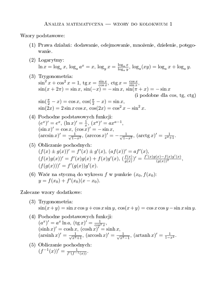
Analiza matematyczna wzory do kolokwium 1

Transkrypt

Analiza matematyczna wzory do kolokwium 1
Analiza matematyczna wzory do kolokwium 1
Wzory podstawowe:
(1) Prawa dziaªa«: dodawanie, odejmowanie, mno»enie, dzielenie, pot¦gowanie.
(2) Logarytmy:
ln x = loge x, loga ax = x, logy x =
loga x
loga y ,
loga (xy) = loga x + loga y .
(3) Trygonometria:
sin x
cos x
sin2 x + cos2 x = 1, tg x = cos
x , ctg x = sin x ,
sin(x + 2π) = sin x, sin(−x) = − sin x, sin(π + x) = − sin x
(i podobne dla cos, tg, ctg)
sin( π2 − x) = cos x, cos( π2 − x) = sin x,
sin(2x) = 2 sin x cos x, cos(2x) = cos2 x − sin2 x.
(4) Pochodne podstawowych funkcji:
(ex )0 = ex , (ln x)0 = x1 , (xa )0 = axa−1 ,
(sin x)0 = cos x, (cos x)0 = − sin x,
1
1
(arcsin x)0 = √1−x
, (arccos x)0 = − √
, (arctg x)0 =
2
1−x2
1
x2 +1 .
(5) Obliczanie pochodnych:
(f (x) ± g(x))0 = f 0 (x) ± g 0 (x), (af (x))0 = af 0 (x),
0
(x) 0
(x)g 0 (x)
(f (x)g(x))0 = f 0 (x)g(x) + f (x)g 0 (x), ( fg(x)
) = f (x)g(x)−f
,
(g(x))2
(f (g(x)))0 = f 0 (g(x))g 0 (x).
(6) Wzór na styczn¡ do wykresu
f
w punkcie
(x0 , f (x0 ):
y = f (x0 ) + f 0 (x0 )(x − x0 ).
Zalecane wzory dodatkowe:
(3) Trygonometria:
sin(x + y) = sin x cos y + cos x sin y , cos(x + y) = cos x cos y − sin x sin y .
(4) Pochodne podstawowych funkcji:
(ax )0 = ax ln a, (tg x)0 = cos12 x ,
(sinh x)0 = cosh x, (cosh x)0 = sinh x,
(arsinh x)0 = √x12 +1 , (arcosh x)0 = √x12 −1 , (artanh x)0 =
(5) Obliczanie pochodnych:
(f −1 (x))0 =
1
f 0 (f −1 (x)) .
1
1−x2 .