wiczenie 1. Ł¡ czenie dwóch rozległych sieci. 1. Poł¡ czenie Dial-Up

Transkrypt

wiczenie 1. Ł¡ czenie dwóch rozległych sieci. 1. Poł¡ czenie Dial-Up
Instrukcje do laboratorium ASK (3)
wiczenie 1. Ł czenie dwóch rozległych sieci.
1. Poł czenie Dial-Up (telefoniczne) dwóch sieci (Windows 98)
1.1. Zainstaluj kart dial-up:
1.1.1. Start -> Panel Sterowania -> Sie
1.1.2. Dodaj -> Karta -> Dodaj
1.1.2.1.Producenci: Microsoft, Karty sieciowe: Karta Dial-Up.
1.2. Zainstaluj protokół TCP/IP:
1.3. Start -> Panel Sterowania -> Sie
3.1. Dodaj -> Protokół -> Dodaj -> Producenci: Microsoft -> Protokoły sieciowe: Protokół TCP/IP.
1.4. Zainstaluj usług Udost pnianie plików i drukarek w sieciach Microsoft Network
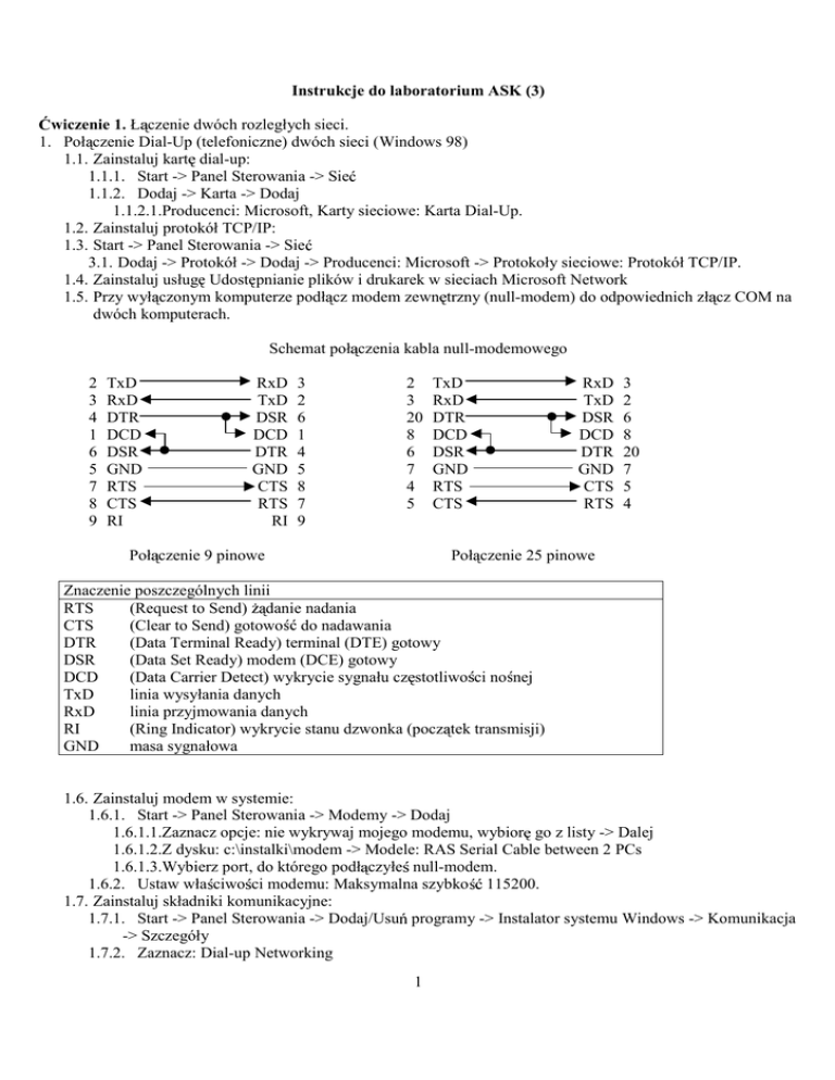
1.5. Przy wył czonym komputerze podł cz modem zewn trzny (null-modem) do odpowiednich zł cz COM na
dwóch komputerach.
Schemat poł czenia kabla null-modemowego
2
3
4
1
6
5
7
8
9
TxD
RxD
DTR
DCD
DSR
GND
RTS
CTS
RI
RxD
TxD
DSR
DCD
DTR
GND
CTS
RTS
RI
3
2
6
1
4
5
8
7
9
2
3
20
8
6
7
4
5
Poł czenie 9 pinowe
TxD
RxD
DTR
DCD
DSR
GND
RTS
CTS
RxD
TxD
DSR
DCD
DTR
GND
CTS
RTS
3
2
6
8
20
7
5
4
Poł czenie 25 pinowe
Znaczenie poszczególnych linii
RTS
(Request to Send) danie nadania
CTS
(Clear to Send) gotowo do nadawania
DTR
(Data Terminal Ready) terminal (DTE) gotowy
DSR
(Data Set Ready) modem (DCE) gotowy
DCD
(Data Carrier Detect) wykrycie sygnału cz stotliwo ci no nej
TxD
linia wysyłania danych
RxD
linia przyjmowania danych
RI
(Ring Indicator) wykrycie stanu dzwonka (pocz tek transmisji)
GND
masa sygnałowa
1.6. Zainstaluj modem w systemie:
1.6.1. Start -> Panel Sterowania -> Modemy -> Dodaj
1.6.1.1.Zaznacz opcje: nie wykrywaj mojego modemu, wybior go z listy -> Dalej
1.6.1.2.Z dysku: c:\instalki\modem -> Modele: RAS Serial Cable between 2 PCs
1.6.1.3.Wybierz port, do którego podł czyłe null-modem.
1.6.2. Ustaw wła ciwo ci modemu: Maksymalna szybko 115200.
1.7. Zainstaluj składniki komunikacyjne:
1.7.1. Start -> Panel Sterowania -> Dodaj/Usu programy -> Instalator systemu Windows -> Komunikacja
-> Szczegóły
1.7.2. Zaznacz: Dial-up Networking
1
1.7.3. Na komputerze, który b dzie udost pniał zasoby (serwerze dial-up) zaznacz równie : Serwer DialUp
1.8. Udost pnianie zasobów przez serwer:
1.8.1. Start -> Programy -> Akcesoria -> Komunikacja -> Dial-Up Networking
1.8.2. Menu: Poł czenia -> Serwer Dial-Up
1.8.3. Zakładka: RAS Serial Cable ...: Zaznacz opcj : Dozwolony dost p dla wywołuj cego
1.8.4. Zmie hasło: ustaw hasło: ppp
1.8.5. Typ serwera: Default, Wył cz opcj : Wymagaj zaszyfrowanego hasła.
2. Ł czenie z serwerem dial-up:
2.1. Start -> Programy -> Akcesoria -> Komunikacja -> Dial-Up Networking
2.2. Utwórz nowe poł czenie -> Wybierz urz dzenie: RAS Serial Cable ... -> Konfiguruj -> Maksymalna
szybko : 115200.
2.2.1. Numer telefonu: dowolny (np. 1234567).
2.2.2. Wybierz utworzone poł czenie -> Wpisz hasło: ppp -> Poł cz.
2.3. Sprawd poł czenie mi dzy komputerami, ping 192.168.55.1, 192.168.55.2
2.3.1. Je li serwer dial-up udost pnia jakie zasoby mo esz je przejrze w otoczeniu sieciowym: w polu
adres wpisz jego adres IP serwera dial-up: \\192.168.55.1
wiczenie 2. ICS – Udost pnianie poł czenia internetowego.
1. ICS – Windows 98 (nie działa pod Win95).
1.1. Zainstaluj dwie karty sieciowe (modem, karta sieciowa) w odpowiednim zł czu (ISA, PCI) na płycie
głównej komputera przy WYŁ CZONYM zasilaniu na komputerze, który jest podł czony bezpo rednio
do sieci Internet (brama).
1.2. Uruchom system operacyjny.
1.3. Zainstaluj odpowiednie sterowniki dla tych kart.
1.4. Zainstaluj protokół TPC/IP i odpowiednio skonfiguruj karty sieciowe.
1.4.1. Oznaczmy kart przył czon do sieci „zewn trznej” jako WAN.
1.4.2. Oznaczmy kart przył czon do sieci „wewn trznej” jako LAN.
1.4.3. Konfiguracja karty WAN:
1.4.3.1. Adres IP: 155.158.112.250,
1.4.3.2. maska: 255.255.255.0
1.4.3.3. brama: 155.158.112.1
1.4.3.4. DNS: 155.158.102.7
1.4.4. Sprawd poł czenie z sieci Internet pinguj c najpierw bram , potem serwer DNS, nast pnie adres
IP spoza segmentu i adres domenowy.
1.4.5. Kart LAN mo na pozostawi bez konfiguracji.
1.5. Zainstaluj Udost pnianie poł czenia internetowego:
1.5.1. Start -> Panel Sterowania -> Dodaj/Usu programy -> Instalator systemu Windows -> Składniki ->
Narz dzia internetowe -> Szczegóły -> Udost pnianie poł czenia internetowego.
1.6. Zaznacz w jaki sposób uzyskujesz dost p do sieci Internet (post puj zgodnie z wy wietlan instrukcj , lecz
nie twórz dyskietki instalacyjnej poł czenia).
1.7. Po restarcie komputera zmodyfikuj Opcje internetowe (Panel sterowania)
1.7.1. Zakładka: Poł czenia -> Udost pnianie.
1.7.2. Poł cz z Internetem u ywaj c -> wybierz kart WAN
1.7.3. Poł cz z sieci macierzyst u ywaj c -> wybierz kart LAN.
1.8. Konfiguracja klientów:
1.8.1. Na ka dej stacji roboczej skonfiguruj protokół dla karty sieciowej:
1.8.2. Adres IP dla sieci 192.168.0.0, maska: 255.255.255.0, brama: 192.168.0.1, DNS: 155.158.102.7
1.9. Sprawd poł czenia w sieci lokalnej (ping ze stacji klienckiej do serwera ICS).
1.10.
Sprawd poł czenie z innymi komputerami poza sieci LAN (wg. pkt. 1.4.4)
2. ICS – Win32 przy pomocy programów inny firm.
2
2.1. Patrz punkty 1.1 – 1.4.4
2.2. Skonfiguruj kart LAN na bramie: adres IP: 192.168.0.1, maska: 255.255.255.0
2.3. Nadaj wszystkim komputerom w sieci LAN adresy IP sieci 192.168.0.0, maska: 255.255.255.0, brama:
192.168.0.1, wł cz DNS i dodaj adres: 155.158.102.7.
2.4. Przetestuj poł czenia w sieci LAN (ping).
2.5. Instalacja serwera SOCKET4/5 na bramie:
2.5.1. Uruchom program c:\sieci\socket\sockserv.exe.
2.5.2. W pole port wpisz 1080 i uruchom serwer SOCKET4/5.
2.6. Konfiguracja wybranych klientów na stacjach roboczych.
2.6.1. Internet Explorer: Narz dzia -> Opcje internetowe -> Poł czenia -> Ustawienia sieci LAN -> U yj
serwera proxy -> Adres: adres IP bramy, Port: 1080.
2.6.2. Netscape Navigator 4.x: Edit -> Preferences -> Advanced -> Proxies -> Manual proxy
configuration ->View -> Socks: adres IP bramy, Port: 1080.
2.6.3. mIRC: File -> Setup.... -> FireWall -> Hostname: adres IP bramy, Port: 1080.
3. ICS Windows 2000.
3.1. Patrz punkty 1.1 – 1.4.5.
3.2. Skonfiguruj serwer poprawnie DNS.
3.3. Wł cz udost pnianie poł czenia internetowego:
3.3.1. Poł czenie karty WAN -> Properties -> Zakładka Sharing
3.3.2. Zaznacz opcj Enable Internet Sharing …
3.4. Karta LAN otrzyma adres IP: 192.168.0.1 i mask 255.255.255.0
3.5. Konfiguracja klientów:
3.5.1. Na ka dej stacji roboczej skonfiguruj protokół dla karty sieciowej:
3.5.2. Adres IP dla sieci 192.168.0.0, maska: 255.255.255.0, brama: 192.168.0.1, DNS: 192.168.0.1.
3.6. Patrz punkty 1.9 ÷ 1.10.
4. ICS oraz Proxy Server + Firewall: Wingate.
4.1. Wył cz systemowe udost pnianie poł czenia internetowego.
4.2. Zainstaluj program c:\sieci\Wingate\wingate.exe
4.2.1. Post puj zgodnie z instrukcj oraz podczas instalacji zastosuj opcje:
4.2.2. wybierz Custom setup,
4.2.3. zaznacz opcj Use Wingate mail server, wpisz domen : sala09.lokalna
4.2.4. zainstaluj tylko HTTP proxy, FTP proxy, SOCKS server,
4.2.5. nie instaluj VNP
4.2.6. zrestartuj komputer.
4.3. Lokalna konfiguracja:
4.4. Uruchom program GateKeeper.exe i zaloguj si lokalnie na konto Adminstrator (bez hasła)
4.5. Zmie opcje elementu Remote Control Service 808,
4.5.1. Zakładka Bindings, zaznacz opcj Specify interfaces connections … i dodaj dwie karty:
192.168.0.1, 127.0.0.1
4.5.2. Zatwierd zmiany.
4.5.3. Od teraz mo na konfigurowa serwer proxy równie zdalnie.
4.6. Zdalna konfiguracja:
4.6.1. W przegl darce wpis adres komputera, na którym został zainstalowany Wingate i port 8010, np.:
http://192.168.0.1:8010
4.6.2. Uruchom program GateKeeper.exe
4.6.3. Odznacz pole: Log on to Local machine, w polu Server wpisz IP stacji, na której został
zainstalowany Wingate.
4.7. W zakładce System wył cz usług DHCP Service.
4.8. Je li w sieci pracuje ju serwer DNS wył cz równie DNS Service.
4.9. Konfiguracja serwisów (zakładka Services):
4.9.1. WWW Proxy service: 80
3
4.9.2. Service will start automatically – automatyczne uruchomienie serwisu po starcie Wingate’a,
4.9.3. Service port: 80 (domy lna warto ) port, na którym b dzie nasłuchiwał serwis.
4.9.4. Zakładka Bindings (na których kartach sieciowych wywołania b d akceptowane): Specify
interfaces connections will be actepted on – zaznaczone; Bound: 192.168.0.1, 127.0.0.1; w polu
Available zostaje: 155.158.112.250
4.9.5. Zakładka Interface (poprzez które zł cza b d realizowane poł czenia wychodz ce): Connections to
be made out on the following interface only : 155.158.112.250
4.9.6. Zakładka Session: zaznacz Session time out after.. (czas, po którym klient zostanie rozł czony
podczas bezczynno ci) i wpisz 180 (sek)
4.9.7. FTP Proxy service: 21
4.9.8. Konfiguracja przebiega identycznie jak serwisu WWW Proxy (patrz punkty 4.8.1 – 4.8.6.
4.10.
Konfigurowanie klienta – przegl darka WWW.
4.10.1. Internet Explorer: Narz dzia -> Opcje internetowe -> Poł czenia -> Ustawienia sieci LAN -> U yj
serwera proxy -> Zaawansowane: w polu HTTP, FTP i Socks wpisz adres IP komputera, na którym
jest zainstalowany; w polu Port wpisz odpowiednio warto ci 80, 21, 1080. Zaznacz równie pole
Nigdy nie wybierał poł czenia.
4.10.2. Netscape Navigator 4.x: Edit -> Preferences -> Advanced -> Proxies -> Manual proxy
configuration ->View: wpisz warto ci z punktu 4.9.1.
4.10.3. Sprawd przegl danie stron WWW.
4.11.
Konfiguracja poczty jako POP Proxy Service i TPC Mapping Service.
4.11.1. POP3 Proxy Service -> Properties
4.11.2. Upewnij si czy w polu Port jest warto 8110.
4.11.3. W polu Delimiter character jest znak #. Zatwierd zmiany.
4.11.4. Kliknij prawym klawisze myszki w oknie Services -> New TCP Mapping Service.
4.11.5. W polu Service Name wpisz nazw reprezentuj c konto, na które chcesz wysyła poczt .
4.11.6. Service Port: 1025.
4.11.7. Zaznacz pole: Enable default mapping to
4.11.8. Server: adres serwera SMTP, na którego chcesz wysyła poczt .
4.11.9. on port: 25.
4.11.10.
Punkty 4.11.1 – 4.11.9 powtarzaj dla ka dego konta pocztowego, przy czy ka da usługa
musi posiada unikatowy Service Port (np. 1026, 1027, …)
4.12.
Konfiguracja klienta pocztowego na przykładzie MS Outlook Express.
4.12.1. Narz dzie -> konta -> Dodaj -> Poczta (oto wybrane opcje):
4.12.2. Posiadam ju adres e-mail …, Adres e-mail: wpisz swój adres.
4.12.3. Serwer poczty przychodz cej (POP3) i wychodz cej : 192.168.0.1
4.12.4. Nazwa konta: swój_login#adres_serwera_pocztowego (zamiast @ wpisz #).
4.12.5. Wła ciwo ci nowego konta -> zaawansowane .
4.12.6. Poczta wychodz ca (SMTP): numer portu dla konkretnego serwera SMTP z punktu 4.12.10 (np:
1025)
4.13.
Firewall
4.13.1. Wył cz skonfigurowane wcze niej serwisy Proxy (dla WWW, FTP, itp.)
4.13.2. Zakładka System, wła ciwo ci elementu Extendex Networking
4.13.3. Wył cz opcj : Support for multiple subnetworks (router)
4.13.4. Wł cz opcj : General Purpose Internet Sharing (NAT)
4.13.5. Zaznacz opcj : Low: …
4.13.6. Przejd do zakładki Port Security
4.13.7. Dla elementu Connections from the Internet i protokołu TCP usu elementy:
TELNET (23), AUTH (113), NNTP (119), External (1024-4096)
4.13.8. Dla elementu Connections from the Internet i protokołu UDP usu elementy:
External (1024-4096)
4.13.9. ustaw Default action (domy lna akcja): Deny
4
4.13.10.
Przy takiej konfiguracji dost p z zewn trz do sieci LAN jest dozwolony tylko dla usługi
dost pu do serwera FTP (port 20-21), usługi dost pu do serwera SMTP (25) , usługi dost pu do
serwera WWW (80) , usługi dost pu do serwera POP3 (110). Pozostałe elementy b d blokowane.
4.13.11.
Dla elementów Lan connections to WingatePC i Lan connections to Internet ustaw Default
action -> Allow.
4.13.12.
Dost p do sieci Internet z sieci LAN nie jest ograniczany w aden sposób.
wiczenie 3. Ł czenie dwóch segmentów sieci LAN - router programowy.
1. Zainstaluj protokół TCP/IP.
2. Zainstaluj dwie karty sieciowe.
3. Ustawienia karty poł czonej z sieci A (192.168.0.0):
3.1. IP: 192.168.0.1, maska: 255.255.255.0
4. Ustawienia karty poł czonej z sieci B (192.168.1.0):
4.1. IP: 192.168.1.1, maska: 255.255.255.0
5. Konfigurowanie kart sieciowych w sieci A:
5.1. adresy IP: 192.168.0.0, maska: 255.255.255.0, brama: 192.168.0.1
6. Konfigurowanie kart sieciowych w sieci B:
6.1. adresy IP: 192.168.1.0, maska: 255.255.255.0, brama: 192.168.1.1
7. Wł czenie przekazywania pakietów
7.1. Otwórz rejestr (regedit.exe)
7.1.1. Otwórz klucz
HKEY_LOCAL_MACHINE\SYSTEM\CurrentControlSet\Services\Tcpip\Parameters
7.1.2. Zmie wpis: EnableIPRouting z warto ci 0 na 1
7.1.3. Zrestartuj system i id do pkt. 8.
7.2. Mechanizmy Routing i Zdalnego dost pu:
7.2.1. Menu Start -> Settings -> Control Panel
7.2.2. Administrative tools -> Routing and Remote Access
7.2.3. Je li serwis działa to wył cz go: menu Action -> Disable Routing …
7.2.4. menu Action -> Configure and Enable Routing …
7.2.5. Zaznacz opcj Network router i post puj zgodnie z instrukcjami
7.2.6. Nie restartuj systemu.
8. Sprawd poł czenia wszystkich komputerów w sieci A (równie z bram 192.168.0.1)
9. Sprawd poł czenia wszystkich komputerów w sieci B (równie z bram 192.168.1.1)
10. Sprawd poł czenia komputerów sieci A z sieci B.
5