Lista uczestników X edycji akcji „Toruń za pół ceny” Weekend 22

Transkrypt

Lista uczestników X edycji akcji „Toruń za pół ceny” Weekend 22
Lista uczestników X edycji akcji „Toruń za pół ceny”
Weekend 22-24.04.2016 r.
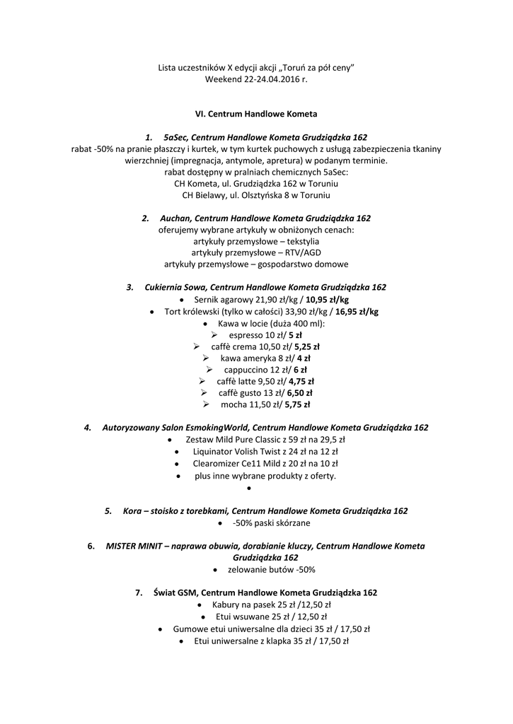
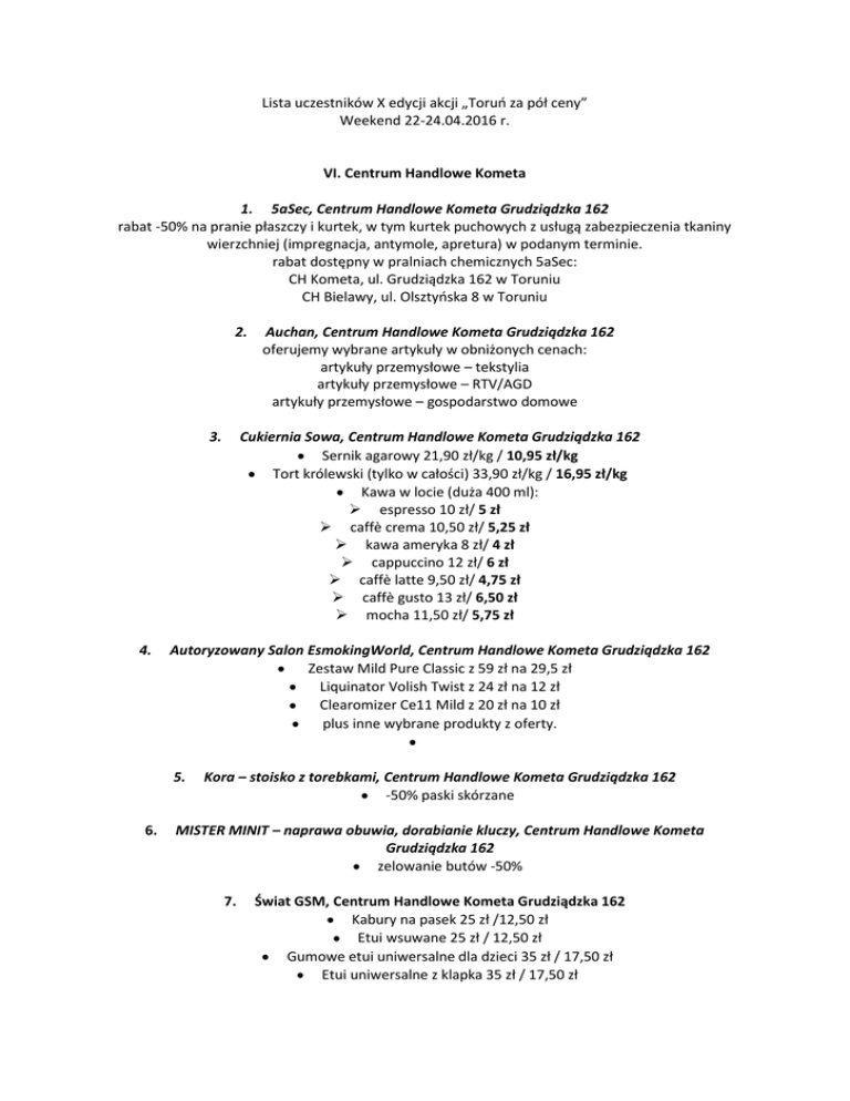
VI. Centrum Handlowe Kometa
1. 5aSec, Centrum Handlowe Kometa Grudziądzka 162
rabat -50% na pranie płaszczy i kurtek, w tym kurtek puchowych z usługą zabezpieczenia tkaniny
wierzchniej (impregnacja, antymole, apretura) w podanym terminie.
rabat dostępny w pralniach chemicznych 5aSec:
CH Kometa, ul. Grudziądzka 162 w Toruniu
CH Bielawy, ul. Olsztyńska 8 w Toruniu
2.
3.
4.
Cukiernia Sowa, Centrum Handlowe Kometa Grudziądzka 162
Sernik agarowy 21,90 zł/kg / 10,95 zł/kg
Tort królewski (tylko w całości) 33,90 zł/kg / 16,95 zł/kg
Kawa w locie (duża 400 ml):
 espresso 10 zł/ 5 zł
 caffè crema 10,50 zł/ 5,25 zł
 kawa ameryka 8 zł/ 4 zł
 cappuccino 12 zł/ 6 zł
 caffè latte 9,50 zł/ 4,75 zł
 caffè gusto 13 zł/ 6,50 zł
 mocha 11,50 zł/ 5,75 zł
Autoryzowany Salon EsmokingWorld, Centrum Handlowe Kometa Grudziądzka 162
Zestaw Mild Pure Classic z 59 zł na 29,5 zł
Liquinator Volish Twist z 24 zł na 12 zł
Clearomizer Ce11 Mild z 20 zł na 10 zł
plus inne wybrane produkty z oferty.
5.
6.
Auchan, Centrum Handlowe Kometa Grudziądzka 162
oferujemy wybrane artykuły w obniżonych cenach:
artykuły przemysłowe – tekstylia
artykuły przemysłowe – RTV/AGD
artykuły przemysłowe – gospodarstwo domowe
Kora – stoisko z torebkami, Centrum Handlowe Kometa Grudziądzka 162
-50% paski skórzane
MISTER MINIT – naprawa obuwia, dorabianie kluczy, Centrum Handlowe Kometa
Grudziądzka 162
zelowanie butów -50%
7.
Świat GSM, Centrum Handlowe Kometa Grudziądzka 162
Kabury na pasek 25 zł /12,50 zł
Etui wsuwane 25 zł / 12,50 zł
Gumowe etui uniwersalne dla dzieci 35 zł / 17,50 zł
Etui uniwersalne z klapka 35 zł / 17,50 zł
8.
T-phone.pl, Centrum Handlowe Kometa Grudziądzka 162
Folie ochronne - 50%
Ładowarki samochodowe - 50%