Rejestrator czasu pracy

Transkrypt

Rejestrator czasu pracy
EVR-2
Rejestrator czasu pracy
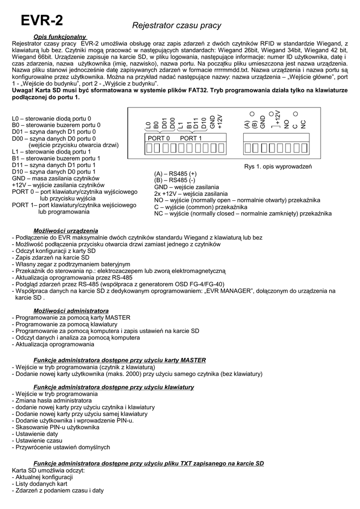
PORT 0
+12V
NO
C
NC
(A)
(B)
GND
L0 – sterowanie diodą portu 0
B0 – sterowanie buzerem portu 0
D01 – szyna danych D1 portu 0
D00 – szyna danych D0 portu 0
(wejście przycisku otwarcia drzwi)
L1 – sterowanie diodą portu 1
B1 – sterowanie buzerem portu 1
D11 – szyna danych D1 portu 1
D10 – szyna danych D0 portu 1
GND – masa zasilania czytników
+12V – wyjście zasilania czytników
PORT 0 – port klawiatury/czytnika wyjściowego
lub przycisku wyjścia
PORT 1– port klawiatury/czytnika wejściowego
lub programowania
L0
B0
D01
D00
L1
B1
D11
D10
GND
+12V
Opis funkcjonalny
Rejestrator czasy pracy EVR-2 umożliwia obsługę oraz zapis zdarzeń z dwóch czytników RFID w standardzie Wiegand, z
klawiaturą lub bez. Czytniki mogą pracować w następujących standardach: Wiegand 26bit, Wiegand 34bit, Wiegand 42 bit,
Wiegand 66bit. Urządzenie zapisuje na karcie SD, w pliku logowania, następujące informacje: numer ID użytkownika, datę i
czas zdarzenia, nazwa użytkownika (imię, nazwisko), nazwa portu. Na początku pliku umieszczona jest nazwa urządzenia.
Nazwa pliku stanowi jednocześnie datę zapisywanych zdarzeń w formacie rrrrmmdd.txt. Nazwa urządzenia i nazwa portu są
konfigurowalne przez użytkownika. Można na przykład nadać następujące nazwy: nazwa urządzenia – „Wejście główne”, port
1 - „Wejście do budynku”, port 2 - „Wyjście z budynku”.
Uwaga! Karta SD musi być sformatowana w systemie plików FAT32. Tryb programowania działa tylko na klawiaturze
podłączonej do portu 1.
PORT 1
Rys 1. opis wyprowadzeń
(A) – RS485 (+)
(B) – RS485 (-)
GND – wejście zasilania
2x +12V – wejścia zasilania
NO – wyjście (normally open – normalnie otwarty) przekaźnika
C – wyjście (common) przekaźnika
NC – wyjście (normally closed – normalnie zamknięty) przekaźnika
Możliwości urządzenia
- Podłączenie do EVR maksymalnie dwóch czytników standardu Wiegand z klawiaturą lub bez
- Możliwość podłączenia przycisku otwarcia drzwi zamiast jednego z czytników
- Odczyt konfiguracji z karty SD
- Zapis zdarzeń na karcie SD
- Własny zegar z podtrzymaniem bateryjnym
- Przekaźnik do sterowania np.: elektrozaczepem lub zworą elektromagnetyczną
- Aktualizacja oprogramowania przez RS-485
- Podgląd zdarzeń przez RS-485 (współpraca z generatorem OSD FG-4/FG-40)
- Współpraca danych na karcie SD z dedykowanym oprogramowaniem: „EVR MANAGER”, dołączonym do urządzenia na
karcie SD .
Możliwości administratora
- Programowanie za pomocą karty MASTER
- Programowanie za pomocą klawiatury
- Programowanie za pomocą komputera i zapis ustawień na karcie SD
- Odczyt danych i analiza za pomocą komputera
- Aktualizacja oprogramowania
Funkcje administratora dostępne przy użyciu karty MASTER
- Wejście w tryb programowania (czytnik z klawiaturą)
- Dodanie nowej karty użytkownika (maks. 2000) przy użyciu samego czytnika (bez klawiatury)
Funkcje administratora dostępne przy użyciu klawiatury
- Wejście w tryb programowania
- Zmiana hasła administratora
- dodanie nowej karty przy użyciu czytnika i klawiatury
- Dodanie nowej karty przy użyciu samej klawiatury
- Dodanie użytkownika i wprowadzenie PIN-u.
- Skasowanie PIN-u użytkownika
- Ustawienie daty
- Ustawienie czasu
- Przywrócenie ustawień domyślnych
Funkcje administratora dostępne przy użyciu pliku TXT zapisanego na karcie SD
Karta SD umożliwia odczyt:
- Aktualnej konfiguracji
- Listy dodanych kart
- Zdarzeń z podaniem czasu i daty
Konfiguracja daty i czasu
Konfiguracji aktualnej daty i godziny dokonujemy przez plik o nazwie „konfig.txt” znajdujący się na karcie SD. Plik ten
generujemy za pomocą programu „EVR MANAGER”. Po włożeniu karty do urządzenia plik jest odczytywany, zapamiętywane
są ustawienia, następnie plik jest kasowany. Jeśli nie ma na karcie pliku „konfig.txt” ustawienia pozostaną bez zmian.
Konfiguracji daty i czasu można dokonywać także za pomocą czytnika z klawiaturą w trybie programowania (patrz tabela).
Konfiguracja portów
Za pomocą programu „EVR MANAGER” możliwe jest także zdefiniowanie nazwy urządzenia, nazw portów oraz czy wejście
D00 ma współpracować z czytnikiem RFID, czy z przyciskiem otwarcia drzwi.
Odczyt konfiguracji
Po każdorazowym włożeniu karty SD tworzony jest plik „konfout.txt”, służący do podglądu aktualnych ustawień urządzenia
oraz wersji oprogramowania (firmware). Czas utworzenia tego pliku wskazuje ustawienia zegara rejestratora.
Przycisk otwarcia drzwi
Między wejściem D00 a GND można podłączyć, zamiast czytnika RFID, przycisk otwarcia drzwi. Należy w tym wypadku
dokonać stosownej konfiguracji w programie. Wciśnięcie przycisku będzie powodowało otwarcie drzwi oraz zapis tego
zdarzenia na kartę SD. ID użytkownika będzie „2000” natomiast nazwa użytkownika ”Przycisk otwarcia drzwi”.
Zapis zdarzeń na kartę SD
Każde zdarzenie zapisywane jest na kartę SD w następującym formacie: <ID użytkownika>, <data zdarzenia>, <czas
zdarzenia>, <informacja o przyznanym dostępie (0 – brak dostępu, 1 – przyznano dostęp) oraz sposób uzyskania dostępu „k”
- karta RFID, „p” - pin, „b” - przycisk otwarcia drzwi>, <nazwa użytkownika np.: „Jan Kowalski”>, <nazwa portu np.: „wejście do
budynku”>. Zdarzenia wywołane przyciskiem otwarcia drzwi posiadają nr ID „2000” oraz nazwę użytkownika „Przycisk
otwarcia drzwi”. Jeśli nie ma karty SD lub jest ona uszkodzona, każda próba zapisu zakończy się informacją o błędzie karty tj.
trzy długie sygnały dźwiękowe.
Szybkie dodawanie nowych kart za pomocą karty MASTER
Karta MASTER jest zwykłą kartą RFID przypisaną administratorowi. Dodanie karty administratorowi jest równoznaczne ze
stworzeniem karty MASTER. Z jej pomocą można dokonywać dodawania nowych kart użytkowników. Przyłożenie karty
MASTER do dowolnego czytnika umożliwia przez ok. 10 sekund dodanie nowej karty użytkownika. W tym czasie urządzenie
jest w trybie dodawania kart, sygnalizowanym miganiem diody czytnika. Każde dodanie nowej karty ustala ten czas znowu na
10 sekund. Każda dodana karta zapisywana jest na karcie SD w pliku „users.txt”. Może być więcej niż jedna karta MASTER,
tak samo jak może być więcej niż jeden administrator.
Tryb programowania
Tryb programowania działa tylko na klawiaturze podłączonej do portu 1 urządzenia. W tryb ten wchodzimy wciskając klawisz
”*”, następnie wprowadzamy hasło administratora (lub przykładamy kartę MASTER) i zatwierdzamy klawiszem „#”. Wyjście
następuje klawiszem „*”, po wyjęciu karty SD lub automatycznie po ok. 1 minucie jeśli nie są wykonywane żadne czynności na
klawiaturze. W tym trybie można: dodawać, usuwać użytkowników, dodawać, usuwać oraz zmieniać pin lub kartę
użytkownikom, ustawiać czas i datę. Szczegóły dostępne w tabeli. Jeśli został już rozpoczęty proces wprowadzania danych a
użytkownik chciałby się wycofać należy wcisnąć klawisz „*”. W tym momencie nie wychodzimy z trybu programowania i
możemy od nowa wprowadzić dane.
Przywracanie ustawień domyślnych
Po wywołaniu tej funkcji, urządzenie usuwa wszystkich użytkowników w pliku „users.txt”. Pozostanie tylko jedna pozycja
„admin” z pinem „999999”, ID=0001, bez zadeklarowanej karty MASTER. Jeśli włożymy do slotu kartę bez pliku „users.txt” to
urządzenie automatycznie wygeneruje taki plik z danymi jak po użyciu funkcji przywracania ustawień domyślnych”.
Rys . 2. Przykładowa instalacja
z wykorzystaniem rejestratora
zdarzeń EVR-2.
6
EVR-2
3
1
2
5
4
1 – Zasilacz buforowy
2 – Rejestrator zdarzeń EVR-2
3 – Przycisk otwarcia drzwi łączymy między wejściem D00 a masą (GND)
4 – Zwora elektromagnetyczna
5 – Czytnik z klawiaturą
6 – Przewód sześciożyłowy (np.:YTDY-6):
D0,D1 – dane
VCC, GND – zasilanie
L, B – sterowanie diodą świecącą oraz buzerem
PORT 0
+12V
NO
C
NC
(A)
(B)
GND
L0
B0
D01
D00
L1
B1
D11
D10
GND
+12V
Przykładowy schemat podłączenia czytników do EVR-2
PORT 1
Klawiatura/czytnik
portu wyjściowego
D1
D0
12V
GND
BEEPER
ZASILACZ
LED
12V
GND
V-
LUB
V+
Przycisk otwarcia
drzwi
Klawiatura portu
wejściowego i
programowania, D1
czytnik wejścia D0
ZWORA
ELEKTROMAGNETYCZNA,
lub
ZACZEP
ELEKTROMAGNETYCZNY
REWERSYJNY
–
LUB
BEEPER
ZACZEP
ELEKTROMAGNETYCZNY
LED
12V
GND
Współpraca z generatorem OSD FG-4/FG-40
Dane z rejestratora EVR-2 mogą zostać wyświetlone na obrazie z kamery monitorującej za pomocą generatora FG-4 (max 28
znaków w linii) lub FG-40 (max 40 znaków w linii). Aby urządzenia ze sobą współpracowały, należy je połączyć za pomocą
portu RS-485, w który oba są wyposażone („A”->”+”, „B”->”-”). W generatorach FG należy ustawić, w menu głównym
„Mode: TERMINAL” i w „Configuration options”: „Baudrate: 9600 baud”, i „Term line termination: 0x0D 0x0A”. Na obrazie z
kamery pojawią się informacje o zdarzeniach w następującym formacie: <ID użytkownika>, <nazwa pliku>, <czas zdarzenia>,
<informacja o przyznanym dostępie (0 – brak dostepu, 1 – przyznano dostęp) oraz sposób uzyskania dostępu „k” - karta
RFID, „p” - pin, „b” - przycisk otwarcia drzwi>, <nazwa użytkownika>, <nazwa portu>. Oto przykładowy zapis:
„0004, 20150627.CSV, 17:20:14, 1k, Jan Kowalski , wejście do budynku,”.
Współpraca z komputerem przez interfejs RS-485
Istnieje możliwość podłączenia rejestratora EVR-2 do komputera za pomaca interfejsu komunikacyjnego RS-485 oraz
przejściówki USB/RS-485 lub RS-485/RS232 (w zależności jaki interfejs mamy dostępny w komputerze). Można w ten
sposób na bieżąco monitorować rejestrowane zdarzenia. W komputerze można użyć dowolnego programu typu terminal.
Transmisja odbywa się za pomocą znaków ascii. Należy wybrać port do którego mamy podłączone urządzenie i ustawić
następujące parametry transmisji szeregowej: Baudrate: 9600, Data bits: 8, Parity: none, Stop bits: 1. Format wyświetlanych
danych jest identyczny jak przy współpracy z generatorem OSD (patrz punkt wyżej).
Przyznanie dostępu
Otwarcie drzwi za pomocą karty
Zbliż kartę do czytnika
Uwaga:
Karta MASTER nie dostaje dostępu tylko
wprowadza urządzenie w tryb szybkiego
dodawania kart.
Otwarcie drzwi za pomocą hasła PIN
Wprowadź PIN i zatwierdź #
Szczegółowa instrukcja obsługi za pomocą klawiatury czytnika
Wejście do trybu programowania
* hasło administratora #
* odczyt_karty_administratora (karta MASTER) #
Funkcje dostępne w trybie programowania
Wyjście z trybu programowania
*
Zmiana hasła administratora
0 nowe_hasło #
Dodawanie karty MASTER
1 nr_ID administratora # Zbliż kartę do czytnika #
Uwaga:
Domyślnie nr_ID administratora wynosi 1.
Dodawanie użytkownika z hasłem PIN
1 nr_ID użytkownika # PIN #
Uwagi:
nr_ID_użytkownika 1...2000
PIN – max 7 cyfr z wyłączeniem 1234
PIN „0” kasuje pin – funkcja kasowania pinu.
Dodawanie użytkownika z kartą RFID
1 nr_ID użytkownika # Zbliż kartę do czytnika #
Uwaga:
nr_ID_użytkownika 1...2000
Dodawanie użytkownika z kartą RFID
Numer ID generowany automatycznie
1 Zbliż kartę do czytnika #
Dodawanie karty za pomocą numeru
Ostatnie 8 cyfr na karcie xxx,xxxxx (bez
przecinka)
1 nr_ID użytkownika # numer_karty #
Usuwanie użytkowników
po numerze ID
Przy użyciu karty użytkownika
2 nr_ID_użytkownika # (usuwa całego
użytkownika; wszystkie karty i piny)
2 odczyt_karty # (usuwa samą kartę; pozostawia
pozostałe karty i pin jeśli są zadeklarowane)
Ustawianie daty
91ddmmrrrr # (np.: 9101092015 dla daty 1
września 2015r.)
Ustawianie czasu
92ggmm # (np.: 920823 dla godziny 8:23)
Przywrócenie ustawień domyślnych
(UWAGA! Kasuje wszystkich użytkowników)
2 0000 #
Sygnalizacja błędów
W trybie programowania otrzymujemy po każdej operacji informację, czy dane zostały prawidłowo wprowadzone i
zapamiętane czy wystąpił błąd. Czynność poprawnie zakończona jest sygnalizowana trzema krótkimi sygnałami dźwiękowymi,
natomiast błąd jednym długim. Na przykład: błędnie wprowadzona data lub godzina ( za mała lub za duża ilość znaków,
nieprawidłowe wartości miesięcy, dni miesiąca, godziny, minuty) będzie sygnalizowana błędem i wartości nie zostaną
zaakceptowane. Informacja o błędzie pojawi się także w przypadku gdy próbujemy zadeklarować PIN lub numer karty, które
już są zdefiniowane dla innego użytkownika.
Aktualizacja oprogramowania
Urządzenie posiada możliwość aktualizacji oprogramowania poprzez port RS-485. Wejście w tryb aktualizacji odbywa się
poprzez włączenie napięcia zasilania przy wyjętej karcie SD. Do aktualizacji służy program „EVR-2 boot loader” dołączony do
karty lub dostępny na stronie producenta. Najnowszą wersją oprogramowania (firmware) można ściągnąć ze strony
producenta. Aby zaktualizować urządzenie należy:
1. Podłączyć urządzenie do komputera przez konwerter RS-485/RS232 lub USB/RS-485 (transmisja z potwierdzeniem) lub
SNIF-42 (transmisja bez potwierdzenia)
2. Wejść w tryb bootloadera (włączyć zasilanie z wyjętą kartą SD). Jest sygnalizowane miganiem diody kary flash.
3. Uruchomić program „EVR-2 Boot Loader”
4. Wybrać w aplikacji port COM, do którego podłączony jest konwerter lub SNIF-42, szybkość transmisji jest ustalona na
115200b/s.
5. Nacisnąć przycisk „Programuj” i wybrać plik firmware z rozszerzeniem .fw.
6. Czekać cierpliwie na zakończenie procesu aktualizacji. Po zakończeniu programowania EVR-2
zostanie automatycznie zresetowane i uruchomi się nowa wersja oprogramowania. Wersję oprogramowania można odczytać
z pliku „konfout.txt” generowanego przy każdym włożeniu karty SD do slotu.
1 – Wybór portu COM
2 – Przycisk wyboru pliku i programowania
3 – Wybór przejściówki
1
2
3
Rys 3. Zrzut ekranowy programu do aktualizacji
oprogramowania
DANE TECHNICZNE:
Ilość obsługiwanych czytników
Odległość czytnika od rejestratora
Wyjście przekaźnikowe
Napięcie styków przekaźnika
Prąd styków przekaźnika
Zasilanie 12VDC
Pobór prądu (bez podłączonych czytników)
Zabezpieczenie przed odwrotną polaryzacją napięcia wejściowego
Temperatura pracy
Wymiary
Waga
-2
- 150m (max)
-1
- 30VDC / 50VAC max.
- max 10A
- 12VDC
- <55mA
- TAK
- od -25°C do +70°C
- 100x62x28mm
- 70g