OŚWIADCZENIE o stanie majątkowym Ja, niżej podpisany(a

Transkrypt

OŚWIADCZENIE o stanie majątkowym Ja, niżej podpisany(a
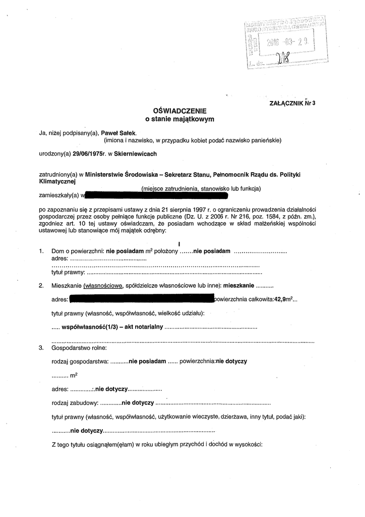
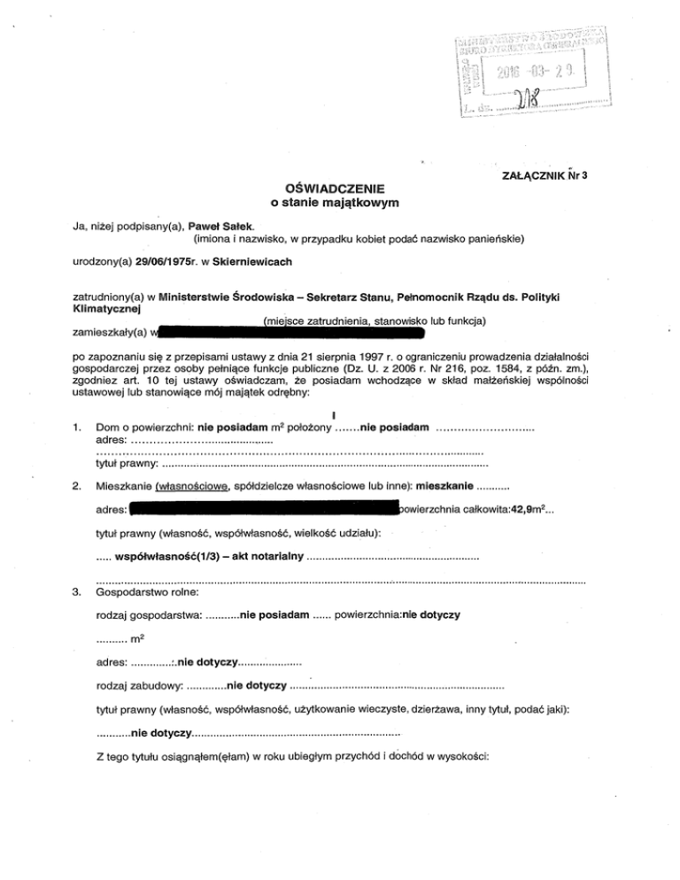
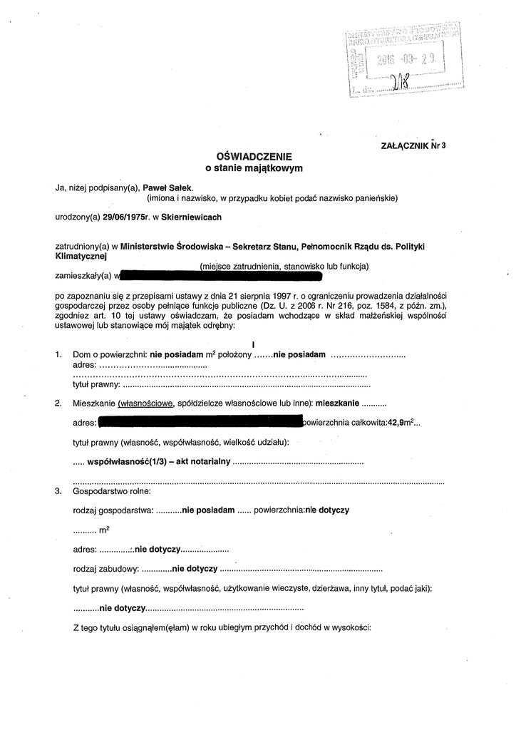
ZAtĄCZNIK Nr 3
OŚWIADCZENIE
o stanie maj ątkowym
Ja, niżej podpisany(a), Paweł Sałek.
(imiona i nazwisko, w przypadku kobiet poda ć nazwisko panie ńskie)
urodzony(a) 29/06/1975r. w Skierniewicach
zatrudniony(a) w Ministerstwie Ś rodowiska — Sekretarz Stanu, Pe łnomocnik Rządu ds. Polityki
Klimatycznej
miejsce zatrudnienia, stanowisko lub funkcja)
zamieszkały(a)
po zapoznaniu si ę z przepisami ustawy z dnia 21 sierpnia 1997 r. o ograniczeniu prowadzenia dzia łalności
gospodarczej przez osoby pełniące funkcje publiczne (Dz. U. z 2006 r. Nr 216, poz. 1584, z pó źn. zm .),
zgodniez art. 10 tej ustawy o świadczam, że posiadam wchodzące w skład małże ń skiej wspólności
ustawowej lub stanowi ące mój majątek odrębny:
1.
Dom o powierzchni: nie posiadam m2 położony
adres:
nie posiadam
tytuł prawny:
2.
Mieszkanie (własnościowe, spółdzielcze własnościowe lub inne): mieszkanie
adres:11111111111111111.1111111111111111111111111111111powierzchnia ca łkowita:42,9m2...
tytuł prawny (własność , współwłasność , wielkość udziału):
współwłasność(1/3) — akt notarialny
3.
Gospodarstwo rolne:
nie posiadam
rodzaj gospodarstwa:
powierzchnia:nie dotyczy
m2
adres:
nie dotyczy
rodzaj zabudowy:
nie dotyczy
tytuł prawny (własność, współwłasność, użytkowanie wieczyste, dzier żawa, inny tytuł, podać jaki):
nie dotyczy
Z tego tytułu osi ągn ąłem(ęłam) w roku ubiegłym przychód i dochód w wysokości:
nie dotyczy
4.
Inne nieruchomo ści (place, dzialki):okoto 40,14 ha - ziemia rolna. powierzchnia
m2
, akt notarialny, własność i współwłasność z żoną w tym około
14 ha maj ątek odrebny
(adres, tytu ł prawny: własność, współwłasność, inny tytuł - podać jaki oraz inne dane)
5.
Zasoby pieni ężne:
ś rodki pieni ężne zgromadzone w walucie polskiej:
około 438.000 PLN(wspólnota małżeńska)
-
środki pieni ężne zgromadzone w walucie obcej:
około 910 Euro , około 430 USD (wspólnota małżeńska)
-
papiery warto ściowe:
3 udziały w Banku Spółdzielczym w Skierniewicachna kwot ę: około 1.600 PLN (wspólnota
małże ńska)
1 udział w SKOK Stefczyka na kwotę: 50 PLN (wspólnota ma łże ńska)
32 udziały w SKOK Wołomin na kwotę : 960 PLN (wspólnota ma łże ń ska)
II
Nabyłem(am) (nabył mój małżonek) mienie od Skarbu Pa ń stwa, innej pa ń stwowej osoby prawnej,
jednosteksamorządu terytorialnego, ich zwi ązków lub od komunalnej osoby prawnej, które podlega ło
zbyciu w drodzeprzetargu:
nie*
tak*
nie nabyłem
Podać rodzaj mienia, datę nabycia, od kogo
III
1. a* Nie jestem członkiem zarządu ani rady nadzorczej, komisji rewizyjnej spó łki prawa handlowego,
ani teżczłonkiem zarządu fundacji prowadz ącej działalność gospodarcz ą.
(wymienić peł nione funkcje i stanowiska wraz z nazwami spó łek i fundacji)
Z tego tytulu osi ągnąłem(ęłam) w roku ubiegłym dochód w wysokości:
nie dotyczy
2. a* Nie jestem zatrudniony(a) ani te ż nie wykonuj ę innych zaj ęć w spółkach prawa handlowego, które
mogłyby wywołać podejrzenie o moj ą stronniczo ść lub interesowno ść.
Z tego tytułu osiągn ąłem(ęłam) w roku ubieglym dochód w wysoko ści:
nie dotyczy
3. a* Nie jestem członkiem zarządu; rady nadzorczej ani komisji rewizyjnej spó łdzielni.')
(podać pełnion ą funkcję, nazwę i adres spółdzielni)
Z tego tytulu osi ągn ąłem(ęłam) w roku ubieglym dochód w wysoko ści:
nie dotyczy
4. W nast ępujących spółkach prawa handlowego posiadam ni żej podane udziały lub akcje:
nie posiadam
(nazwa spółki - adresy, wielkość udziałów, ilość akcji)
Z tego tytułu osi ągn ąłem(ęłam) w roku ubieglym dochód w wysoko ści:
nie dotyczy
nie dotyczy
Równocześnie oświadczam, że w spółce
moje udziały (lub akcje) przekraczaj ą 10%.
W pozostałych spółkach prawa handlowego posiadane udziały lub akcje nie stanowi ą 10% kapitału.
IV
1. Nie rowadz działalności .os odarcze' na własn rachunek ani ws ólnie z inn mi osobami nie
zarz dzamrównie ż tak działalności ani nie estem rzedstawicielem cz też • ełnomocnikiem w
prowadzeniu takieidziałalności.2)
2. Prowadz ę w wyżej okre ślony sposób działalność polegaj ącą na:
nie dotyczy
Z tego tytułu osiągn ąłem(ęłam) w roku ubiegłym dochód w wysokości:
nie dotyczy
V
Składniki mienia ruchomego o warto ści powyżej 10.000 złotych (w przypadku pojazdów mechanicznych
należypodać markę , model i rok produkcji):
- samochód osobowy Fiat Panda rok produkcji 2009 o warto ści ok. 18.500 PLN (wspólnota małżeń ska)
- samochód osobowy Fiat Panda rok produkcji 2012 o warto ści około 25 000 PLN (wspólnota ma łże ńska)
- samochód osobowy Hyundai 120 rok produkcji 2011 o warto ści około 28 000 PLN (wspólnota małże ńska)
VI
Zobowi ązania pieni ężne o warto ści powyżej 10.000 złotych, w tym zaci ągnięte kredyty i po życzki, oraz
warunki,na jakich zostały udzielone (wobec kogo, w zwi ązku z jakim zdarzeniem, w jakiej wysoko ści):
nie posiadam
VII
Inne dodatkowe dane o stanie maj ątkowym:
- Umowa o pracę w Instytucie Ochrony Ś rodowiska - Pa ń stwowy Instytut Badawczy (na urlopie
bezpłatnym) z tego tytu łu osi ągn ąłem(ęłam) w roku ubiegłym dochód w wysoko ści: 0 PLN.
- Umowa o prac ę w RADPEC SA, w okresie wypowiedzenia, zwolniony ze świadczenia pracy,odwołany z
funkcji w dniu 8 wrze ś nia 2015 r. z tego tytu łu osiągn ąłem w roku ubieglym dochód w
wysokości:218177,32 PLN.
- Członek Rady Nadzorczej PWiK w Wołominie (odwołany przed zatrudnieniem w Ministerstwie
Ś rodowiska) z tego tytu łu osi ągn ąłem w roku ubieglym dochód w wysokości:1088,75 PLN.
- Umowa o prac ę w Ministerstwie Ś rodowiska z tego tytu łu osiągnąłem w roku ubieglym dochód w
wysokości: 15973,92 PLN.
Z tego tytułu osiągn ąłem(ęłam) w roku ubiegłym dochód w wysoko ści.
Powyższe oświadczenie składam świadomy(a), że na podstawie art. 14 ust. 1 ustawy z dnia 21 sierpnia
1997 r.o ograniczeniu prowadzenia dzia łalności gospodarczej przez osoby pe łniące funkcje publiczne (Dz.
U. z 2006 r.Nr 216, poz. 1584, z p62n. zm .) za podanie nieprawdy grozi kara pozbawienia wolno ści.
Warszawa 29/03/2016 r.
(miejscowo ść, data)
(podpis)
1) Nie dotyczy rad nadzorczych spó łdzielni mieszkaniowych.
2) Nie dotyczy działalności wytwórczej w rolnictwie.
* Niewłaściwe skreślić i uzupełnić, wpisując w poszczególnych punktach odpowiednie dane