Wykaz zbędnych składników majątku ruchomego

Transkrypt

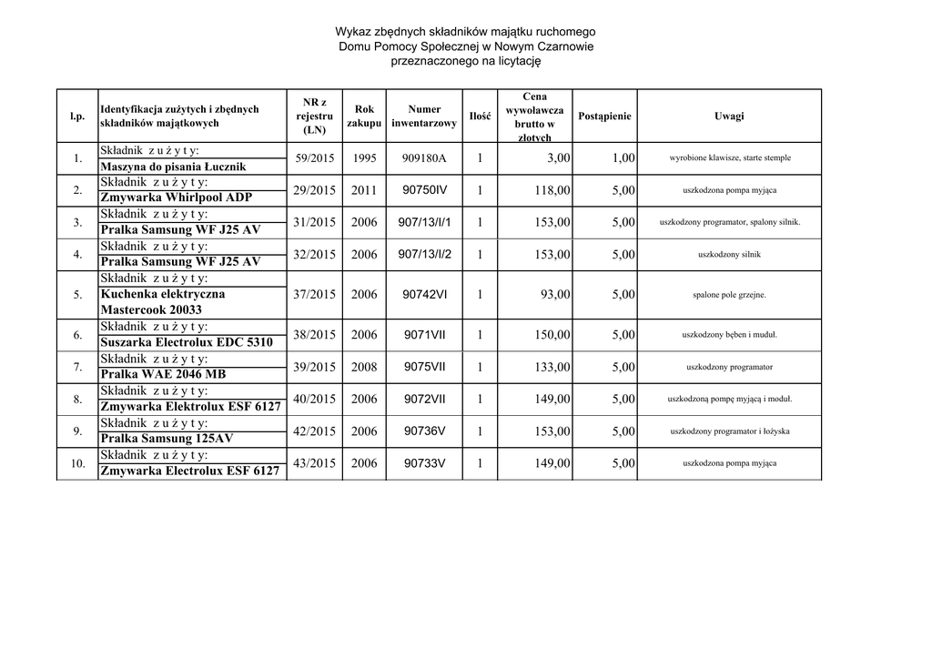
Wykaz zbędnych składników majątku ruchomego
Wykaz zbędnych składników majątku ruchomego
Domu Pomocy Społecznej w Nowym Czarnowie
przeznaczonego na licytację
Cena
wywoławcza
brutto w
złotych
l.p.
Identyfikacja zużytych i zbędnych
składników majątkowych
NR z
rejestru
(LN)
1.
Składnik z u ż y t y:
Maszyna do pisania Łucznik
59/2015
1995
909180A
1
3,00
1,00
wyrobione klawisze, starte stemple
29/2015
2011
90750IV
1
118,00
5,00
uszkodzona pompa myjąca
31/2015
2006
907/13/I/1
1
153,00
5,00
uszkodzony programator, spalony silnik.
32/2015
2006
907/13/I/2
1
153,00
5,00
uszkodzony silnik
37/2015
2006
90742VI
1
93,00
5,00
spalone pole grzejne.
38/2015
2006
9071VII
1
150,00
5,00
uszkodzony bęben i muduł.
39/2015
2008
9075VII
1
133,00
5,00
uszkodzony programator
40/2015
2006
9072VII
1
149,00
5,00
uszkodzoną pompę myjącą i moduł.
42/2015
2006
90736V
1
153,00
5,00
uszkodzony programator i łożyska
43/2015
2006
90733V
1
149,00
5,00
uszkodzona pompa myjąca
2.
3.
4.
5.
6.
7.
8.
9.
10.
Składnik z u ż y t y:
Zmywarka Whirlpool ADP
Składnik z u ż y t y:
Pralka Samsung WF J25 AV
Składnik z u ż y t y:
Pralka Samsung WF J25 AV
Składnik z u ż y t y:
Kuchenka elektryczna
Mastercook 20033
Składnik z u ż y t y:
Suszarka Electrolux EDC 5310
Składnik z u ż y t y:
Pralka WAE 2046 MB
Składnik z u ż y t y:
Zmywarka Elektrolux ESF 6127
Składnik z u ż y t y:
Pralka Samsung 125AV
Składnik z u ż y t y:
Zmywarka Electrolux ESF 6127
Rok
Numer
zakupu inwentarzowy
Ilość
Postąpienie
Uwagi
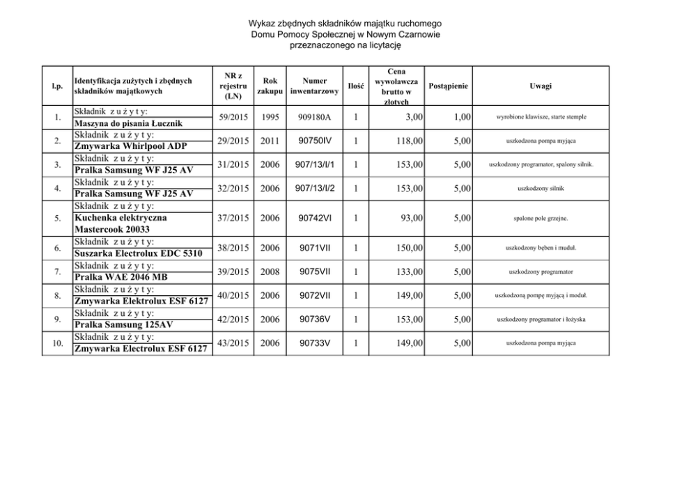
Wykaz zbędnych składników majątku ruchomego
Domu Pomocy Społecznej w Nowym Czarnowie
przeznaczonego na licytację
l.p.
11.
12.
13.
14.
15.
16.
17.
18.
19.
20.
Identyfikacja zużytych i zbędnych
składników majątkowych
Składnik z u ż y t y:
Chłodziarka Wihrpool AR
057542
Składnik z u ż y t y:
Suszarka do bielizny Elektrolux
Składnik z u ż y t y:
Zmywarka Whirpool ADP 4739
Składnik z u ż y t y:
Pralka Indesit WIXXL 106F
Składnik z u ż y t y:
Pralka Indesit WIXXL 126
Składnik z u ż y t y:
Wihrpool
ADP
Zmywarka
6839WH
Składnik z u ż y t y:
Pralka Bosch WAE 2046 PL
Składnik z u ż y t y:
Suszarka Elektrolux EDC 5310
Składnik z u ż y t y:
Kopiarka Konica Minolta 7235
Składnik z u ż y t y:
Szafa metalowa do akt
NR z
rejestru
(LN)
Rok
Numer
zakupu inwentarzowy
Ilość
Cena
wywoławcza
brutto w
złotych
Postąpienie
Uwagi
45/2015
2008
90738V
1
130,00
5,00
spalony agregat
47/2015
2011
90972/IV
1
160,00
5,00
uszkodzony moduł
48/2015
2011
90750VI
1
117,00
5,00
uszkodzona pompa myjąca
49/2015
2005
90725IV
1
198,00
5,00
uszkodzony bęben
50/2015
2008
90710VII
1
160,00
5,00
uszkodzony zbiornik
51/2015
2010
90747III
1
110,00
5,00
uszkodzona pompa myjąca
52/2015
2010
90746III
1
140,00
5,00
uszkodzony programator
56/2015
2006
90732V
1
160,00
5,00
spalony programator
63/2015
2010
909220A
1
293,00
5,00
zużyty zespół bębna, developer, zespół
wywoływania, napęd zespołu bębna
95/2015
1995
904145A
1
1,00
1,00
szafa obdrapana, zniszczona, szkodzony zawias,
jeden komplet kluczy
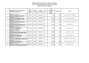
Wykaz zbędnych składników majątku ruchomego
Domu Pomocy Społecznej w Nowym Czarnowie
przeznaczonego na licytację
l.p.
21.
22.
23.
24.
25.
26.
27.
28.
29.
Identyfikacja zużytych i zbędnych
składników majątkowych
Składnik z u ż y t y:
Kasa pancerna
Składnik z u ż y t y:
Pralka BOSCH WAE 20164
Składnik z u ż y t y:
Suszarka Elektrolux
Składnik z u ż y t y:
Lampa bakteriobójcza lbp 302.1
Składnik z u ż y t y:
Suszarka kond. Elektrolux EDC
5310
Składnik z u ż y t y:
Odkurzacz Rowenta
Składnik z u ż y t y:
Odkurzacz Zelmer o1Z013
MULITIPRO
Składnik z u ż y t y:
Odkurzacz Rowenta R04136
Składnik z u ż y t y:
Pralka BOSCH
NR z
rejestru
(LN)
Rok
Numer
zakupu inwentarzowy
Ilość
Cena
wywoławcza
brutto w
złotych
Postąpienie
Uwagi
96/2015
1995
909190A
1
5,00
1,00
kasa poobijana, zniszczona, zamek się zacina, jeden
komplet kluczy
97/2015
2011
9081VII
1
110,00
5,00
spalony programator i uszkodzony bęben
98/2015
2006
90736VI
1
160,00
5,00
uszkodzony zbiornik
99/2015
2008
90991IV
1
123,00
5,00
uszkodzony transformator
100/2015
2006
90732V
1
160,00
5,00
uszkodzony moduł i spalony silnik
101/2015
2006
90735V
1
33,00
5,00
spalony silnik
102/2015
2010
90749IV
1
32,00
5,00
spalony silnik
103/2015
2006
9076VII
1
33,00
5,00
spalony silnik
104/2015
2011
9080VII
1
110,00
5,00
spalony moduł
29
3 489,00
SUMA: