Obliczanie rozpływu prądów, spadków napięć, strat napięcia

Transkrypt

Obliczanie rozpływu prądów, spadków napięć, strat napięcia
ELEKTROENERGETYKA
- materiały pomocnicze do ćwiczeń -
CZĘŚĆ DRUGA – Obliczanie
rozpływu
prądów,
spadków
napięć, strat napięcia, współczynnika mocy
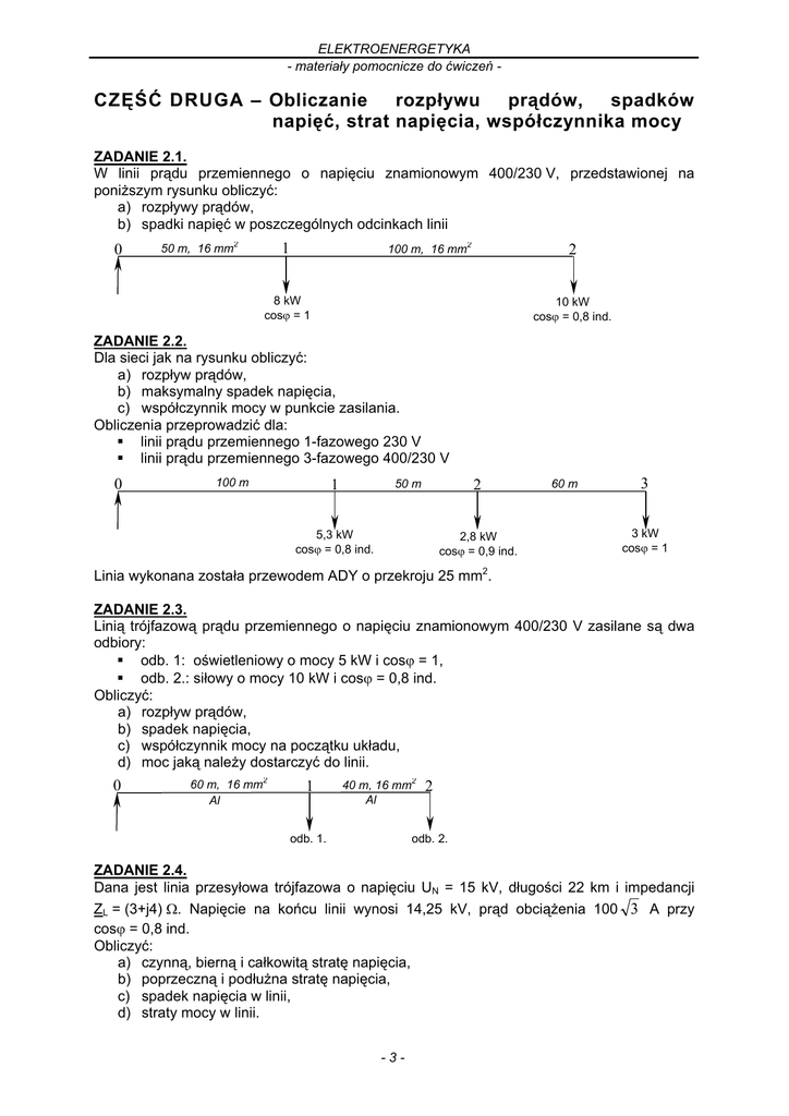
ZADANIE 2.1.
W linii prądu przemiennego o napięciu znamionowym 400/230 V, przedstawionej na
poniższym rysunku obliczyć:
a) rozpływy prądów,
b) spadki napięć w poszczególnych odcinkach linii
0
50 m, 16 mm2
100 m, 16 mm2
1
2
8 kW
cosϕ = 1
10 kW
cosϕ = 0,8 ind.
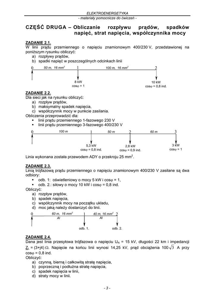
ZADANIE 2.2.
Dla sieci jak na rysunku obliczyć:
a) rozpływ prądów,
b) maksymalny spadek napięcia,
c) współczynnik mocy w punkcie zasilania.
Obliczenia przeprowadzić dla:
linii prądu przemiennego 1-fazowego 230 V
linii prądu przemiennego 3-fazowego 400/230 V
0
100 m
50 m
1
2
5,3 kW
cosϕ = 0,8 ind.
2,8 kW
cosϕ = 0,9 ind.
60 m
3
3 kW
cosϕ = 1
Linia wykonana została przewodem ADY o przekroju 25 mm2.
ZADANIE 2.3.
Linią trójfazową prądu przemiennego o napięciu znamionowym 400/230 V zasilane są dwa
odbiory:
odb. 1: oświetleniowy o mocy 5 kW i cosϕ = 1,
odb. 2.: siłowy o mocy 10 kW i cosϕ = 0,8 ind.
Obliczyć:
a) rozpływ prądów,
b) spadek napięcia,
c) współczynnik mocy na początku układu,
d) moc jaką należy dostarczyć do linii.
0
2
60 m, 16 mm
Al
1
40 m, 16 mm2
Al
odb. 1.
2
odb. 2.
ZADANIE 2.4.
Dana jest linia przesyłowa trójfazowa o napięciu UN = 15 kV, długości 22 km i impedancji
ZL = (3+j4) Ω. Napięcie na końcu linii wynosi 14,25 kV, prąd obciążenia 100 3 A przy
cosϕ = 0,8 ind.
Obliczyć:
a) czynną, bierną i całkowitą stratę napięcia,
b) poprzeczną i podłużna stratę napięcia,
c) spadek napięcia w linii,
d) straty mocy w linii.
-3-
ELEKTROENERGETYKA
- materiały pomocnicze do ćwiczeń -
ZADANIE 2.5.
W linii 15 kV o impedancji ZL = (3+j4) Ω wystąpiły straty mocy czynnej ΔP 3,3 kW.
Obliczyć:
a) spadek napięcia w linii,
b) moc odbioru obciążającego linię, przy założeniu, że cosϕ = 0,8 poj.
ZADANIE 2.6.
Linią o impedancji ZL = (10+j12) Ω i napięciu znamionowym 15 kV zasilany jest odbiór, który
pobiera prąd I0 = (42,5-j38,5) A. Obliczyć jak zmieni się spadek napięcia w linii i straty mocy
czynnej jeśli na końcu linii zostanie włączona bateria kondensatorów o mocy:
a) Q = - 0,6 Mvar,
b) Q = - 1,0 Mvar,
c) Q = - 1,2 Mvar.
ZADANIE 2.7.
Dana jest linia 6 kV o impedancji ZL = (2+j3) Ω obciążona na końcu mocą S2 = 1,6 MV⋅A,
przy cosϕ2 = 0,8 ind. i napięciu U2 = 5,9 kV.
Obliczyć:
a) moc baterii kondensatorów na końcu linii, po dołączeniu której spadek napięcia w linii
nie przekroczy 5%,
b) straty mocy czynnej przed i po dołączeniu baterii kondensatorów.
ZADANIE 2.8.
Obliczyć jak zmieni się procentowy spadek napięcia w linii 15 kV o impedancji ZL = (2+j3) Ω
obciążonej mocą czynną P2 = 1,6 MW przy cosϕ2 = 0,8 ind., jeżeli na końcu linii zostanie
dołączona bateria kondensatorów o mocy Q = - 1,2 Mvar.
ZADANIE 2.9.
Linia 15 kV o impedancji ZL = (2,2+j2,5) Ω zasila odbiór o mocy czynnej 8 MW i biernej
6 Mvar. Obliczyć jak zmienią się straty mocy czynnej i spadek napięcia, jeżeli dołączona
bateria kondensatorów całkowicie skompensuje moc bierną odbioru.
ZADANIE 2.10.
Linią o napięciu znamionowym 15 kV i impedancji ZL = (3+j4) Ω przesyłana jest moc
S = (400+j200) kVA.
Obliczyć:
a) prąd pobierany przez odbiór dołączony na końcu linii,
b) straty mocy w linii,
c) pojemność baterii kondensatorów, która całkowicie skompensuje moc bierną odbioru.
ZADANIE 2.11.
Linią o napięciu znamionowym 15 kV i impedancji ZL = (3+j4) Ω zasilany jest odbiornik o
mocy 1,2 MVA przy cosϕ = 0,8 ind.
Obliczyć jak zmieni się współczynnik mocy na początku linii gdy do obioru zostanie
dołączona bateria kondensatorów o mocy Q = -900 kvar
ZADANIE 2.12.
Dla linii jednofazowej prądu przemiennego o napięciu znamionowym 230 V i przekroju
przewodów 2x35 mm2 (Al.)
obliczyć:
a) rozpływ prądów,
100 m
100 m
0
1
2 50 m 3
b) spadek napięcia w
linii,
c) współczynnik mocy
5 kW
5,5 kV⋅A
3 kvar
w punkcie zasilania.
cosϕ = 0,8 ind.
cosϕ = 0,6 poj. cosϕ = 0,7 ind.
-4-
ELEKTROENERGETYKA
- materiały pomocnicze do ćwiczeń -
ZADANIE 2.13.
Linią o napięciu znamionowym 15 kV i długości 20 km, wykonaną przewodami AFl 50mm2
w układzie płaskim (b =140 cm) zasilany jest odbiór o mocy S = (2+j1,2) MVA przy napięciu
U2 = 14,2 kV.
Obliczyć:
a) wzdłużną, poprzeczną i całkowitą stratę napięcia,
b) spadek napięcia w linii,
c) napięcie na początku linii.
ZADANIE 2.14.
Dla linii trójfazowej o napięciu znamionowym 400/230 V podanej na rysunku, obliczyć:
a) rozpływ prądów,
b) maksymalny spadek napięcia w linii,
c) napięcie w punkcie 5 przy założeniu, że U1 = 404 V,
d) stratę napięcia na odcinku 1-5,
e) straty mocy czynnej w linii,
f) współczynnik mocy w punkcie zasilania,
g) moc jaką należy dostarczyć do linii.
30 m
3x6 mm2, Al
1
60 m
3x50 mm2, Al
2
5
12 kW
cosϕ = 0,8 ind.
24 kvar
cosϕ = 0,8 poj.
20 m
3x4 mm2, Al
3
20 m
3x4 mm2, Al
8 kV⋅A
cosϕ = 0,9 ind.
4
6 kW
cosϕ = 1
ZADANIE 2.15.
Dla linii trójfazowej o napięciu znamionowym 400/230 V podanej na rysunku, obliczyć:
a) rozpływ prądów,
b) maksymalny spadek napięcia w linii,
c) moc jaką należy dostarczyć do linii,
d) współczynnik mocy w punkcie zasilania.
50 m
6
10 A
cosϕ = 1
30 m
2
60 m
1
20 m
10 kVA
cosϕ = 0,8 ind.
20 kW
cosϕ = 0,8 ind.
5
3
40 m
7
5 kVA
cosϕ = 0,7 ind.
40 kW
cosϕ = 1
Linia wykonana jest kablem aluminiowym o przekroju 50 mm2.
-5-
50 m
4
15 A
cosϕ = 0,9 ind.
ELEKTROENERGETYKA
- materiały pomocnicze do ćwiczeń -
ZADANIE 2.16.
Obliczyć maksymalny spadek napięcia w linii napowietrznej 6 kV wykonanej przewodami
miedzianymi, zawieszonymi w układzie Δ równobocznego o boku 160 cm.
0
1
4m
25 mm2
2m
25 mm2
100 kV⋅A
cosϕ = 0,7 ind.
2
4m
16 mm2
3
50 kW
cosϕ = 0,8 ind.
16 mm2
30 kW
cosϕ = 0,9 ind.
4
3,5 kW
cosϕ = 1
ZADANIE 2.17.
Obliczyć napięcie na początku układu przesyłowego, jeżeli napięcie na końcu wynosi 30 kV.
Dane potrzebne do obliczeń:
• Transformator
SN = 10 MVA
uz% = 10,5%
Δpcu = 1%
υ = 110/30 kV
A
B
C
18 km
AFl 70 mm2
3,5 MW
cosϕ = 0,8 ind.
• Linia
płaski układ przewodów, b = 1,8 m; średnica przewodu 11,6 mm
ZADANIE 2.18.
Linią 15 kV zasilany jest zakład przemysłowy. Na szynach nn występuje napięcie 390 V.
Obliczyć napięcie (na szynach A) w rozdzielni zasilającej zakład. Linia wykonana jest
przewodami AFl o przekroju 70 mm2 i reaktancji kilometrycznej 0,4 Ω/km.
Dane potrzebne do obliczeń:
• Transformator
A
SN = 1,6 MVA
uz% = 4,5%
ΔPcu = 19,5 kW
υ = 15/0,4 kV
C
B
10 km
1,2 MW
cosϕ = 0,8 ind.
ZADANIE 2.19.
W podanym na rysunku układzie sieci kablowej obliczyć napięcie po stronie nn w stacji
transformatorowej (w p. 4)
6 kV
0
Dane potrzebne do obliczeń:
• Linia kablowa
XAl = 0,1 Ω/km
XCu = 0,105 Ω/km
2
5 km 3x35 mm
Cu
2 km Al
3x25 mm2
1
2 km
2
Al 3x25 mm
• Transformator
SN = 1600 kV⋅A
uz% = 4,5%
ΔPcu = 18 kW
υ = 6/0,4 kV
3
6/0,4 kV
4
150 kW
cosϕ = 0,9 ind.
-6-
2
80 kW
cosϕ = 0,9 ind.
ELEKTROENERGETYKA
- materiały pomocnicze do ćwiczeń -
0
ZADANIE 2.20.
Dla sieci trójfazowej jak na rysunku sprawdzić czy
można zapewnić odpowiedni poziom napięcia*)
na szynach B jeśli:
a) wyłącznik w rozdzielni 3 jest otwarty,
b) wyłącznik w rozdzielni 3 jest zamknięty
przy założeniu, że napięcie fazowe w punkcie
zasilania wynosi 235 V
Sieć wykonana jest kablem AKFtA 3 x 25 mm2,
UN = 400/230 V
*)
150 m
(25-j10) A
1
50 m
(20-j5) A
(30+j5) A
100 m
Odpowiedni poziom napięcia to ±5% UN
3
(15-j10) A
2
(25-j10) A
ZADANIE 2.21.
Sprawdzić, czy spadek napięcia w linii
napowietrzno – kablowej pozwoli na uzyskanie na szynach nn napięcia znamionowego
400 V, przy napięciu w punkcie „A” 16,2 kV.
Dane potrzebne do obliczeń:
• Transformator (Tr):
SN = 1,6 MVA, ΔPcu = 19,5 kW, υ = 15/0,4 kV, uz% = 4,5 %
• Linia napowietrzna (LN):
wykonana przewodami AFl o przekroju 70 mm2, Xk = 0,4 Ω/km, długość 10 km
• Linia kablowa (LK):
wykonana kablem HAKFtA o przekroju 95 mm2,
długość 2 km
C
Tr
D
B
A
LK
LN
Tr
3 MW
cosϕ = 0,9 ind.
ZADANIE 2.22.
Dla linii przesyłowej jak na rysunku obliczyć:
a) spadek napięcia w linii,
b) moc czynną, bierną i pozorną na początku układu,
c) napięcie na szynach E, przy założeniu, że napięcie na początku układu UA = 111 kV
C
A
Tr 1
Tr 2
D
B
LN
E
LK
Tr 3
1000 kW
cosϕ = 0,75 ind.
13 kVA
cosϕ = 0,8 ind.
Dane potrzebne do obliczeń:
• Transformator (Tr 1):
SN = 6,3 MVA, ΔPcu = 44 kW, υ = 110/16,5 kV, uz% = 10,5 %
• Transformator (Tr 2, Tr 3):
SN = 2,5 MVA, ΔPcu = 27 kW, υ = 15/6,3 kV, uz% = 6 %
• Linia napowietrzna (LN):
Rk = 0,319 Ω/km, Xk = 0,39 Ω/km, długość 10 km
• Linia kablowa (LK):
Rk = 0,429 Ω/km, Xk = 0,09 Ω/km, długość 2 km
-7-
ELEKTROENERGETYKA
- materiały pomocnicze do ćwiczeń -
ZADANIE 2.23.
Dla sieci jak na rysunku obliczyć
o ile zmienią się napięcia w
węzłach 3 i 5 sieci, jeśli do szyn
rozdzielni 4 zostanie przyłączony
dodatkowy odbiór o mocy 12
MVA, przy cosϕ = 0,8 ind.
Obliczyć wartości tych napięć
przy założeniu, że napięcie
zasilające układ U1 = 112 kV.
2
1
1
110 kV
2
3
30 kV
4
LK
3
LN
3,5 MW
cosϕ = 0,8 ind.
15 kV
12 MVA
cosϕ = 0,8 ind.
5
Dane potrzebne do obliczeń:
• Transformator (Tr):
6MVA
SN = 40/40/40 MVA,
cosϕ = 0,8 ind.
υ = 110/33/16,5 kV
uz%1-2 = 11%, uz%1-3 = 18%, uz%2-3 = 6%,
uR%1-2 = 0,5%, uR%1-3 = 0,56%, uR%2-3 = 0,38%,
• Linia napowietrzna (LN):
AFl 3x120 mm2, Rk = 0,234 Ω/km, Xk = 0,38 Ω/km, długość 20 km
• Linia kablowa (LK):
HAKFtA 3x120 mm2, Rk = 0,234 Ω/km, Xk = 0,38 Ω/km, długość 4 km
ZADANIE 2.24.
Dla sieci 30 kV obliczyć napięcie i prąd na szynach 1, jeśli napięcie U4 = 6 kV.
1
Tr 1
2
3
Tr 2
L
4
4 MW
cosϕ = 0,9 ind.
2,8 MW
cosϕ = 0,8 ind.
Dane potrzebne do obliczeń:
• Transformator (Tr 1):
SN = 10 MVA, υ = 6,3/30 kV, uz% = 10%, Δpcu = 0,8%
• Transformator (Tr 2):
SN = 10 MVA, υ = 30/6,3 kV, uz% = 10%, Δpcu = 0,8%
• Linia (L):
Rk = 0,24 Ω/km, Xk = 0,4 Ω/km, długość 10 km
ZADANIE 2.25.
3-fazowa, 4-przewodowa linia nn zasila
cztery rozdzielnice jak na rysunku.
Obliczyć:
a) maksymalny spadek napięcia
w linii,
b) straty mocy w linii.
Do obliczeń przyjąć:
γCu = 55 m/Ω.mm2,
γAl = 34,8 m/Ω.mm2.
RG
200 m
2
Cu,35 mm
R3
2
Cu, 25 mm
R2
126 m
100 m
15 kW
cosϕ = 1
R1
2
Al, 35 mm
25 kW
cosϕ = 0,8 ind.
50 m
20 kW
cosϕ = 0,9 poj.
2
Cu,16 mm
R4
33,3 kW
cosϕ = 0,9 ind.
-8-
ELEKTROENERGETYKA
- materiały pomocnicze do ćwiczeń -
ZADANIE 2.26.*
Dla sieci oświetleniowej 400/230 V, pokazanej na rysunku, obliczyć najniższe napięcie w
punkcie odbioru. Sieć wykonano kablem KFtA 3x10 mm2.
1
3
200 m
18 kW
100 m
100 m
100 m
2
4
6 kW
4 kW
ZADANIE 2.27.*
Dla sieci 6kV jak na rysunku obliczyć napięcie w węźle 2. Sieć wykonano kablem
AKFtA 3x25 mm2. Napięcia zasilania są w fazie i równają się napięciu znamionowemu.
4
1
4 km
2 km
3 km
2
3
500 kVA
cosϕ = 0,8 ind.
800 kW
cosϕ = 0,9 ind.
-9-