Informacje zamieszczone na butelce Vibovit Tran Norweski

Transkrypt

Informacje zamieszczone na butelce Vibovit Tran Norweski
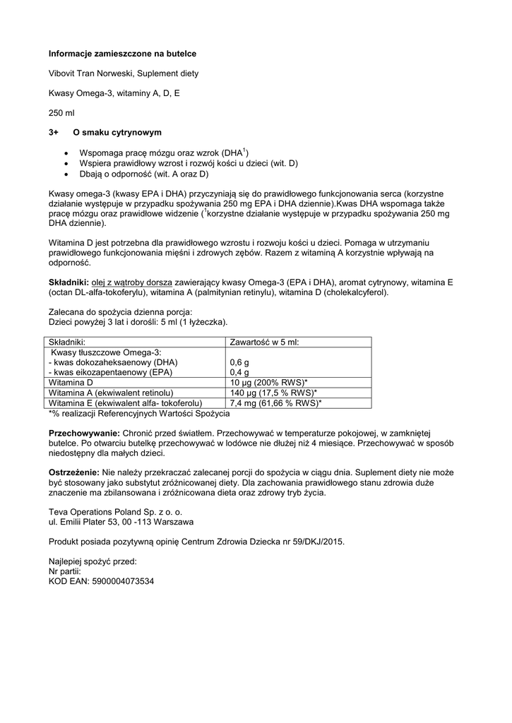
Informacje zamieszczone na butelce
Vibovit Tran Norweski, Suplement diety
Kwasy Omega-3, witaminy A, D, E
250 ml
3+
O smaku cytrynowym



1
Wspomaga pracę mózgu oraz wzrok (DHA )
Wspiera prawidłowy wzrost i rozwój kości u dzieci (wit. D)
Dbają o odporność (wit. A oraz D)
Kwasy omega-3 (kwasy EPA i DHA) przyczyniają się do prawidłowego funkcjonowania serca (korzystne
działanie występuje w przypadku spożywania 250 mg EPA i DHA dziennie).Kwas DHA wspomaga także
1
pracę mózgu oraz prawidłowe widzenie ( korzystne działanie występuje w przypadku spożywania 250 mg
DHA dziennie).
Witamina D jest potrzebna dla prawidłowego wzrostu i rozwoju kości u dzieci. Pomaga w utrzymaniu
prawidłowego funkcjonowania mięśni i zdrowych zębów. Razem z witaminą A korzystnie wpływają na
odporność.
Składniki: olej z wątroby dorsza zawierający kwasy Omega-3 (EPA i DHA), aromat cytrynowy, witamina E
(octan DL-alfa-tokoferylu), witamina A (palmitynian retinylu), witamina D (cholekalcyferol).
Zalecana do spożycia dzienna porcja:
Dzieci powyżej 3 lat i dorośli: 5 ml (1 łyżeczka).
Składniki:
Zawartość w 5 ml:
Kwasy tłuszczowe Omega-3:
- kwas dokozaheksaenowy (DHA)
0,6 g
- kwas eikozapentaenowy (EPA)
0,4 g
Witamina D
10 µg (200% RWS)*
Witamina A (ekwiwalent retinolu)
140 µg (17,5 % RWS)*
Witamina E (ekwiwalent alfa- tokoferolu)
7,4 mg (61,66 % RWS)*
*% realizacji Referencyjnych Wartości Spożycia
Przechowywanie: Chronić przed światłem. Przechowywać w temperaturze pokojowej, w zamkniętej
butelce. Po otwarciu butelkę przechowywać w lodówce nie dłużej niż 4 miesiące. Przechowywać w sposób
niedostępny dla małych dzieci.
Ostrzeżenie: Nie należy przekraczać zalecanej porcji do spożycia w ciągu dnia. Suplement diety nie może
być stosowany jako substytut zróżnicowanej diety. Dla zachowania prawidłowego stanu zdrowia duże
znaczenie ma zbilansowana i zróżnicowana dieta oraz zdrowy tryb życia.
Teva Operations Poland Sp. z o. o.
ul. Emilii Plater 53, 00 -113 Warszawa
Produkt posiada pozytywną opinię Centrum Zdrowia Dziecka nr 59/DKJ/2015.
Najlepiej spożyć przed:
Nr partii:
KOD EAN: 5900004073534