Przedsięwzięcia naukowo

Transkrypt

Przedsięwzięcia naukowo
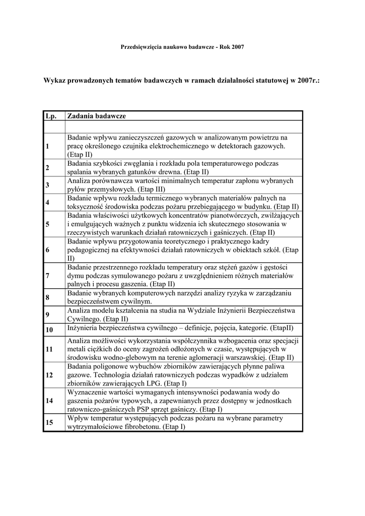
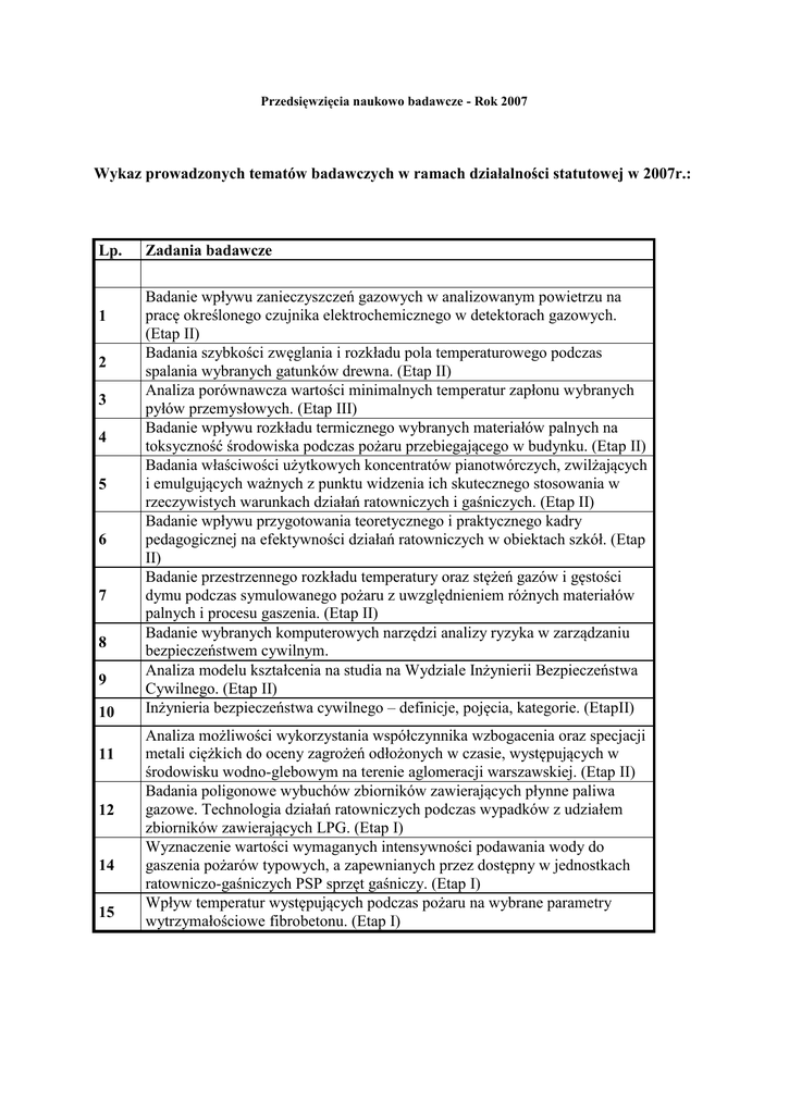
Przedsięwzięcia naukowo badawcze - Rok 2007
Wykaz prowadzonych tematów badawczych w ramach działalności statutowej w 2007r.:
Lp.
1
2
3
4
5
6
7
8
9
10
11
12
14
15
Zadania badawcze
Badanie wpływu zanieczyszczeń gazowych w analizowanym powietrzu na
pracę określonego czujnika elektrochemicznego w detektorach gazowych.
(Etap II)
Badania szybkości zwęglania i rozkładu pola temperaturowego podczas
spalania wybranych gatunków drewna. (Etap II)
Analiza porównawcza wartości minimalnych temperatur zapłonu wybranych
pyłów przemysłowych. (Etap III)
Badanie wpływu rozkładu termicznego wybranych materiałów palnych na
toksyczność środowiska podczas pożaru przebiegającego w budynku. (Etap II)
Badania właściwości użytkowych koncentratów pianotwórczych, zwilżających
i emulgujących ważnych z punktu widzenia ich skutecznego stosowania w
rzeczywistych warunkach działań ratowniczych i gaśniczych. (Etap II)
Badanie wpływu przygotowania teoretycznego i praktycznego kadry
pedagogicznej na efektywności działań ratowniczych w obiektach szkół. (Etap
II)
Badanie przestrzennego rozkładu temperatury oraz stężeń gazów i gęstości
dymu podczas symulowanego pożaru z uwzględnieniem różnych materiałów
palnych i procesu gaszenia. (Etap II)
Badanie wybranych komputerowych narzędzi analizy ryzyka w zarządzaniu
bezpieczeństwem cywilnym.
Analiza modelu kształcenia na studia na Wydziale Inżynierii Bezpieczeństwa
Cywilnego. (Etap II)
Inżynieria bezpieczeństwa cywilnego – definicje, pojęcia, kategorie. (EtapII)
Analiza możliwości wykorzystania współczynnika wzbogacenia oraz specjacji
metali ciężkich do oceny zagrożeń odłożonych w czasie, występujących w
środowisku wodno-glebowym na terenie aglomeracji warszawskiej. (Etap II)
Badania poligonowe wybuchów zbiorników zawierających płynne paliwa
gazowe. Technologia działań ratowniczych podczas wypadków z udziałem
zbiorników zawierających LPG. (Etap I)
Wyznaczenie wartości wymaganych intensywności podawania wody do
gaszenia pożarów typowych, a zapewnianych przez dostępny w jednostkach
ratowniczo-gaśniczych PSP sprzęt gaśniczy. (Etap I)
Wpływ temperatur występujących podczas pożaru na wybrane parametry
wytrzymałościowe fibrobetonu. (Etap I)
Wykaz prowadzonych tematów badawczych w ramach badań własnych uczelni
wyższych w 2007r.:
Lp.
1
2
3
4
5
6
7
8
9
10
11
Zadanie badawcze
Projekt metodyki oceny poprawności przebiegu działań ratowniczo-gaśniczych.
– Etap II.
Analiza przygotowania struktur reagowania w Polsce na zagrożenia związane
z użyciem broni masowego rażenia (NBC) – Etap II.
Badanie wpływu wentylacji pożarowej na ewakuację ludzi z budynku, w
czasie trwania pożaru, z wykorzystaniem metod analizy ryzyka – Etap II.
Koncepcja zabezpieczenia logistycznego skoordynowanych działań
ratowniczych na obszarze województwa mazowieckiego – Etap II.
Analiza zagrożenia pożarowego przy stosowaniu żeliwnych wkładów
kominkowych – Etap II.
Zmiana właściwości piroforycznych siarczków żelaza w wyniku ich
utlenienia roztworem nadmanganianu potasu –etap I.
Studium warunków przejścia ze spalania bezpłomieniowego w płomieniowe
pyłów w warstwie oraz usypisk pyłowych –etap I.
Analiza porównawcza wpływu sposobu zapoczątkowania reakcji spalania
jednorodnych cieczy palnych i mieszanin na ich właściwości palne. – etap I.
Wpływ kształtu rozpryskiwacza elementów wylotowych stałych wodnych
urządzeń gaśniczych na równomierność zraszania powierzchni –etap I.
Analiza zakresu stosowania modułowych urządzeń gaśniczych w zależności
od szczelności. – Etap II
Analiza danych w zakresie wykorzystania zawodowego absolwentów SGSP
w celu modyfikacji sylwetki zawodowej – etap I
Projekty badawcze w 2007r.:
Badania nad zastosowaniem pian w działaniach ratowniczych związanych
z neutralizacją skażeń chemicznych i biologicznych".
·„Modele zagrożeń aglomeracji miejskiej wraz z systemem zarządzania
kryzysowego na przykładzie m. st. Warszawy”.