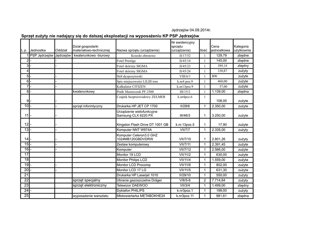
Sprzęt zużyty nie nadający się do dalszej eksploatacji na

Transkrypt

Sprzęt zużyty nie nadający się do dalszej eksploatacji na
Jędrzejów 04.09.2014r.
Sprzęt zużyty nie nadający się do dalszej eksploatacji na wyposażeniu KP PSP Jędrzejów
L.p.
1
2
3
4
5
6
7
8
Dział gospodarki
Jednostka
Oddział
materiałowo-technicznej
PSP Jędrzejów Jędrzejów kwaterunkowo -biurowy
-
-
9 -
-
10 -
kwaterunkowy
sprzęt informtyczny
Nazwa sprzętu (urządzenia)
Krzesło obrotowe
Fotel Prestige
Fotel skórzny SIGMA
Fotel skórzny SIGMA
Stół dyspozytorski
Spis miejscowości I,II,III tom
Kalkulator CITIZEN
Pralk Mastercook PF-2500
Czajnik bezprzewodowy ZELMER
Nr ewidencyjny
sprzętu
(urządzenia)
II/17/52
II/45/14
II/45/23
II/45/24
VIII/6/1
k.nr4 poz.9
k.nr13poz.9
III/15/2
k.nr4poz.6
Ilość
1
1
1
1
1
1
1
1
1
Cena
jednostkowa
129,79
145,00
389,18
330,87
BW
460,00
57,00
1.139,00
Kategoria
użytkownia
zbędne
zbędne
zbędny
zużyty
zużyte
zużyte
zużyte
zbędna
zużyte
zużyte
Drukarka HP JET CP 1700
II/29/6
1
108,00
2.350,00
III/46/3
1
3.250,00
zużyte
11 -
-
Urządzenie wielofunkcyjne
Samsung CLX 6220 PX
12 13 -
-
Kingston Flash Drive DT 1001 GB
Komputer NNT W974A
k.nr.13poz.5
VII/7/7
1
1
17,90
2.335,00
zużyte
zużyty
14
15
16
17
18
19
20
21
22
23
24
25
-
-
-
-
Komputer Celeron3.0 GHZ
1024MB120GBDVDRW
Zestaw komputerowy
Komputer
Monitor 19 LCD
Monitor Philips LCD
Monitor LCD Procomp
Monitor LCD 17 LG
Drukarka HP Laserjet 1010
Ubranie gazoszczelne Dräger
Telewizor DAEWOO
Dyktafon PHILIPS
Młotowiertarka METABOKHE24
VII/7/10
VII/7/11
VII/7/12
VII/11/2
VII/11/4
VII/11/6
VII/11/5
II/29/10
V/6/5-6
VII/3/4
k.nr3poz.1
k.nr3poz.11
1
1
1
1
1
1
1
1
2
1
1
1
2.801,26
2.391,45
2.566,00
630,00
1.559,00
802,00
631,30
550,00
7.714,64
1.499,00
199,00
981,61
zużyty
zużyte
zużyte
zużyte
zużyta
zużyte
zużyta
zużyty
zużyty
zbędny
zużyty
zbędna
sprzęt specjalny
sprzęt elektroniczny
wyposażenie warsztatu
26
Komplet wierteł SDS
k.nr3poz.12
1
68,32
zbędny
27
Uchwyt samozaciskowy do
METABO
k.nr3poz.13
1
103,70
zbędny
28
29
30 31
Szlifierka kątowa WE 14-125
METABO
Nitownica zrywalna
Klucz krzyżakowy
Pokrętło 1/2 cala
k.nr3poz.14
k.nr3poz.2
k.nr3poz.4
k.nr3poz6
1
1
1
1
660,02
32,00
190,00
56,00
zbędna
zbędna
zbędny
zbędne
32
33
34 35 36 -
Szlifierka kątowa Bosch PWS 550
Zestaw kluczy 5 elementów
Zestaw szczypiec "GRIP"
Zestaw kluczy FORCH
Klucz ompulowy wygięty
k.nr7poz1
k.nr13poz.2
k.nr13poz.3
k.nr17poz.1
k.nr17poz.2
1
1
1
1kpl
1
199,00
447,74
242,78
122,00
9,76
zbędna
zbędny
zbędny
zbędny
zbędny