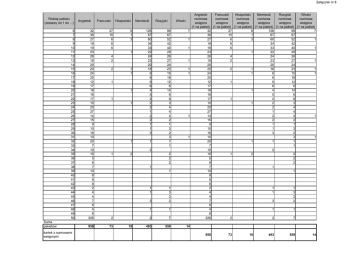
Załącznik nr 8 Rodzaj pakietu (zestawy od 1 do ...) Angielski

Transkrypt

Załącznik nr 8 Rodzaj pakietu (zestawy od 1 do ...) Angielski
Załącznik nr 8
Rodzaj pakietu
(zestawy od 1 do ...)
6
7
8
9
10
11
12
13
14
15
16
17
18
19
20
21
22
23
24
25
26
27
28
29
30
31
32
33
34
35
36
37
38
39
40
41
42
43
44
45
46
47
48
49
50
Suma
pakietów:
kartek z rozmowami
wstępnymi
Angielski
Francuski
Hiszpański
32
36
27
19
19
23
26
18
20
20
24
25
12
17
18
16
17
10
20
27
14
15
9
10
16
10
20
7
10
10
5
8
7
10
8
6
8
2
4
4
7
6
4
6
326
27
15
6
6
6
958
73
6
1
3
1
4
2
2
1
1
1
1
1
1
1
Niemiecki
Rosyjski
126
67
60
34
33
22
24
23
20
18
8
6
9
6
4
5
2
2
2
1
2
2
1
1
3
1
Włoski
99
67
52
42
40
29
26
27
24
23
15
18
12
6
14
6
8
3
4
4
4
2
1
3
2
3
1
1
7
1
1
1
1
1
1
1
2
1
2
2
2
2
1
1
1
1
2
18
3
1
3
2
2
1
1
2
7
493
559
Angielski
Francuski
Hiszpański
Niemiecki
Rosyjski
Włoski
rozmowa
rozmowa
rozmowa
rozmowa
rozmowa
rozmowa
wstępna
wstępna
wstępna
wstępna
wstępna
wstępna
(1 na pakiet) (1 na pakiet) (1 na pakiet) (1 na pakiet) (1 na pakiet) (1 na pakiet)
32
27
6
126
99
7
36
15
1
67
67
27
6
3
60
52
1
19
6
34
42
19
6
33
40
1
23
1
22
29
26
4
24
26
18
2
23
27
1
20
20
24
20
2
1
18
23
1
24
1
8
15
1
25
6
18
12
1
9
12
17
6
6
18
1
4
14
16
5
6
17
1
2
8
10
1
2
3
20
2
4
27
1
4
14
2
4
1
15
2
2
9
1
1
10
1
3
16
3
2
10
3
1
20
1
1
1
7
1
10
2
10
1
2
2
5
2
8
2
7
1
10
1
8
6
8
2
1
1
4
1
3
4
2
7
3
2
6
4
1
1
6
326
2
2
7
14
958
73
18
493
559
14