Informacja o stanie mienia na dn.31.12.2012

Transkrypt

Informacja o stanie mienia na dn.31.12.2012
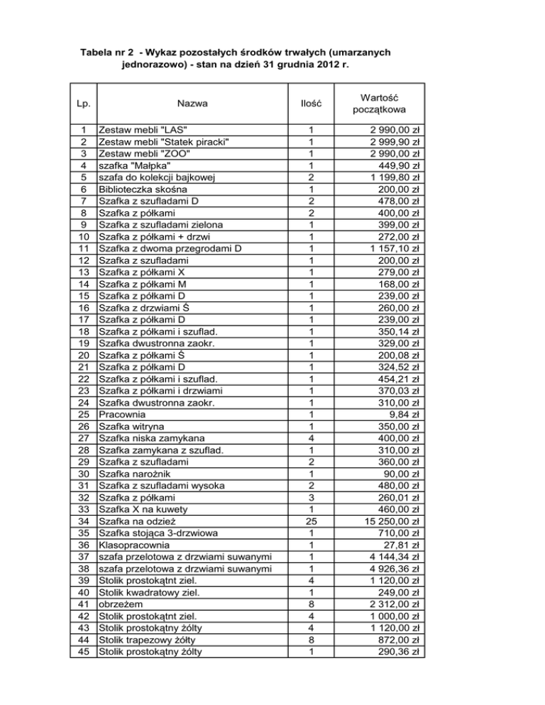
Tabela nr 2 - Wykaz pozostałych środków trwałych (umarzanych
jednorazowo) - stan na dzień 31 grudnia 2012 r.
Lp.
1
2
3
4
5
6
7
8
9
10
11
12
13
14
15
16
17
18
19
20
21
22
23
24
25
26
27
28
29
30
31
32
33
34
35
36
37
38
39
40
41
42
43
44
45
Nazwa
Zestaw mebli "LAS"
Zestaw mebli "Statek piracki"
Zestaw mebli "ZOO"
szafka "Małpka"
szafa do kolekcji bajkowej
Biblioteczka skośna
Szafka z szufladami D
Szafka z półkami
Szafka z szufladami zielona
Szafka z półkami + drzwi
Szafka z dwoma przegrodami D
Szafka z szufladami
Szafka z półkami X
Szafka z półkami M
Szafka z półkami D
Szafka z drzwiami Ś
Szafka z półkami D
Szafka z półkami i szuflad.
Szafka dwustronna zaokr.
Szafka z półkami Ś
Szafka z półkami D
Szafka z półkami i szuflad.
Szafka z półkami i drzwiami
Szafka dwustronna zaokr.
Pracownia
Szafka witryna
Szafka niska zamykana
Szafka zamykana z szuflad.
Szafka z szufladami
Szafka narożnik
Szafka z szufladami wysoka
Szafka z półkami
Szafka X na kuwety
Szafka na odzież
Szafka stojąca 3-drzwiowa
Klasopracownia
szafa przelotowa z drzwiami suwanymi
szafa przelotowa z drzwiami suwanymi
Stolik prostokątnt ziel.
kwadratowy zziel.
Stolik prostokątny
czerwonym
obrzeżem
Stolik prostokątnt ziel.
Stolik prostokątny żólty
Stolik trapezowy żółty
Stolik prostokątny żólty
Ilość
1
1
1
1
2
1
2
2
1
1
1
1
1
1
1
1
1
1
1
1
1
1
1
1
1
1
4
1
2
1
2
3
1
25
1
1
1
1
4
1
8
4
4
8
1
Wartość
początkowa
2 990,00 zł
2 999,90 zł
2 990,00 zł
449,90 zł
1 199,80 zł
200,00 zł
478,00 zł
400,00 zł
399,00 zł
272,00 zł
1 157,10 zł
200,00 zł
279,00 zł
168,00 zł
239,00 zł
260,00 zł
239,00 zł
350,14 zł
329,00 zł
200,08 zł
324,52 zł
454,21 zł
370,03 zł
310,00 zł
9,84 zł
350,00 zł
400,00 zł
310,00 zł
360,00 zł
90,00 zł
480,00 zł
260,01 zł
460,00 zł
15 250,00 zł
710,00 zł
27,81 zł
4 144,34 zł
4 926,36 zł
1 120,00 zł
249,00 zł
2 312,00 zł
1 000,00 zł
1 120,00 zł
872,00 zł
290,36 zł
46
47
48
49
50
51
52
53
54
55
56
57
58
59
60
61
62
63
64
65
66
67
68
69
70
71
72
73
74
75
76
77
78
79
80
81
82
83
84
85
86
87
88
89
90
91
92
93
94
95
96
Stolik prostokątny żólty
Stolik kwadratowy żólty
Organy CASIO
Ławka
Ławka
Ławka
Chodnik
Dywan Ragolle
Dywan Ragolle
Dywan
Dywan
Dywan
Dywan
Dywan
Dywan Agnella
Klocki drewn. Miasto
Klocki Budowa cieni - duża
Kuchnia TEFAL
Kolejka drewniana
Domek pielęgnacyjny
Klocki dr. Domek Matem.
Klocki dr. Wieś
Klocki Bringo
Klocki drewn.Ruch uliczny
Domek
Klocki drewniane "Pociąg"
Klocki Konstruktor
Kącik pielęgnacyjny
Zabudowa meblowa
Zabudowa meblowa
zabudowa meblowa
Szafka witryna
Szafka barek
Szafka zamykana
Szafka zaokrąglona
Zabudowa meblowa
Szafa z pólkami zamykana
Regał biblioteczny
Szafa ubraniowa
Szafka z półkami mała
Szafa zamykana z półkami
szafa na akta ze skarbczykiem
Szafa ubraniowa
Szafka zamykana
Szafka z półkami
Szafka z półkami
Szafa -system zabudowy
Zabudowa meblowa
Szafa na akta
Zabudowa meblowa
Monitor
3
1
1
2
2
2
1
2
1
1
1
1
2
1
2
1
1
1
1
1
1
1
1
1
1
1
1
1
1
1
1
1
1
2
1
1
1
1
1
1
1
1
1
1
1
1
1
1
3
1
1
846,00 zł
250,10 zł
540,00 zł
260,10 zł
306,00 zł
280,00 zł
569,94 zł
1 151,00 zł
575,51 zł
699,12 zł
416,33 zł
416,34 zł
1 135,22 zł
778,44 zł
1 282,72 zł
620,00 zł
578,00 zł
549,00 zł
610,00 zł
732,00 zł
400,00 zł
580,00 zł
549,00 zł
600,00 zł
1 400,00 zł
976,00 zł
1 100,00 zł
549,00 zł
1 950,00 zł
2 280,00 zł
2 214,00 zł
570,00 zł
295,00 zł
550,00 zł
130,00 zł
2 070,00 zł
417,00 zł
700,00 zł
335,00 zł
105,00 zł
410,00 zł
1 046,76 zł
350,00 zł
242,00 zł
120,00 zł
120,00 zł
1 978,31 zł
2 340,00 zł
2 926,17 zł
2 930,00 zł
600,00 zł
97
98
99
100
101
102
103
104
105
106
107
108
109
110
111
112
113
114
115
116
117
118
119
120
121
122
123
124
125
126
127
128
129
130
131
132
133
134
135
Komputer
Biurko z zielonym obrzeżem
Biurko małe
Biurko komputerowe
Biurko
Biurko rogowe duże
Biurko rogowe komputerowe
Biurko
Biurko
Biurko
Biurko
Aparat fotograficzny Smasung S 630
Aparat fotograficzny
Skaner
Monitor
niszczarka dokumentów
notebok ASUS
Xerokopiarka
Niszczarka
Zestaw komputerowy
Żaluzja pionowa
Fax Panasonic
Dyktafon
Magnetowid
Zestaw nagłaśniający
Sprzęt Audio - zestaw
Pianino
Drabinki
Wieża z tunelem
Zjeżdżalnia
Zjeżdżalnia MIKY
Stół zlewozmywakowy
Stół z basenem
Stół do pracy
Stół wąski
Stół przyścienny z drzwiami
Stół ze zlewem dwukomorowym
Stół ze zlewem jednokomorowym
Stół roboczy przyścienny
136 Regał zpółkami
Szafa nierdzewna z drzwiami suwanymi
137 1000X500X2000
Szafa nierdzewna z drzwiami suwanymi
138 900X300X2000
szafka nierdzewna z drzwiami
139 rozwieralnymi 100X500X400
Stół nierdzewny, roboczy z drzwiami
140 rozwieralnymi
Regał ze stali nierdzewnej - regał
141 magazynowy
Stół nierdzewny ze zlewem
142 dwukomorowym + bataeria
1
1
2
1
1
1
1
1
1
1
1
1
1
1
1
1
1
1
1
1
1
1
1
1
1
1
1
2
1
1
1
1
1
1
1
1
1
1
1
1 100,00 zł
270,00 zł
799,80 zł
180,00 zł
280,00 zł
400,00 zł
295,00 zł
397,00 zł
295,00 zł
430,00 zł
255,00 zł
560,00 zł
499,00 zł
319,01 zł
630,00 zł
610,00 zł
3 000,00 zł
3 376,96 zł
85,39 zł
1 605,00 zł
293,72 zł
713,43 zł
199,00 zł
140,00 zł
2 000,00 zł
1 495,00 zł
1,14 zł
173,98 zł
893,45 zł
642,00 zł
1 171,20 zł
1 450,99 zł
1 230,88 zł
1 503,20 zł
1 030,90 zł
1 900,00 zł
1 200,00 zł
1 050,00 zł
650,00 zł
1
1 825,12 zł
2
7 892,42 zł
1
3 294,00 zł
2
2 152,08 zł
1
1 652,49 zł
1
1 092,51 zł
1
2 122,56 zł
143 Stół z szafką i szufladami 800X700X850
1
2 465,99 zł
144 Stół z szafką i drzwiczkami 900X700X850
145 Stół z dwoma zlewami 1000X500X850
1
1
1
1 892,53 zł
1 613,57 zł
857,60 zł
146
147
148
149
150
151
152
153
154
155
156
157
158
159
160
161
162
163
164
165
166
167
168
169
170
171
172
173
174
175
176
177
178
179
180
181
182
183
184
185
186
187
188
Stól roboczy 1200X700X850
Stół z szafką i szufladami
Stół z szafką
Napęd z płynną regulacją
Rozdrabniarka
Maszynka do mięsa
Garnek
Garnek
Garnek
Garnek
Robot kuchenny
Wózek kelnerski
Wózek kelnerski
Maszynka do mięsa
Mikser planetarny
Kuchnia
Kuchnia
Taboret gazowy
Taboret gazowy
Grzejnik do wody
Waga kuchenna
Krajalnica do wędlin
Zamrażarka
Chłodziarko-zamrażarka
Chłodziarka
Chłodziarka do jajek
Wiertarka
Waga lekarska
Pralka AMICA
Kosiarka spalinowa
Gaśnica
Gaśnica
Gaśnica
Gaśnica
Czytnik kart zbliżeniowych
Zestaw komputerowy
Szafa na stroje - zabudowa meblowa
Zabudowa meblowa - regały
Szafki wiszące
Zabudowa meblowa
Szafka na puchary z oświetleniem
Regał na książki
Żaluzaja pionowa
RAZEM
1
1
1
1
1
3
1
1
1
1
2
1
1
1
1
1
1
1
1
1
1
1
1
1
1
1
1
1
1
5
1
1
1
1
1
1
6
4
1,8
1
1
1
275,80
2 958,50 zł
1 538,42 zł
2 320,00 zł
1 923,94 zł
988,20 zł
1 767,75 zł
463,61 zł
239,11 zł
303,78 zł
279,38 zł
2 132,56 zł
413,76 zł
1 207,80 zł
1 610,40 zł
860,00 zł
680,00 zł
1 448,75 zł
1 646,73 zł
620,60 zł
649,04 zł
660,00 zł
98,00 zł
1 130,00 zł
1 150,00 zł
841,80 zł
164,00 zł
0,29 zł
1 200,00 zł
599,00 zł
707,60 zł
140,30 zł
84,60 zł
84,57 zł
1 082,40 zł
3 500,00 zł
3 000,00 zł
4 200,00 zł
1 600,00 zł
2 160,00 zł
950,00 zł
350,00 zł
708,28 zł
203 879,55 zł