schemat postępowania

Transkrypt

schemat postępowania
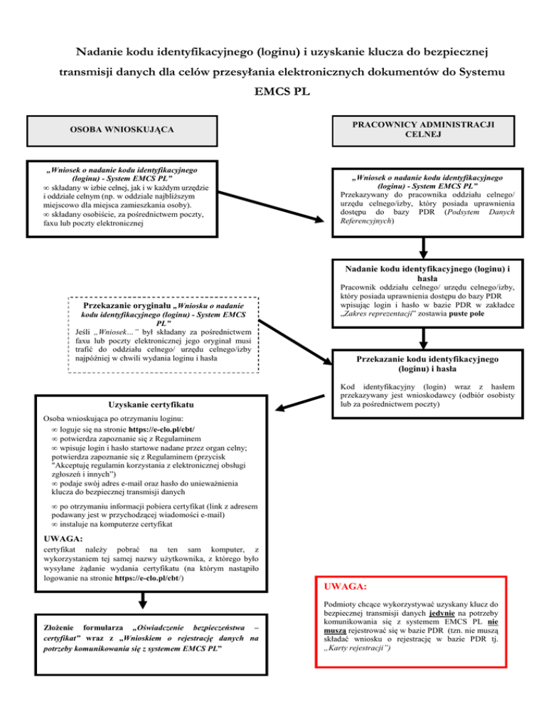
Nadanie kodu identyfikacyjnego (loginu) i uzyskanie klucza do bezpiecznej
transmisji danych dla celów przesyłania elektronicznych dokumentów do Systemu
EMCS PL
OSOBA WNIOSKUJĄCA
„Wniosek o nadanie kodu identyfikacyjnego
(loginu) - System EMCS PL”
• składany w izbie celnej, jak i w kaŜdym urzędzie
i oddziale celnym (np. w oddziale najbliŜszym
miejscowo dla miejsca zamieszkania osoby).
• składany osobiście, za pośrednictwem poczty,
faxu lub poczty elektronicznej
PRACOWNICY ADMINISTRACJI
CELNEJ
„Wniosek o nadanie kodu identyfikacyjnego
(loginu) - System EMCS PL”
Przekazywany do pracownika oddziału celnego/
urzędu celnego/izby, który posiada uprawnienia
dostępu do bazy PDR (Podsytem Danych
Referencyjnych)
Nadanie kodu identyfikacyjnego (loginu) i
hasła
Przekazanie oryginału „Wniosku o nadanie
kodu identyfikacyjnego (loginu) - System EMCS
PL”
Jeśli „Wniosek…” był składany za pośrednictwem
faxu lub poczty elektronicznej jego oryginał musi
trafić do oddziału celnego/ urzędu celnego/izby
najpóźniej w chwili wydania loginu i hasła
Uzyskanie certyfikatu
Pracownik oddziału celnego/ urzędu celnego/izby,
który posiada uprawnienia dostępu do bazy PDR
wpisując login i hasło w bazie PDR w zakładce
„Zakres reprezentacji” zostawia puste pole
Przekazanie kodu identyfikacyjnego
(loginu) i hasła
Kod identyfikacyjny (login) wraz z hasłem
przekazywany jest wnioskodawcy (odbiór osobisty
lub za pośrednictwem poczty)
Osoba wnioskująca po otrzymaniu loginu:
• loguje się na stronie https://e-clo.pl/cbt/
• potwierdza zapoznanie się z Regulaminem
• wpisuje login i hasło startowe nadane przez organ celny;
potwierdza zapoznanie się z Regulaminem (przycisk
"Akceptuję regulamin korzystania z elektronicznej obsługi
zgłoszeń i innych”)
• podaje swój adres e-mail oraz hasło do uniewaŜnienia
klucza do bezpiecznej transmisji danych
• po otrzymaniu informacji pobiera certyfikat (link z adresem
podawany jest w przychodzącej wiadomości e-mail)
• instaluje na komputerze certyfikat
UWAGA:
certyfikat naleŜy pobrać na ten sam komputer, z
wykorzystaniem tej samej nazwy uŜytkownika, z którego było
wysyłane Ŝądanie wydania certyfikatu (na którym nastąpiło
logowanie na stronie https://e-clo.pl/cbt/)
UWAGA:
ZłoŜenie formularza „Oświadczenie bezpieczeństwa –
certyfikat” wraz z „Wnioskiem o rejestrację danych na
potrzeby komunikowania się z systemem EMCS PL”
Podmioty chcące wykorzystywać uzyskany klucz do
bezpiecznej transmisji danych jedynie na potrzeby
komunikowania się z systemem EMCS PL nie
muszą rejestrować się w bazie PDR (tzn. nie muszą
składać wniosku o rejestrację w bazie PDR tj.
„Karty rejestracji”)
Rejestracji osób i podmiotów gospodarczych w bazie SEED PL dla celów
przesyłania elektronicznych dokumentów do Systemu EMCS PL
OSOBA WNIOSKUJĄCA /
PODMIOT
„Wniosek o rejestrację danych na
potrzeby komunikowania się z
systemem EMCS PL”
• składany do właściwego naczelnika
urzędu celnego
• składany
osobiście
lub
za
pośrednictwem poczty
Wraz z „Wnioskiem o rejestrację danych
na potrzeby komunikowania się z systemem
EMCS PL” składane są:
PRACOWNICY ADMINISTRACJI CELNEJ
Wniosek przekazywany do czynnego
uŜytkownika systemu SEED PL
Informacja dla
Helpdesku systemu
EMCS PL
Rejestracja w bazie SEED PL m.in. informacji:
• o sposobie komunikowania się z Systemem
(webservice lub poczta elektroniczna);
• o osobach uprawnionych do komunikowania się
z Systemem (w tym m.in. tzw. „odcisk palca”);
• sposób odbierania informacji o niedostępności
Systemu.
UŜytkownik
czynny
systemu
SEED
PL
przekazuje do Helpdesku
systemu
EMCS
PL
informację o podmiotach
deklarujących
chęć
otrzymywania informacji o
niedostępności
systemu
EMCS
z
narzędzia
CS/MISE
Rejestracja w bazie SEED PL
• „Oświadczenie
bezpieczeństwa
–
certyfikat”
(dotyczy
osób
wykorzystujących klucz do bezpiecznej
transmisji danych przy weryfikacji
podpisu elektronicznego);
Stworzenie listy
mailingowej przez
Helpdesk systemu EMCS
i jej uaktualnianie
• dokumenty potwierdzające złoŜenie
zabezpieczenia akcyzowego generalnego,
ryczałtowego lub uzyskanie zwolnienia
z obowiązku złoŜenia zabezpieczenia
akcyzowego.
Potwierdzenie rejestracji w bazie SEED
PL
• Podmiot otrzymuje wydruk z systemu
SEED PL stanowiący potwierdzenie
rejestracji.
Weryfikacja danych o zabezpieczeniach
deklarowanych we „Wniosku o rejestrację danych
na potrzeby komunikowania się
z systemem EMCS PL”
Informacje o zabezpieczeniach rejestrowane w
systemie ZEFIR/OSOZ przez osoby właściwe do
obsługi zabezpieczeń
Nadanie numeru GRN
Potwierdzenie nadania hasła do usługi
webservice
Dotyczy jedynie tych podmiotów, które
deklarują korzystanie z webservice jako
sposobu komunikowania z systemem
EMCS PL
Rejestracja w systemie ZEFIR/OSOZ
Rejestracja danych o przedsiębiorstwie (nazwa i
adres firmy, adres e-mail, REGON, TIN)
Rejestracja w bazie PDR
Potwierdzenie rejestracji w systemie
ZEFIR/OSOZ
Podmiot
otrzymuje
formularz
„Potwierdzenie rejestracji w systemie
ZEFIR/OSOZ”, w tym m.in. nr GRN oraz
startowy numer dostępu
Rejestracji osób i podmiotów gospodarczych w bazie SEED PL dla celów przesyłania
elektronicznych dokumentów do Systemu EMCS PL w przypadku korzystania z
„uŜyczonego” zabezpieczenia
OSOBA WNIOSKUJĄCA /
PODMIOT
„Wniosek o rejestrację danych na
potrzeby komunikowania się z
systemem EMCS PL”
• składany do właściwego naczelnika
urzędu celnego
• składany
osobiście
lub
za
pośrednictwem poczty
Wraz z „Wnioskiem o rejestrację danych
na potrzeby komunikowania się z systemem
EMCS PL” składane są:
• „Oświadczenie
bezpieczeństwa
–
certyfikat”
(dotyczy
osób
wykorzystujących klucz do bezpiecznej
transmisji danych przy weryfikacji
podpisu elektronicznego);
PRACOWNICY ADMINISTRACJI CELNEJ
Wniosek przekazywany do czynnego
uŜytkownika systemu SEED PL
Informacja dla
Helpdesku systemu
EMCS PL
Rejestracja w bazie SEED PL m.in. informacji:
• o sposobie komunikowania się z Systemem
(webservice lub poczta elektroniczna);
• o osobach uprawnionych do komunikowania się
z Systemem (w tym m.in. tzw. „odcisk palca”);
• sposób odbierania informacji o niedostępności
Systemu.
UŜytkownik
czynny
systemu
SEED
PL
przekazuje do Helpdesku
systemu
EMCS
PL
informację o podmiotach
deklarujących
chęć
otrzymywania informacji o
niedostępności
systemu
EMCS
z
narzędzia
CS/MISE
Rejestracja numeru GRN oraz numeru zgody na
„uŜyczenie zabezpieczenia” (dotyczy tylko
zabezpieczeń „uŜyczanych”)
Rejestracja w bazie SEED PL
• dokumenty potwierdzające złoŜenie
zabezpieczenia akcyzowego generalnego,
ryczałtowego lub uzyskanie zwolnienia
z obowiązku złoŜenia zabezpieczenia
akcyzowego.
Zgoda na „uŜyczenie” zabezpieczenia
Pisemna zgoda, składana do naczelnika urzędu
celnego) wyraŜona przez Dysponenta złoŜonego
zabezpieczenia zgodnie z art. 63 ust. 4 lub art. 65
ust. 1a pkt. 2 ustawy o podatku akcyzowym na
objęcie jego zabezpieczeniem zobowiązań
podatkowych innego podmiotu wysyłającego
ZłoŜenie „Wniosku o rejestracje..” oraz zgody na
uŜyczenie zabezpieczenia” nie muszą odbywać
się w tym samym czasie.
Weryfikacja danych o zabezpieczeniach
deklarowanych we „Wniosku o rejestrację danych
na potrzeby komunikowania się
z systemem EMCS PL”
Informacje o zabezpieczeniach rejestrowane w
systemie ZEFIR /OSOZ przez osoby właściwe do
obsługi zabezpieczeń
Nadanie numeru GRN
Potwierdzenie rejestracji w bazie
SEED PL
Rejestracja w systemie ZEFIR/OSOZ
Podmiot otrzymuje wydruk z systemu
SEED PL stanowiący potwierdzenie rejestracji.
Potwierdzenie nadania hasła do usługi
webservice
Dotyczy jedynie tych podmiotów, które
deklarują korzystanie z webservice jako
sposobu komunikowania z systemem EMCS PL
Rejestracja danych o przedsiębiorstwie (nazwa i
adres firmy, adres e-mail, REGON, TIN)
Rejestracja w bazie PDR
Potwierdzenie rejestracji w systemie
ZEFIR/OSOZ
Podmiot otrzymuje formularz „Potwierdzenie
rejestracji w systemie ZEFIR/OSOZ”, w tym
m.in. nr GRN oraz startowy numer dostępu
Stworzenie listy
mailingowej przez
Helpdesk systemu EMCS
PL i jej uaktualnianie
Numer GRN
przekazywany do bazy
SEED PL
tylko w przypadku
”uŜyczenia”
zabezpieczenia
(art. 63 ust. 4 lub art. 65
ust. 1a pkt. 2 ustawy o
podatku akcyzowym)