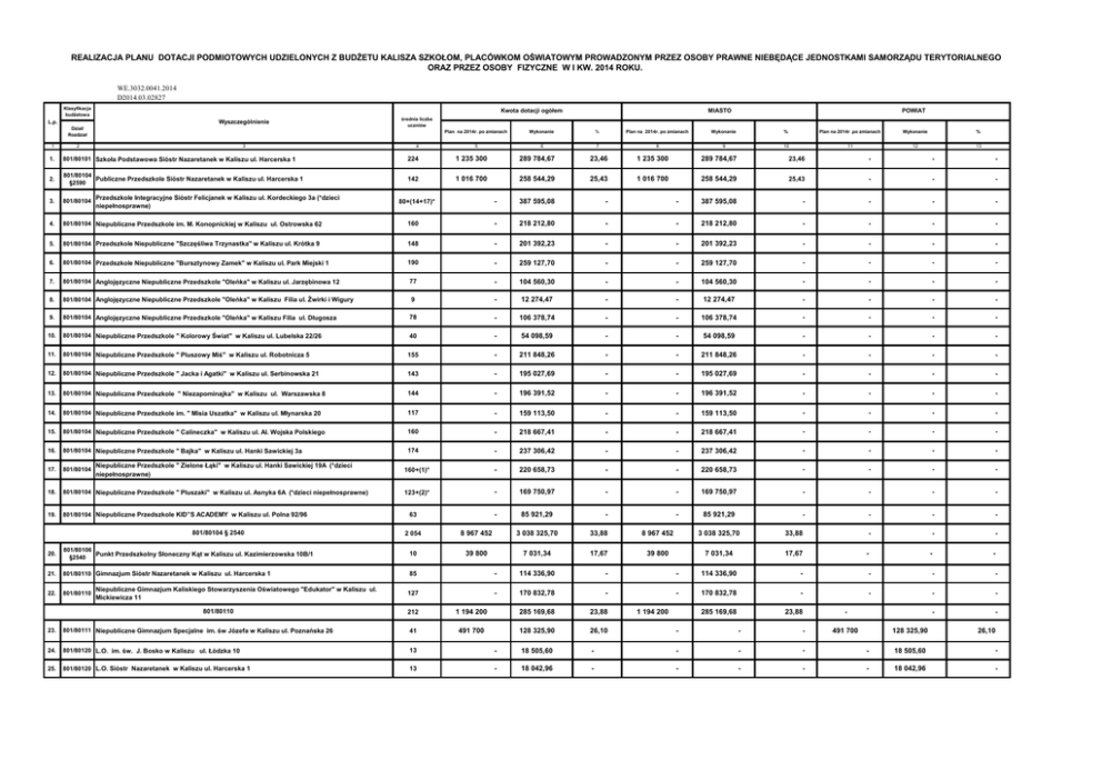
REALIZACJA PLANU DOTACJI PODMIOTOWYCH UDZIELONYCH Z BUDŻETU KALISZA SZKOŁOM, PLACÓWKOM OŚWIATOWYM PROWADZONYM PRZEZ OSOBY PRAWNE NIEBĘDĄCE JEDNOSTKAMI SAMORZĄDU TERYTORIALNEGO
ORAZ PRZEZ OSOBY FIZYCZNE W I KW. 2014 ROKU.
WE.3032.0041.2014
D2014.03.02827
Klasyfikacja
budżetowa
L.p.
Kwota dotacji ogółem
Wyszczególnienie
średnia liczba
uczniów
3
4
Dział/
Rozdział
1
2
MIASTO
POWIAT
Plan na 2014r. po zmianach
Wykonanie
%
Plan na 2014r. po zmianach
Wykonanie
%
Plan na 2014r .po zmianach
Wykonanie
%
5
6
7
8
9
10
11
12
13
1.
801/80101 Szkoła Podstawowa Sióstr Nazaretanek w Kaliszu ul. Harcerska 1
224
1 235 300
289 784,67
23,46
1 235 300
289 784,67
23,46
-
-
-
2.
801/80104
Publiczne Przedszkole Sióstr Nazaretanek w Kaliszu ul. Harcerska 1
§2590
142
1 016 700
258 544,29
25,43
1 016 700
258 544,29
25,43
-
-
-
3.
801/80104
-
387 595,08
-
-
387 595,08
-
-
-
-
4.
801/80104 Niepubliczne Przedszkole im. M. Konopnickiej w Kaliszu ul. Ostrowska 62
160
-
218 212,80
-
-
218 212,80
-
-
-
-
5.
801/80104 Przedszkole Niepubliczne "Szczęśliwa Trzynastka" w Kaliszu ul. Krótka 9
148
-
201 392,23
-
-
201 392,23
-
-
-
-
6.
801/80104 Przedszkole Niepubliczne "Bursztynowy Zamek" w Kaliszu ul. Park Miejski 1
190
-
259 127,70
-
-
259 127,70
-
-
-
-
7.
801/80104 Anglojęzyczne Niepubliczne Przedszkole "Oleńka" w Kaliszu ul. Jarzębinowa 12
77
-
104 560,30
-
-
104 560,30
-
-
-
-
8.
801/80104 Anglojęzyczne Niepubliczne Przedszkole "Oleńka" w Kaliszu Filia ul. Żwirki i Wigury
9
-
12 274,47
-
-
12 274,47
-
-
-
-
Przedszkole Integracyjne Sióstr Felicjanek w Kaliszu ul. Kordeckiego 3a (*dzieci
niepełnosprawne)
80+(14+17)*
9.
801/80104 Anglojęzyczne Niepubliczne Przedszkole "Oleńka" w Kaliszu Filia ul. Długosza
78
-
106 378,74
-
-
106 378,74
-
-
-
-
10.
801/80104 Niepubliczne Przedszkole " Kolorowy Świat" w Kaliszu ul. Lubelska 22/26
40
-
54 098,59
-
-
54 098,59
-
-
-
-
11.
801/80104 Niepubliczne Przedszkole " Pluszowy Miś" w Kaliszu ul. Robotnicza 5
155
-
211 848,26
-
-
211 848,26
-
-
-
-
12.
801/80104 Niepubliczne Przedszkole " Jacka i Agatki" w Kaliszu ul. Serbinowska 21
143
-
195 027,69
-
-
195 027,69
-
-
-
-
13.
801/80104 Niepubliczne Przedszkole " Niezapominajka" w Kaliszu ul. Warszawska 8
144
-
196 391,52
-
-
196 391,52
-
-
-
-
14.
801/80104 Niepubliczne Przedszkole im. " Misia Uszatka" w Kaliszu ul. Młynarska 20
117
-
159 113,50
-
-
159 113,50
-
-
-
-
15.
801/80104 Niepubliczne Przedszkole " Calineczka" w Kaliszu ul. Al. Wojska Polskiego
160
-
218 667,41
-
-
218 667,41
-
-
-
-
16.
801/80104 Niepubliczne Przedszkole " Bajka" w Kaliszu ul. Hanki Sawickiej 3a
174
-
237 306,42
-
-
237 306,42
-
-
-
-
17.
Niepubliczne Przedszkole " Zielone Łąki" w Kaliszu ul. Hanki Sawickiej 19A (*dzieci
801/80104
niepełnosprawne)
160+(1)*
-
220 658,73
-
-
220 658,73
-
-
-
-
18.
801/80104 Niepubliczne Przedszkole " Pluszaki" w Kaliszu ul. Asnyka 6A (*dzieci niepełnosprawne)
123+(2)*
-
169 750,97
-
-
169 750,97
-
-
-
-
19.
801/80104 Niepubliczne Przedszkole KID”S ACADEMY w Kaliszu ul. Polna 92/96
-
85 921,29
-
-
85 921,29
-
-
-
-
2 054
8 967 452
3 038 325,70
33,88
8 967 452
3 038 325,70
33,88
-
-
-
20.
801/80106
Punkt Przedszkolny Słoneczny Kąt w Kaliszu ul. Kazimierzowska 10B/1
§2540
10
39 800
7 031,34
17,67
39 800
7 031,34
17,67
21.
801/80110 Gimnazjum Sióstr Nazaretanek w Kaliszu ul. Harcerska 1
85
-
114 336,90
-
-
114 336,90
22.
801/80110
127
-
170 832,78
-
-
170 832,78
212
1 194 200
285 169,68
23,88
23.
801/80111 Niepubliczne Gimnazjum Specjalne im. św Józefa w Kaliszu ul. Poznańska 26
41
491 700
128 325,90
26,10
-
-
-
24.
801/80120 L.O. im. św. J. Bosko w Kaliszu ul. Łódzka 10
13
-
18 505,60
-
-
-
-
-
18 505,60
-
25.
801/80120 L.O. Sióstr Nazaretanek w Kaliszu ul. Harcerska 1
13
-
18 042,96
-
-
-
-
-
18 042,96
-
801/80104 § 2540
Niepubliczne Gimnazjum Kaliskiego Stowarzyszenia Oświatowego "Edukator" w Kaliszu ul.
Mickiewicza 11
801/80110
63
1 194 200
-
-
-
-
-
-
-
-
-
-
23,88
285 169,68
-
-
-
491 700
128 325,90
-
26,10
Klasyfikacja
budżetowa
L.p.
Kwota dotacji ogółem
Wyszczególnienie
średnia liczba
uczniów
3
4
Dział/
Rozdział
1
2
MIASTO
POWIAT
Plan na 2014r. po zmianach
Wykonanie
%
Plan na 2014r. po zmianach
Wykonanie
%
Plan na 2014r .po zmianach
Wykonanie
%
5
6
7
8
9
10
11
12
13
153
-
53 861,40
-
-
-
-
-
53 861,40
-
Liceum Ogólnokształcące dla Dorosłych CENTRUM KSZTAŁCENIA Marita Walęcka w Kaliszu ul.
Częstochowska 25
29
-
10 186,83
-
-
-
-
-
10 186,83
-
Liceum Ogólnokształcące dla Dorosłych interlis w Kaliszu ul. Górnośląska 56
49
-
-
-
-
-
-
333
-
116 972,91
-
-
-
-
-
116 972,91
13
-
5 700,00
-
-
-
-
-
5 700,00
32
-
11 240,64
-
-
-
-
-
11 240,64
-
103
-
36 180,81
-
-
-
-
-
36 180,81
-
287 786,29
19,12
-
26.
801/80120 Zaoczne Liceum Ogólnokształcące dla Dorosłych "Cosinus" w Kaliszu ul. Majkowska 11
27.
801/80120
28.
801/80120
29.
801/80120 Liceum Ogólnokształcące dla Dorosłych "Żak" w Kaliszu ul. Rzemieślnicza 6
30.
801/80120 Uzupełniające Liceum Ogólnokształcące dla Dorosłych "Żak" w Kaliszu ul. Rzemieślnicza 6
31.
Liceum Ogólnokształcące dla Dorosłych Zakładu Doskonalenia Zawodowego w Kaliszu ul.
801/80120
Skalmierzycka 2 A
32.
801/80120
Plus Edukacja Liceum Ogólnokształcące dla Dorosłych w Kaliszu ul. Kościuszki 10,62-800
Kalisz
801/80120
739
1 505 000
335
-
801/80130 Policealne Studium Kosmetyczne dla Młodzieży w Kaliszu Al. Wolności 12
11
801/80130 Policealne Studium Kosmetyczne dla Dorosłych w Kaliszu Al. Wolności 12
70
36.
801/80130 Policealne Studium Masażu dla Młodzieży w Kaliszu Al. Wolności 12
37.
801/80130 Policealne Studium Farmaceutyczne dla Młodzieży w Kaliszu Al. Wolności 12
38.
17 095,14
-
1 505 000
287 786,29
93 615,75
-
-
-
-
-
-
6 893,10
-
-
-
-
-
19 499,48
-
-
-
-
28
-
27 282,10
-
-
-
62
-
61 138,20
-
-
801/80130 Policealne Studium Weterynarii w Kaliszu Al. Wolności 12
19
-
12 428,24
-
39.
801/80130 Prywatna Policealna Szkoła Techniki Dentystycznej "Awangarda" w Kaliszu Al. Wolności 12
24
-
23 666,40
40.
801/80130 Policealna Szkoła Medyczna TEB Edukacja dla Dorosłych w Kaliszu ul. Szkolna 5
48
-
41.
801/80130 Policealna Szkoła Medyczna TEB Edukacja dla Młodzieży w Kaliszu ul. Szkolna 5
14
42.
801/80130 Szkoła Europejska "EuroCollege" w Kaliszu ul. Szkolna 5
10
43.
801/80130 Zaoczna Policealna Szkoła "Cosinus I" w Kaliszu ul. Majkowska 11
44.
801/80130 Zaoczna Policealna Szkoła "Cosinus" w Kaliszu ul. Majkowska 11
45.
-
17 095,14
-
-
19,12
93 615,75
-
-
6 893,10
-
-
19 499,48
-
-
-
27 282,10
-
-
-
-
61 138,20
-
-
-
-
-
12 428,24
-
-
-
-
-
-
23 666,40
-
47 332,80
-
-
-
-
-
47 332,80
-
-
14 134,10
-
-
-
-
-
14 134,10
-
-
2 794,50
-
-
-
-
-
2 794,50
-
83
-
23 287,50
-
-
-
-
-
23 287,50
-
220
-
61 572,15
-
-
-
-
-
61 572,15
-
801/80130 Plus Edukacja Medyczna Szkoła Policealna w Kaliszu ul. Kościuszki 10,
64
-
63 439,10
-
-
-
-
-
63 439,10
-
46.
801/80130 Plus Edukacja Szkoła Policealna w Kaliszu ul. Kościuszki 10,62-800 Kalisz
87
-
24 219,00
-
-
-
-
-
24 219,00
-
47.
801/80130 Uzupełniające Technikum Rolnicze interlis w Kaliszu ul. Górnośląska 56
8
-
4 230,96
-
-
-
-
-
4 230,96
-
48.
801/80130 Policealna Szkoła Administracji interlis w Kaliszu ul. Górnośląska 56
18
-
5 030,10
-
-
-
-
-
5 030,10
-
49.
801/80130 Policealna Szkoła BHP interlis w Kaliszu ul. Górnośląska 56
-
-
-
-
33.
801/80130 Policealna Szkoła Centrum Nauki i Biznesu "Żak"w Kaliszu ul. Rzemieślnicza 6
34.
35.
801/80130
-
11
1 113
3 021 000
3 167,10
493 730,58
16,34
-
3 021 000
-
3 167,10
493 730,58
16,34
Klasyfikacja
budżetowa
L.p.
Kwota dotacji ogółem
Wyszczególnienie
średnia liczba
uczniów
3
4
Dział/
Rozdział
1
2
MIASTO
POWIAT
Plan na 2014r. po zmianach
Wykonanie
%
Plan na 2014r. po zmianach
Wykonanie
%
Plan na 2014r .po zmianach
Wykonanie
%
5
6
7
8
9
10
11
12
13
50.
801/80134 Specjalne Niepubliczne Technikum Informatyczne św. Józefa w Kaliszu ul. Poznańska 26
14
200 800
47 619,92
23,72
-
-
-
200 800
47 619,92
23,72
51.
854/85420 Młodzieżowy Ośrodek Wychowawczy Dom Miłosierdzia św. Józefa w Kaliszu ul. Poznańska 26
53
2 842 000
752 545,60
26,48
-
-
-
2 842 000
752 545,60
26,48
52.
854/85403 Specjalny Ośrodek Wychowawczy im. św. Alojzego Orione w Kaliszu ul. Kościuszki 24
35
1 343 500
294 604,74
21,93
-
-
-
1 343 500
294 604,74
21,93
53.
854/85404
12
35 500
13 399,55
37,75
35 500
13 399,55
37,75
5 896 868,26
26,94
12 488 952,00
3 892 255,23
31,17
Przedszkole Integracyjne Sióstr Felicjanek w Kaliszu ul. Kordeckiego 3a (wczesne
wspomaganie rozwoju dziecka)
Razem
4 640
21 892 952,00
9 404 000,00
2 004 613,03
21,32