FAQ piece węglowe 30.11.2015

Transkrypt

FAQ piece węglowe 30.11.2015
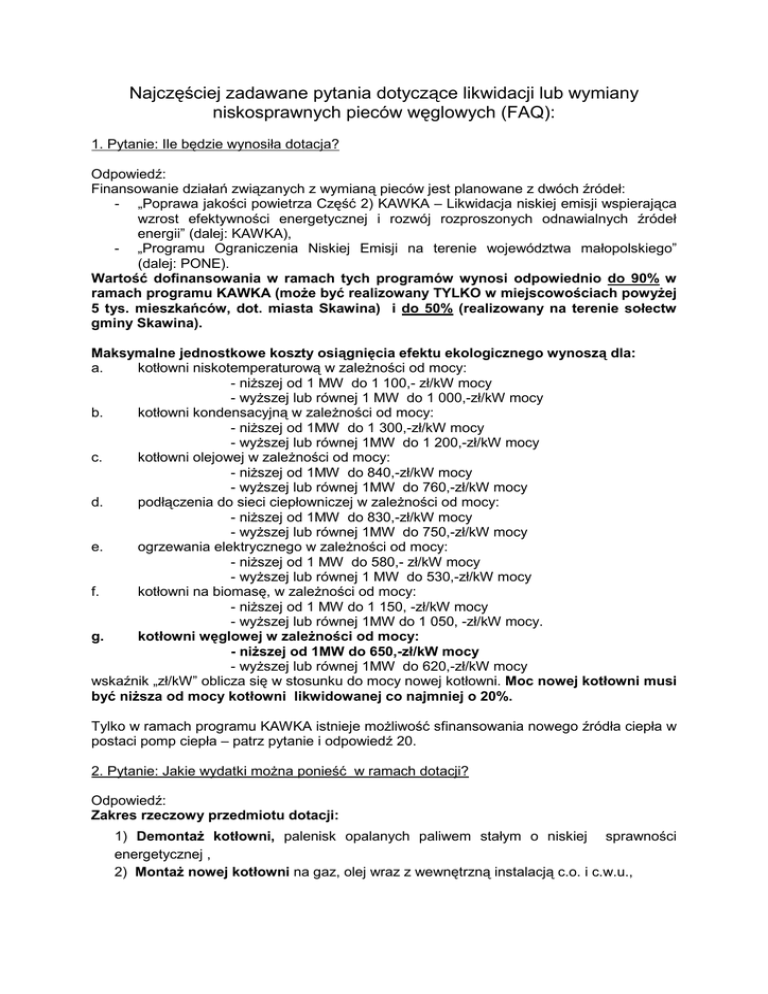
Najczęściej zadawane pytania dotyczące likwidacji lub wymiany
niskosprawnych pieców węglowych (FAQ):
1. Pytanie: Ile będzie wynosiła dotacja?
Odpowiedź:
Finansowanie działań związanych z wymianą pieców jest planowane z dwóch źródeł:
- „Poprawa jakości powietrza Część 2) KAWKA – Likwidacja niskiej emisji wspierająca
wzrost efektywności energetycznej i rozwój rozproszonych odnawialnych źródeł
energii” (dalej: KAWKA),
- „Programu Ograniczenia Niskiej Emisji na terenie województwa małopolskiego”
(dalej: PONE).
Wartość dofinansowania w ramach tych programów wynosi odpowiednio do 90% w
ramach programu KAWKA (może być realizowany TYLKO w miejscowościach powyżej
5 tys. mieszkańców, dot. miasta Skawina) i do 50% (realizowany na terenie sołectw
gminy Skawina).
Maksymalne jednostkowe koszty osiągnięcia efektu ekologicznego wynoszą dla:
a.
kotłowni niskotemperaturową w zależności od mocy:
- niższej od 1 MW do 1 100,- zł/kW mocy
- wyższej lub równej 1 MW do 1 000,-zł/kW mocy
b.
kotłowni kondensacyjną w zależności od mocy:
- niższej od 1MW do 1 300,-zł/kW mocy
- wyższej lub równej 1MW do 1 200,-zł/kW mocy
c.
kotłowni olejowej w zależności od mocy:
- niższej od 1MW do 840,-zł/kW mocy
- wyższej lub równej 1MW do 760,-zł/kW mocy
d.
podłączenia do sieci ciepłowniczej w zależności od mocy:
- niższej od 1MW do 830,-zł/kW mocy
- wyższej lub równej 1MW do 750,-zł/kW mocy
e.
ogrzewania elektrycznego w zależności od mocy:
- niższej od 1 MW do 580,- zł/kW mocy
- wyższej lub równej 1 MW do 530,-zł/kW mocy
f.
kotłowni na biomasę, w zależności od mocy:
- niższej od 1 MW do 1 150, -zł/kW mocy
- wyższej lub równej 1MW do 1 050, -zł/kW mocy.
g.
kotłowni węglowej w zależności od mocy:
- niższej od 1MW do 650,-zł/kW mocy
- wyższej lub równej 1MW do 620,-zł/kW mocy
wskaźnik „zł/kW” oblicza się w stosunku do mocy nowej kotłowni. Moc nowej kotłowni musi
być niższa od mocy kotłowni likwidowanej co najmniej o 20%.
Tylko w ramach programu KAWKA istnieje możliwość sfinansowania nowego źródła ciepła w
postaci pomp ciepła – patrz pytanie i odpowiedź 20.
2. Pytanie: Jakie wydatki można ponieść w ramach dotacji?
Odpowiedź:
Zakres rzeczowy przedmiotu dotacji:
1) Demontaż kotłowni, palenisk opalanych paliwem stałym o niskiej sprawności
energetycznej ,
2) Montaż nowej kotłowni na gaz, olej wraz z wewnętrzną instalacją c.o. i c.w.u.,
3) Demontaż starego źródła ciepła, podłączenie do węzła ciepła wraz z instalacją
rozprowadzającą i wewnętrzną instalacją c.o. i c.w.u.
4) Demontaż starego źródła ciepła, podłączenie do zewnętrznego źródła energii
elektrycznej, wewnętrzna linia zasilania.
5) Montaż nowej kotłowni na węgiel lub biomasę (dotyczy kotłów bez możliwości
montażu dodatkowego rusztu) wraz z wewnętrzną instalacją c.o. i c.w.u. o sprawności
energetycznej większej bądź równej 87% dla kotłów zasilanych kwalifikowanymi
paliwami węglowymi oraz odpowiadające klasie 5 wg normy PN-EN 303-5:2012 dla
wszystkich paliw dopuszczalnych w instrukcji użytkowania urządzenia. Kocioł z
podajnikiem automatycznym, który posiada dodatkowy ruszt nie kwalifikuje się do
dofinansowania.
Dofinansowanie nowej kotłowni na węgiel lub biomasę będzie możliwe w przypadku
braku technicznej możliwości podłączenia do sieci ciepłowniczej.
3. Pytanie: Kiedy będzie wypłacana dotacja?
Odpowiedź:
Po otrzymaniu przez Gminę Skawina dofinansowania z NFOŚiGW oraz WFOŚiGW, osoby
które złożyły wstępne wnioski zostaną zaproszone do podpisania umowy dotacji. W
określonym terminie mieszkaniec będzie zobowiązany do zakupu i montażu nowej kotłowni.
Po wykonaniu inwestycji będzie zobowiązany do przedłożenia dokumenty potwierdzających
jej wykonanie gdyż na ich podstawie Gmina Skawina złoży wniosek do WFOŚiGW o wypłatę
środków dotacji. Po ich otrzymaniu wartość dotacji zostanie przekazana mieszkańcowi.
Mieszkaniec otrzyma dotację będącą zwrotem części wydatków poniesionych na
modernizację kotłowni tzw. refundację wydatków!!!
4. Pytanie: Czy Gmina Skawina dokonuje wyboru i zakupu kotłowni oraz pozostałych
elementów instalacji?
Odpowiedź:
NIE. Mieszkaniec samodzielnie dokonuje wyboru, zakupu dotowanej instalacji oraz
dokonuje zapłaty za te instalacje. Po otrzymaniu środków z WFOŚiGW, gmina Skawina
dokona zwrotu części poniesionych wydatków. Wykonane instalacje kotłowni węglowych
muszą spełniać określone w Programach normy tj. kotły klasy 5 wg normy PN-EN303-5:2012
dla wszystkich paliw dopuszczalnych w instrukcji użytkowania urządzenia (wyjaśnienie
poniżej).
5. Pytanie: Kiedy będzie należało dokonać wymiany pieców (zmodernizować kotłownię)?
Odpowiedź:
We wstępnym wniosku mieszkaniec deklaruje okres w którym chciałby dokonać
modernizacji kotłowni. W zaznaczonym przez niego kwartale danego roku zostanie
poproszony o zawarcie umowy dotacji na ten cel.
Należy jednak zaznaczyć ze gmina Skawina aktualnie może wnioskować o środki w ramach
programu PONE którego realizacja trwa do końca 2017 r. oraz w ramach programu
KAWKA którego realizacja potrwa do końca 2018 r.
6. Pytanie: Gdzie uzyskać informację o braku technicznej możliwości podłączenia do sieci
ciepłowniczej?
Odpowiedź:
Istniejącą na terenie miasta Skawina sieć ciepłowniczą prezentujmy na mapie dołączonej do
ogłoszenia na stronie internetowej www.gminaskawina.pl. Jednakże przed podpisaniem
umowy dotacji z gminą Skawina mieszkaniec będzie zobowiązany dostarczyć taką
informację z MPEC S.A. Taką informację można uzyskać bez ponoszenia dodatkowych
kosztów po złożeniu wniosku o wydanie warunków technicznych podłączenia z
zaznaczeniem, iż prośba dotyczy tylko pozyskania informacji.
7. Pytanie: Czy w budynku może istnieć inne źródło ciepła?
Odpowiedź:
Celem programów
PONE oraz KAWKA jest ograniczenie poziomu niskiej emisji
zanieczyszczeń. Aby osiągnąć odpowiedni efekt ekologiczny ograniczenia emisji konieczne
jest zagwarantowanie, że w budynku nie ma innego pieca węglowego generującego
zanieczyszczenia.
Mieszkaniec nie może posiadać na terenie budynku innego pieca węglowego.
8. Pytanie: Jakie normy musi spełniać nowa kotłownia węglowa?
Odpowiedź:
W ramach PONE i KAWKA można otrzymać dotację m.in. na montaż nowej kotłowni na
węgiel lub biomasę (dotyczy kotłów bez możliwości montażu dodatkowego rusztu) wraz z
wewnętrzną instalacją c.o. i c.w.u. o sprawności energetycznej większej bądź równej 87%
dla kotłów zasilanych kwalifikowanymi paliwami węglowymi. Ponadto stężenie pyłu
całkowitego w gazach wylotowych wyznaczone przy 10% O2 odniesione do spalin suchych,
0oC, 1013 mbar dla obciążenia 100% mocy nominalnej kotła nie może osiągać wartości
większej niż 40 mg/m3, OGC nie więcej niż 20 mg/m3.
Powyższe wartości parametrów odpowiadają klasie 5 wg normy PN-EN303-5:2012 dla
wszystkich paliw dopuszczalnych w instrukcji użytkowania urządzenia. Dokumenty
potwierdzające klasę kotła węglowego wraz z certyfikatami będą konieczne do
przedstawienia do wypłaty dotacji.
Kocioł z podajnikiem automatycznym, który posiada dodatkowy ruszt nie kwalifikuje
się do dofinansowania w ramach Programu. Dofinansowanie nowej kotłowni na węgiel
będzie możliwe w przypadku braku technicznej możliwości podłączenia do sieci
ciepłowniczej.
9. Pytanie: Jak sprawdzić że zakupiony piec spełnia normy wymagane do otrzymania
dotacji?
Odpowiedź:
W naszym kraju badania kotłów zgodnie z normą PN-EN 303-5:2012 mogą wykonywać tylko
jednostki badawcze akredytowane przez PCA (Polskie Centrum Akredytacji).
Potwierdzeniem uzyskanych przez urządzenie parametrów jest certyfikat wystawiony przez
akredytowaną jednostkę badawczą, m.in:
LABORATORIUM BADAŃ KOTŁÓW I URZĄDZEŃ GRZEWCZYCH w Łodzi,
INSTYTUT CHEMICZNEJ PRZERÓBKI WĘGLA w Zabrzu,
LABORATORIUM BADAŃ KOTŁÓW, TURBIN, URZĄDZEŃ GRZEWCZYCH I
ODPYLAJĄCYCH ORAZ EMISJI PYŁOWO-GAZOWEJ w Łodzi,
URZĄD DOZORU TECHNICZNEGO w Warszawie.
W wymaganiach normy PN EN 303-5:2012 dotyczących sprawności cieplnej i granicznych
wartości emisji zanieczyszczeń wyróżnia się 3 klasy: 3, 4, 5. Istotne w klasyfikacji kotła do
jednej z klas jest konieczność spełnienia wszystkich wymagań dotyczących zarówno
sprawności cieplnej jak i granicznych wartości emisji zanieczyszczeń dla tej klasy. W naszym
przypadku dla kotłów na paliwa stałe (biomasa – pellet oraz ekogroszek) TYLKO KOTŁY 5
KLASY WEDŁUG WW. NORMY O SPRAWNOŚCI OD 87% BĘDĄ DOFINANSOWANE !!!
Mieszkaniec musi zatroszczyć się aby zakupiony piec węglowy posiadał odpowiednią
dokumentację potwierdzającą iż piec spełnia określone normy i posiada certyfikat (wydany
nie wcześniej niż w 2012r.).
10. Pytanie: Jak prawidłowo dobrać moc pieca?
Odpowiedź:
Przy doborze mocy polecamy wykonanie przybliżonych wyliczeń zapotrzebowania na ciepło.
W tym celu bardzo użyteczny jest kalkulator dostępny na poniższej stronie internetowej:
http://cieplowlasciwie.pl/start
Aby poprawnie dobrać kocioł należy określić zapotrzebowanie domu na ciepło. Można to
wykonać na kilka różnych sposobów:
- wykonać audyt energetyczny domu,
- znaleźć zapotrzebowanie na moc cieplną w projekcie (jeżeli jest dostępne takie
opracowanie),
- dobrać odpowiednie wartości z tabel,
- dokonać samemu audytu przybliżonego.
Audyt energetyczny jest to obliczenie zapotrzebowania domu na ciepła przy pomocy
obliczeń w programie komputerowym w oparciu o szczegółową analizę geometrii budynku –
jest to metoda najdokładniejsza i nie daje błędu większego niż 3 – 5 %.
W projekcie budynku może być informacja o zapotrzebowaniu na moc cieplną z której należy
skorzystać mając pewność, że projektant nie wpisał mocy na zapas lecz dokonał rzetelnych
obliczeń (na przykład audytu).
Polecamy lekturę artykuły dotyczącego doboru mocy pieca:
http://czysteogrzewanie.pl/kociol/co-za-duzo-to-niezdrowo-dobor-mocy-kotla-weglowego/
11. Pytanie: Gdzie znaleźć informacje na temat mocy starych pieców węglowych?
Odpowiedź:
Informację o mocy starego pieca można odczytać z tabliczek umieszczonych przez
producenta na piecu. Informacje takie powinny także znajdować się w dokumentacji zakupu
tego urządzenia. Jeżeli jednak powyższych informacji mieszkaniec nie posiada, należy
skonsultować taki przypadek z pracownikami Urzędu Miasta i Gminy Skawina.
Należy pamiętać że moc nowej kotłowni musi być niższa od mocy kotłowni
likwidowanej co najmniej o 20%. Podstawą weryfikacji danych w przypadku braku
możliwości odczytania mocy likwidowanej kotłowni będzie oświadczenie mieszkańca.
12. Pytanie: Czy ograniczenie mocy pieca dotyczy także w przypadku wymiany pieców w
rozbudowywanych budynkach?
Odpowiedź:
W przypadku rozbudowy lub adaptacji budynków i zwiększaniem ogrzewanej powierzchni
możliwe jest otrzymanie dofinansowania do wymiany źródła ogrzewania. Należy opisać
uzasadnienie zwiększenia mocy pieca. Wartość dofinansowania będzie jednak wynosiła do
80% mocy starego źródła ciepła.
13. Pytanie: Jakie obowiązki będzie miał mieszkaniec po otrzymaniu dotacji?
Odpowiedź:
Umowa dotacji pomiędzy mieszkańcem i gminą Skawina będzie upoważniała do kontroli
uzyskanych efektów. Efektem realizowanych projektów będzie ograniczenie niskiej emisji
zatem niezbędna jest weryfikacja czy wymiana starych kotłów pozwoliła na ich osiągniecie.
Jednocześnie mieszkaniec musi liczyć się z możliwością kontroli w zakresie niedozwolonych
modyfikacji kotłów lub nieodpowiedniego opału. Może także zostać wezwany do
przedłożenia rachunków i faktur potwierdzających jakość zakupywanego paliwa.
14. Pytanie: Ile wynosi okres trwałości przedsięwziecia?
Okres trwałości inwestycji i osiągnięcia efektu ekologicznego wynosi 5 lat. W okresie tym,
mieszkaniec nie będzie mógł dokonać jego likwidacji celem zakupu innego źródła ciepła,
które będzie generowało większy poziom zanieczyszczeń niż dotowana w ramach
programów KAWKA i PONE inwestycja.
15. Pytanie: Czy kocioł kondensacyjny i kocioł niskotemperaturowy oznacza to samo
urządzenie?
Odpowiedź:
Oba określenia nie są równoważne, chociaż kocioł kondensacyjny jest kotłem
niskotemperaturowym. Określenie niskotemperaturowy oznacza całą gamę urządzeń, w
których m.in. znajduje się kocioł kondesnacyjny.
Ogrzewanie niskotemperaturowe to system ogrzewania charakteryzujący się obniżoną
temperaturą czynnika grzewczego w systemach centralnego ogrzewania. Zastosowanie tego
sposobu ogrzewania jest bardzo korzystne ze względu na poprawę komfortu cieplnego i
jakości powietrza w ogrzewanych pomieszczeniach oraz redukcję negatywnego
oddziaływania na środowisko. Ponadto ogrzewanie niskotemperaturowe może współdziałać
z kolektorami słonecznymi oraz pompami ciepła, co przynosi korzystne efekty ekonomiczne.
O czym należy pamiętać dobierając piec kondensacyjny?
Wyliczona moc projektowa to ok 20 kW. Po osiągnięciu zadanej temperatury na zasilaniu
kocioł wyłączy się automatycznie . Przy ogrzewaniu podłogowym możliwe jest przełączenie
automatyki kotła na pomiar temperatury na powrocie. Automatyka pogodowa uzależnia
temperaturę obiegu grzewczego od aktualnie panujących warunków atmosferycznych, jeżeli
więc chce Pan/Pani utrzymywać stałą temperaturę w obiegu, to regulator pogodowy nie jest
wymagany. Wydajność pompy dla dużej powierzchni ogrzewania podłogowego należy
przeliczyć, w oparciu o ilość i długość pętli, oraz materiału z jakiego będą wykonane. Proszę
w tej sprawie skontaktować się z projektantem.
Najczęściej spotykane rodzaje ogrzewania niskotemperaturowego:
● ogrzewanie podłogowe,
● ogrzewanie ścienne,
● ogrzewanie sufitowe,
● płaszczyznowe ogrzewanie powietrzne,
● ogrzewanie konwekcyjne (o obniżonej temperaturze),
● ogrzewanie powietrzne.
16. Pytanie: Czy dotację można otrzymać dla nowego domu - nie do wymiany czy likwidacji
kotłowi lecz montażu nowej kotłowni?
Odpowiedź:
NIE. W ramach PONE i KAWKA konieczne jest potwierdzenie likwidacji nieefektywnego
źródła ciepła.
17. Pytanie: Kto może otrzymać dotację w ramach PONE i KAWKA?
Odpowiedź:
Program PONE jest skierowany dla użytkowników i właścicieli budynków mieszkalnych.
Program KAWKA jest skierowany dla osób fizycznych ale także dla spółdzielni
18. Pytanie: Czy aby otrzymać dotację trzeba przeprowadzić termomodernizację budynku?
Odpowiedź:
NIE. Należy mieć na uwadze fakt, że kluczowym przy modernizacji systemu ogrzewania jest
odpowiedni dobór mocy pieca. W przypadku gdy w budynku nie przeprowadzono
termomodernizacji polecamy system dofinansowania wydatków na ten cel w ramach nowego
programu NFOŚiGW - RYŚ. Ze szczegółami programu można zapoznać się na stronie:
http://www.nfosigw.gov.pl/oferta-finansowania/srodki-krajowe/programy-priorytetowe/rys--termomodernizacja-budynko-jednorodzinnych/informacje-o-programie/
19. Pytanie: Czy mogę otrzymać dotację gdy dokonano wymiany kotłowni przed złożeniem
wstępnego wniosku?
Odpowiedź:
W ramach programu PONE nie ma takiej możliwości. Koszty wymiany będą
kwalifikowane dopiero po pozytywnej decyzji WFOŚIGW o przekazaniu środków.
W ramach programu KAWKA możliwość przekazania dotacji (do 45% kosztów
kwalifikowanych) dla inwestycji już wykonanej lecz nie wcześniej niż 01.01.2015r. zostanie
indywidualnie przeanalizowana. W takim przypadku proszę o kontakt z UMiG Skawina.
20. Pytanie: Czy mogę otrzymać dotację do montażu pompy ciepła?
Odpowiedź:
Ze środków programu PONE nie można finansować inwestycji związanych z pompami
ciepła.
W ramach programu KAWKA istnieje możliwość sfinansowania instalacji pomp ciepła
jednakże tylko do wysokości 45% kosztów kwalifikowanych. Maksymalny jednostkowy koszt
kwalifikowany wynosi dla pompy ciepła o mocy niższej od 1MW do 3000 zł/kw mocy; w
przypadku wyższej lub równej 1MW do 2700 zł/kW mocy. W przypadku zainteresowania
montażem pompy ciepła z programu KAWKA należy zaznaczyć we wniosku w polu
Planowane nowe źródło ciepła - „Inne” – pompa ciepła.
21. Pytanie: Czy przedsiębiorcy mogą otrzymać dotację na wymianę kotłowni węglowych?
Odpowiedź:
W ramach programu PONE można otrzymać dotację na wymianę źródeł ciepła
w budynkach mieszkalnych. W przypadku programu KAWKA można otrzymać dotację do
wymiany kotłowni węglowych w budynkach przeznaczonych dla celów działalności
gospodarczej w wysokości do 45% kosztów kwalifikowanych niezależnie od przeznaczenia
budynku. Należy jednak podkreślić że dotacja dla przedsiębiorców będzie stanowiła pomoc
de minimis zatem przedsiębiorca będzie zobligowany potwierdzić, że taką pomoc może
otrzymać na podstawie przepisów prawa krajowego i wspólnotowego. Dodatkowo jeżeli
przedsiębiorca będzie miał prawną możliwość odzyskania podatku VAT koszt tego podatku
będzie niekwalifikowany!
21. Pytanie: Czy przedsiębiorcy mogą otrzymać dotację na wymianę kotłowni węglowych?
Odpowiedź:
Tak. Należy jednak pamiętać że w ramach programu PONE finansowana jest zmiana kotłów
w budynkach mieszkalnych natomiast w ramach programu KAWKA budynki wykorzystywane
na celem mieszkalne mogą otrzymać dofinansowanie do 90% kosztów, inne budynki tylko do
45% kosztów (przy uwzględnieniu pozostałych ograniczeń w ramach programów).
22. Pytanie: Czy piece węglowe 5 klasy są bardziej awaryjne niż inne?
Odpowiedź:
Na 10 000 wyprodukowanych i opatrzonych certyfikatem kotłów uległo awarii zaledwie 50
szt. Tak znikomy procent awaryjności, występuje przy każdym dobrym urządzeniu.
Skąd zatem biorą się negatywne opinie nt. kotłów piątej klasy?
1. Są to opinie konkurencji, która nadal produkuje kotły niższych klas
2. Są to pojedyncze opinie osób, które nieprawidłowo użytkowały kocioł, np.
• jest przewymiarowany, i dlatego spala nawet o połowę więcej opału niż
powinien, po dachu i elewacji spływa sadza, a komin zakleja smoła
• przez wiele lat nie serwisuje się kotła, ani nie czyści, a efektem jest
zasadnicze obniżenie sprawności urządzenia i możliwe awarie
3. Są to opinie osób niezadowolonych, ponieważ w takim kotle nie można spalać
odpadów, ponieważ nie można zamontować w nim dodatkowego rusztu. Ten ostatni
argument wydaje się być, niestety najbardziej prawdopodobnym. Potwierdzili mi go
także instalatorzy kotłów.
23. Pytanie: Co w przypadku gdy braknie prądu? Czy wtedy działa piec węglowy 5 klasy?
Odpowiedź:
Nie. Brak prądu uniemożliwia pracę kotła. W programach PONE i KAWKA nie można
zakupić pieca z dodatkowym rusztem lub nawet kotła który powala na taką czynność.
Montaż dodatkowego rusztu wiąże się przede wszystkim z możliwością spalania całego
spectrum „paliw” począwszy od gumiaka poprzez plastik skończywszy na drewnie i węglu
różnego sortu. Biorąc jednak pod uwagę zyski i straty lepszym rozwiązaniem jest brak
rusztu, ponieważ dłuższe braki prądu zdarzają się nader rzadko.
24. Pytanie: Co w przypadku gdy posiadam w domu zarówno kocioł węglowy i kominek?
Odpowiedź:
W ramach projektu należy zlikwidować stary kocioł węglowy i dokonać montażu nowego
źródła ciepła o których mowa w programach (kocioł węglowy 5 klasy, kocioł gazowy,
elektryczny, sieć ciepłowniczą, pompa ciepła, kocioł na olej opałowy). Jeżeli kominek
ogrzewa tylko jedno pomieszczenie tj. jest to kominek dekoracyjny może on nadal
funkcjonować. Wyjątek dotyczy kominka z płaszczem wodnym gdyż wtedy jest traktowany
jako „stare źródło ciepła” i musi ulec likwidacji (lub modyfikacjom) aby nie funkcjonował jako
źródło ciepła.
25. Pytanie: Jakie maksymalne stawki jednostkowe będą stosowane dla kotłów
posiadających certyfikat i umożliwiające stosowanie jako opału: węgla i biomasy - peletu?
Odpowiedź:
Mieszkaniec musi zadeklarować jakie paliwo będzie stosował. Jeśli zadeklaruje stosowanie
tylko peletu to wtedy będą stosowane stawki wskazane dla kotłowni na biomasę. Jeśli
zadeklaruje stosowanie węgla lub mieszaniny węgla i peletu to wtedy przyjmowane będą
maksymalne stawki dla kotłowni węglowych.
26. Pytanie: Jakich paliw należy używać w piecach węglowych 5 klasy?
Odpowiedź:
Należy używać tylko paliw wskazanych w instrukcji użytkownika pieca. Inne paliwa mogą
piec uszkodzić i powodować jego nieprawidłową pracę.
Poniżej przedstawiamy przeliczenie zapotrzebowania do ogrzania budynku na inne rodzaj
węgla przy założeniu: 5 ton i 3 tony ekogroszku po cenie 517,18 brutto:
Przeliczenie zapotrzebowania do ogrzania budynku na inne rodzaj węgla przy założeniu: 5 ton i 3 tony ekogroszku po cenie 517,18 brutto
Ceny oraz kaloryczność węgla wzięto ze strony internetowej Jastrzębskiej Spółki Węglowej: www.jsw.pl
Rodzaj
węgla
Kaloryczność
[MJ/kg]
Ekogroszek 29,00 - 33,00
28,00-30,00
27,50-29,50
Miał
20,50-23,50
18,00-20,00
24,00-26,50
Niesort
28,10-30,10
30,00-32,00
19,80-21,50
Flot
20,00-25,00
Muł
16,00-21,00
Orzech
29,00-33,00
GrubyII
29,00-33,00
W trakcie
Pelet
uzupełniania
średnia
Kaloryczność
[kWh/kg]
Cena netto
za tonę (z
akcyzą)
31,00
29,00
28,50
22,00
19,00
25,25
29,10
31,00
20,65
22,50
18,50
31,00
31,00
8,61
8,05
7,92
6,11
5,28
7,01
8,08
8,61
5,73
6,25
5,14
8,61
8,61
420,47
355,47
340,47
285,47
245,47
430,47
420,47
490,47
250,47
270,47
190,47
450,47
500,47
Cena brutto
Kaloryczność
za tonę (z
[kWh/tonę]
akcyzą)
517,18
437,23
418,78
351,13
301,93
529,48
517,18
603,28
308,08
332,68
234,28
554,08
615,58
8 611,11
8 050,00
7 920,00
6 110,00
5 280,00
7 010,00
8 080,00
8 610,00
5 730,00
6 250,00
5 140,00
8 610,00
8 610,00
Ilość ton
p.stałego
Wartość
przy
opałowa 3 ton
zał.zużyciu 5
ekogroszku
ton
ekogroszku
5,00
5,35
5,44
7,05
8,15
6,14
5,33
5,00
7,51
6,89
8,38
5,00
5,00
3,00
3,21
3,26
4,23
4,89
3,69
3,20
3,00
4,51
4,13
5,03
3,00
3,00
Cena zakupu
odpowiednika 5
ton ekogroszku
przy zachowaniu
tej samej
kaloryczności
Cena zakupu
odpowiednika 3
ton ekogroszku
przy zachowaniu
tej samej
kaloryczności
2 585,89
2 338,52
2 276,61
2 474,31
2 462,06
3 252,06
2 755,87
3 016,78
2 314,92
2 291,78
1 962,45
2 770,75
3 078,29
1 551,53
1 403,11
1 365,96
1 484,58
1 477,24
1 951,24
1 653,52
1 810,07
1 388,95
1 375,07
1 177,47
1 662,45
1 846,97