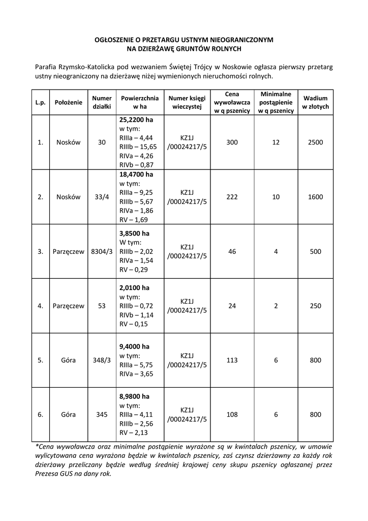
OGLOSZENIE O PRZETARGU USTNYM NIEOGRANICZONYM

Transkrypt

OGLOSZENIE O PRZETARGU USTNYM NIEOGRANICZONYM
OGŁOSZENIE O PRZETARGU USTNYM NIEOGRANICZONYM
NA DZIERŻAWĘ GRUNTÓW ROLNYCH
Parafia Rzymsko-Katolicka pod wezwaniem Świętej Trójcy w Noskowie ogłasza pierwszy przetarg
ustny nieograniczony na dzierżawę niżej wymienionych nieruchomości rolnych.
Numer księgi
wieczystej
Cena
wywoławcza
w q pszenicy
Minimalne
postąpienie
w q pszenicy
Wadium
w złotych
KZ1J
/00024217/5
300
12
2500
KZ1J
/00024217/5
222
10
1600
3.
3,8500 ha
W tym:
Parzęczew 8304/3 RIIIb – 2,02
RIVa – 1,54
RV – 0,29
KZ1J
/00024217/5
46
4
500
4.
53
2,0100 ha
w tym:
RIIIb – 0,72
RIVb – 1,14
RV – 0,15
KZ1J
/00024217/5
24
2
250
348/3
9,4000 ha
w tym:
RIIIa – 5,75
RIVa – 3,65
KZ1J
/00024217/5
113
6
800
345
8,9800 ha
w tym:
RIIIa – 4,11
RIIIb – 2,56
RV – 2,13
KZ1J
/00024217/5
108
6
800
L.p.
Położenie
Numer
działki
1.
Nosków
30
2.
Nosków
33/4
5.
6.
Parzęczew
Góra
Góra
Powierzchnia
w ha
25,2200 ha
w tym:
RIIIa – 4,44
RIIIb – 15,65
RIVa – 4,26
RIVb – 0,87
18,4700 ha
w tym:
RIIIa – 9,25
RIIIb – 5,67
RIVa – 1,86
RV – 1,69
*Cena wywoławcza oraz minimalne postąpienie wyrażone są w kwintalach pszenicy, w umowie
wylicytowana cena wyrażona będzie w kwintalach pszenicy, zaś czynsz dzierżawny za każdy rok
dzierżawy przeliczany będzie według średniej krajowej ceny skupu pszenicy ogłaszanej przez
Prezesa GUS na dany rok.
Dzierżawcę, oprócz czynszu dzierżawnego, obciążać będą wszelkie należności wobec Państwa,
Gminy oraz Spółek Wodnych. Należności te, regulowane będą we wskazanych terminach przez
parafie, natomiast ich wysokość doliczana będzie corocznie do czynszu dzierżawnego naliczonego
dzierżawcy. Do wynegocjowanej ceny dodany zostanie podatek VAT zgodnie z obowiązującymi
przepisami.
Nieruchomości wolne są od ciężarów i ograniczeń oraz hipotek.
Umowa dzierżawy z wyłonionym w wyniku licytacji dzierżawcą zostanie zawarta na okres od 2
września 2014 roku do 31 sierpnia 2019 roku. Wzór umowy stanowi załącznik do niniejszego
ogłoszenia.
Przetarg na dzierżawę nieruchomości odbędzie się w dniu 3 lipca 2014 roku
od godz. 17.00 w Biurze Parafialnym przy Probostwie w Noskowie, ul. Kościelna 11
i przeprowadzony zostanie w kolejności wynikającej z powyższej tabeli.
Warunkiem wzięcia udziału w przetargu jest wniesienie wadium w
w wysokości wynikającej dla każdej nieruchomości z powyższej tabeli na konto:
PKO BP SA o/Jarocin
Numer 97 1020 2212 0000 5302 0089 9948
Parafia Rzymskokatolicka
pw. Świętej Trójcy w Noskowie
Nosków ul. Kościelna 11, 63-233 Jaraczewo
z dopiskiem „Wadium na dzierżawę nieruchomości numer … położonej w …”.
pieniądzu,
Wadium powinno zostać ujawnione na koncie Parafii najpóźniej do dnia 1 lipca 2014 roku.
Przed przetargiem należy okazać się dowodem osobistym oraz potwierdzeniem wpłacenia
wadium.
Przetarg zakończy się wynikiem pozytywnym jeżeli chociaż jeden uczestnik zaoferuje co najmniej
cenę wywoławczą powiększoną o jedno postąpienie.
Wadium wpłacone przez uczestnika przetargu, który wygrał przetarg zwrócone zostanie na
wskazane konto w terminie do 3 dni od dnia podpisana umowy. Wadium nie podlega zwrotowi,
jeżeli osoba ustalona jako dzierżawca nieruchomości nie przystąpi bez usprawiedliwienia do
zawarcia umowy dzierżawy w miejscu i terminie podanym przez wydzierżawiającego w
zawiadomieniu.
Wadium wniesione przez uczestników, którzy nie wygrali przetargu zostanie zwrócone do 3 dni od
dnia zamknięcia przetargu na wskazane konto.
Zastrzega się prawo odwołania przetargu z ważnych powodów.
Dodatkowe informacje dotyczące przetargu można uzyskać w Biurze Parafialnym, od wtorku do
piątku tel. 62 740 00 59.
Nosków, dnia 17 maja 2014 roku
-PROJEKTUMOWA DZIERŻAWY GRUNTÓW ROLNYCH
Zawarta w dniu …………… 2014 roku w Noskowie, pomiędzy Parafią Rzymsko-Katolicką pod
wezwaniem Świętej Trójcy w Noskowie, ul. Koźmińska 11, 63-233 Nosków, reprezentowaną przez:
Księdza Jarosława Kaczmarka - Proboszcza
zwaną dalej „Wydzierżawiającym”
a
……………………………………………………. zamieszkałym ………………………………………….
zwanym dalej „Dzierżawcą”
§ 1. Wydzierżawiający oświadcza, że jest właścicielem nieruchomości rolnej położonej
w ………………………, oznaczonej w ewidencji gruntów jako działka nr …… o powierzchni ……………. ha
(słownie: …………..….), zapisanej w księdze wieczystej numer KZ1J/00024217/5 prowadzonej przez
Sąd Rejonowy w Jarocinie – Wydział Ksiąg Wieczystych.
§ 2. 1. Wydzierżawiający oddaje Dzierżawcy całą wymienioną w § 1 nieruchomość
do używania i pobierania pożytków z przeznaczeniem na prowadzenie działalności rolniczej.
2. Dzierżawca powinien wykonywać dzierżawę zgodnie z wymaganiami prawidłowej
gospodarki.
§ 3. 1. Umowa zostaje zawarta na czas określony od dnia 2 września 2014 roku do dnia
31 sierpnia 2019 roku.
2. Wydzierżawiający może wypowiedzieć umowę dzierżawy, bez zachowania okresu
wypowiedzenia, jeżeli:
a) dzierżawca używa przedmiotu dzierżawy w sposób sprzeczny z umową, mimo
upomnienia nie przestaje go używać w taki sposób, albo gdy przedmiot dzierżawy zaniedbuje
narażając na jego uszkodzenie lub zniszczenie
b) Dzierżawca bez zgody Wydzierżawiającego użyczył lub poddzierżawił przedmiot
dzierżawy
c) Dzierżawca, mimo pisemnego upomnienia, zalega z zapłatą należnego czynszu
dzierżawnego wraz innymi należnościami przez okres 30 dni.
3. W przypadku wypowiedzenia umowy przez Wydzierżawiającego na podstawie § 2
Dzierżawcy nie przysługuje prawo zebrania plonów.
4. Na zasadzie porozumienia stron, możliwe jest rozwiązanie niniejszej umowy w każdym
czasie ze skutkiem na dzień 31 sierpnia roku, w którym zawarto porozumienie o rozwiązaniu
umowy.
§ 4. 1. Dzierżawca zobowiązany jest do zapłaty Wydzierżawiającemu czynszu dzierżawnego
w wysokości … kwintali pszenicy.
2. Dzierżawca zobowiązuje się do zwrotu poniesionych przez Wydzierżawiającego kosztów
wszelkich obciążeń publiczno-prawnych związanych z przedmiotem dzierżawy, a obciążających
zgodnie z obowiązującymi przepisami właściciela nieruchomości, w tym podatku rolnego oraz
innych obciążeń związanych z jego posiadaniem, które doliczane będą do drugiej raty czynszu.
3. Zapłata czynszu dokonana będzie w dwóch ratach:
a) pierwsza rata za okres od września do lutego w terminie do 15 marca
b) druga rata za okres od marca do sierpnia w terminie do 15 września
z zastrzeżeniem, że ostatnia rata czynszu płatna będzie do dnia 30 sierpnia 2019 roku.
4. Czynsz dzierżawny wyrażony będzie w złotych i przeliczony będzie przy zastosowaniu
stawki średniej krajowej ceny skupu pszenicy ogłoszonej przez Prezesa GUS obowiązującej w dacie
naliczania czynszu. Kwota czynszu dzierżawnego powiększona zostanie o podatek VAT wynikający z
obowiązujących przepisów.
5. Czynsz płatny będzie w gotówce Wydzierżawiającemu lub przelewem na konto 97 1020
2212 0000 5302 0089 9948. Dniem zapłaty czynszu jest dzień dokonania wpłaty w gotówce
Wydzierżawiającemu lub uznanie przelewu na koncie Wydzierżawiającego.
§ 5. Wydanie nieruchomości Dzierżawcy nastąpi w dniu 2 września 2014 roku w stanie
przydatnym do umówionego użytku.
§ 6. Wydzierżawiający nie wyraża zgodny na zabudowanie nieruchomości stanowiącej
przedmiot dzierżawy.
§ 7. Dzierżawcy nie wolno oddawać nieruchomości w poddzierżawę lub do bezpłatnego
używania bez zgody Wydzierżawiającego.
§ 8. 1. Po zakończeniu dzierżawy Dzierżawca zobowiązany jest zwrócić nieruchomość
Wydzierżawiającemu w stanie nie pogorszonym.
2. Dzierżawcy nie przysługuje prawo do zwrotu nakładów poniesionych nieruchomości.
§ 9. W sprawach nieuregulowanych niniejszą umową zastosowanie mają przepisy Kodeksu
Cywilnego.
§ 10. Wszelkie zmiany niniejszej umowy wymagają formy pisemnej pod rygorem
nieważności.
§ 11. 1. Umowę sporządzono w trzech jednobrzmiących egzemplarzach, po jednym dla
każdej ze stron oraz jeden dla Kurii Metropolitalnej w Poznaniu.
2. Dla zachowania ważności niniejszej umowy koniecznym jest jej pisemne zaakceptowanie
przez Kurię Metropolitalną w Poznaniu.
DZIERŻAWCA
WYDZIERŻAWIAJĄCY
Akceptacja Kurii Metropolitalnej w Poznaniu

Podobne dokumenty