Specyfikacja dla usługi wynajmu urządzeń kserograficznych dla

Transkrypt

Specyfikacja dla usługi wynajmu urządzeń kserograficznych dla
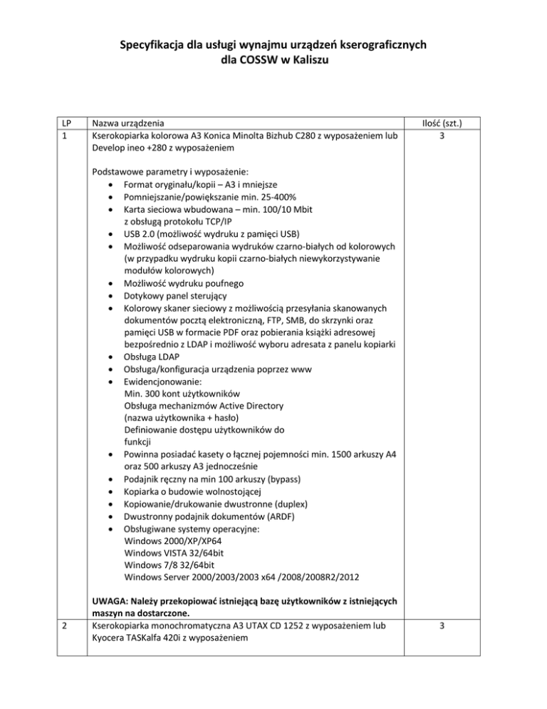
Specyfikacja dla usługi wynajmu urządzeń kserograficznych
dla COSSW w Kaliszu
LP
1
Nazwa urządzenia
Kserokopiarka kolorowa A3 Konica Minolta Bizhub C280 z wyposażeniem lub
Develop ineo +280 z wyposażeniem
Ilość (szt.)
3
Podstawowe parametry i wyposażenie:
 Format oryginału/kopii – A3 i mniejsze
 Pomniejszanie/powiększanie min. 25-400%
 Karta sieciowa wbudowana – min. 100/10 Mbit
z obsługą protokołu TCP/IP
 USB 2.0 (możliwość wydruku z pamięci USB)
 Możliwość odseparowania wydruków czarno-białych od kolorowych
(w przypadku wydruku kopii czarno-białych niewykorzystywanie
modułów kolorowych)
 Możliwość wydruku poufnego
 Dotykowy panel sterujący
 Kolorowy skaner sieciowy z możliwością przesyłania skanowanych
dokumentów pocztą elektroniczną, FTP, SMB, do skrzynki oraz
pamięci USB w formacie PDF oraz pobierania książki adresowej
bezpośrednio z LDAP i możliwość wyboru adresata z panelu kopiarki
 Obsługa LDAP
 Obsługa/konfiguracja urządzenia poprzez www
 Ewidencjonowanie:
Min. 300 kont użytkowników
Obsługa mechanizmów Active Directory
(nazwa użytkownika + hasło)
Definiowanie dostępu użytkowników do
funkcji
 Powinna posiadać kasety o łącznej pojemności min. 1500 arkuszy A4
oraz 500 arkuszy A3 jednocześnie
 Podajnik ręczny na min 100 arkuszy (bypass)
 Kopiarka o budowie wolnostojącej
 Kopiowanie/drukowanie dwustronne (duplex)
 Dwustronny podajnik dokumentów (ARDF)
 Obsługiwane systemy operacyjne:
Windows 2000/XP/XP64
Windows VISTA 32/64bit
Windows 7/8 32/64bit
Windows Server 2000/2003/2003 x64 /2008/2008R2/2012
2
UWAGA: Należy przekopiować istniejącą bazę użytkowników z istniejących
maszyn na dostarczone.
Kserokopiarka monochromatyczna A3 UTAX CD 1252 z wyposażeniem lub
Kyocera TASKalfa 420i z wyposażeniem
3
Podstawowe parametry i wyposażenie:
 Format oryginału/kopii – A3 i mniejsze
 Pomniejszanie/powiększanie min. 25-400%
 Karta sieciowa wbudowana – min. 100/10 Mbit
z obsługą protokołu TCP/IP
 USB 2.0 (możliwość wydruku z pamięci USB)
 Możliwość wydruku poufnego
 Dotykowy panel sterujący
 Kolorowy skaner sieciowy z możliwością przesyłania skanowanych
dokumentów pocztą elektroniczną, FTP, SMB, do skrzynki oraz
pamięci USB w formacie PDF oraz pobierania książki adresowej
bezpośrednio z LDAP i możliwość wyboru adresata z panelu kopiarki
 Obsługa LDAP
 Obsługa/konfiguracja urządzenia poprzez www
 Ewidencjonowanie:
Min. 300 kont użytkowników
Obsługa mechanizmów Active Directory
(nazwa użytkownika + hasło)
Definiowanie dostępu użytkowników do
funkcji
 Powinna posiadać kasety o łącznej pojemności min. 1500 arkuszy A4
oraz 500 arkuszy A3 jednocześnie
 Podajnik ręczny na min 100 arkuszy (bypass)
 Kopiarka o budowie wolnostojącej
 Kopiowanie/drukowanie dwustronne (duplex)
 Dwustronny podajnik dokumentów (ARDF)
 Obsługiwane systemy operacyjne:
Windows 2000/XP/XP64
Windows VISTA 32/64bit
Windows 7/8 32/64bit
Windows Server 2000/2003/2003 x64 /2008/2008R2/2012
3
UWAGA: Należy przekopiować istniejącą bazę użytkowników z istniejących
maszyn na dostarczone.
Kserokopiarka A4 Kyocera FS-1135MFP lub Kyocera FS-1035MFP
Podstawowe parametry i wyposażenie:
 Format oryginału/kopii – A4
 Karta sieciowa wbudowana – min. 100/10 Mbit
z obsługą protokołu TCP/IP
 USB 2.0 (możliwość wydruku z pamięci USB)
 Kolorowy skaner sieciowy z możliwością przesyłania skanowanych
dokumentów pocztą elektroniczną, FTP, SMB, do skrzynki oraz
pamięci USB w formacie PDF oraz pobierania książki adresowej
bezpośrednio z LDAP i możliwość wyboru adresata z panelu kopiarki
 Obsługa LDAP
 Obsługa/konfiguracja urządzenia poprzez www
 Ewidencjonowanie:
Min. 300 kont użytkowników
Obsługa mechanizmów Active Directory
(nazwa użytkownika + hasło)
3





Definiowanie dostępu użytkowników do
funkcji
Powinna posiadać kasety o łącznej pojemności min. 250 arkuszy A4
Podajnik ręczny na min 100 arkuszy (bypass)
Kopiowanie/drukowanie dwustronne (duplex)
Dwustronny podajnik dokumentów (ARDF)
Obsługiwane systemy operacyjne:
Windows 2000/XP/XP64
Windows VISTA 32/64bit
Windows 7/8 32/64bit
Windows Server 2000/2003/2003 x64 /2008/2008R2/2012
UWAGA: Należy przekopiować istniejącą bazę użytkowników z istniejących
maszyn na dostarczone.