Wymagania sprzętowo – systemowe dla systemu - Public

Transkrypt

Wymagania sprzętowo – systemowe dla systemu - Public
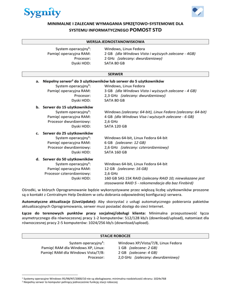
MINIMALNE I ZALECANE WYMAGANIA SPRZĘTOWO-SYSTEMOWE DLA
SYSTEMU INFORMATYCZNEGO POMOST STD
WERSJA JEDNOSTANOWISKOWA
System operacyjny1:
Pamięć operacyjna RAM:
Procesor:
Dyski HDD:
Windows, Linux Fedora
2 GB (dla Windows Vista i wyższych zalecane - 4GB)
2 GHz (zalecany: dwurdzeniowy)
SATA 80 GB
SERWER
a. Niepełny serwer2 do 3 użytkowników lub serwer do 5 użytkowników
System operacyjny1:
Windows, Linux Fedora
Pamięć operacyjna RAM:
3 GB (dla Windows Vista i wyższych zalecane - 4 GB)
Procesor:
2,3 GHz (zalecany: dwurdzeniowy)
Dyski HDD:
SATA 80 GB
b. Serwer do 15 użytkowników
System operacyjny1:
Pamięć operacyjna RAM:
Procesor dwurdzeniowy:
Dyski HDD:
Windows (zalecany: 64-bit), Linux Fedora (zalecany: 64-bit)
4 GB (dla Windows Visa i wyższych zalecane - 6 GB)
2,6 GHz
SATA 120 GB
c. Serwer do 25 użytkowników
System operacyjny1:
Pamięć operacyjna RAM:
Procesor dwurdzeniowy:
Dyski HDD:
Windows 64-bit, Linux Fedora 64-bit
6 GB (zalecane: 12 GB)
2,6 GHz (zalecany: czterordzeniowy)
SATA 160 GB
d. Serwer do 50 użytkowników
System operacyjny1:
Pamięć operacyjna RAM:
Procesor czterordzeniowy:
Dyski HDD:
Windows 64-bit, Linux Fedora 64-bit
12 GB (zalecane: 16 GB)
2,6 GHz
160 GB SAS 15K RAID (zalecany RAID 10; niewskazane jest
stosowanie RAID 5 - rekomendacja dla baz Firebird)
Ośrodki, w których Oprogramowanie będzie wykorzystywane przez większą liczbę użytkowników proszone
są o kontakt z Centralnym Help Deskiem w celu dobrania odpowiedniej konfiguracji serwera.
Automatyczne aktualizacje (LiveUpdate): Aby skorzystać z usługi automatycznego pobierania pakietów
aktualizacyjnych Oprogramowania, serwer musi posiadać dostęp do sieci Internet.
Łącze do terenowych punktów pracy socjalnej/obsługi klienta: Minimalna przepustowość łącza
asymetrycznego dla równoczesnej pracy 1-2 komputerów: 512/128 kb/s (download/upload), natomiast dla
równoczesnej pracy 2-5 komputerów: 1024/256 kb/s (download/upload).
STACJE ROBOCZE
System operacyjny1:
Pamięć RAM dla Windows XP, Linux:
Pamięć RAM dla Windows Vista/7/8:
Procesor:
1
2
Windows XP/Vista/7/8, Linux Fedora
1 GB (zalecane: 2 GB)
2 GB (zalecane: 4 GB)
2,0 GHz (zalecany: dwurdzeniowy)
Systemy operacyjne Windows 95/98/NT/2000/10 nie są obsługiwane; minimalna rozdzielczość ekranu: 1024x768
Niepełny serwer to komputer pełniący jednocześnie funkcję stacji roboczej