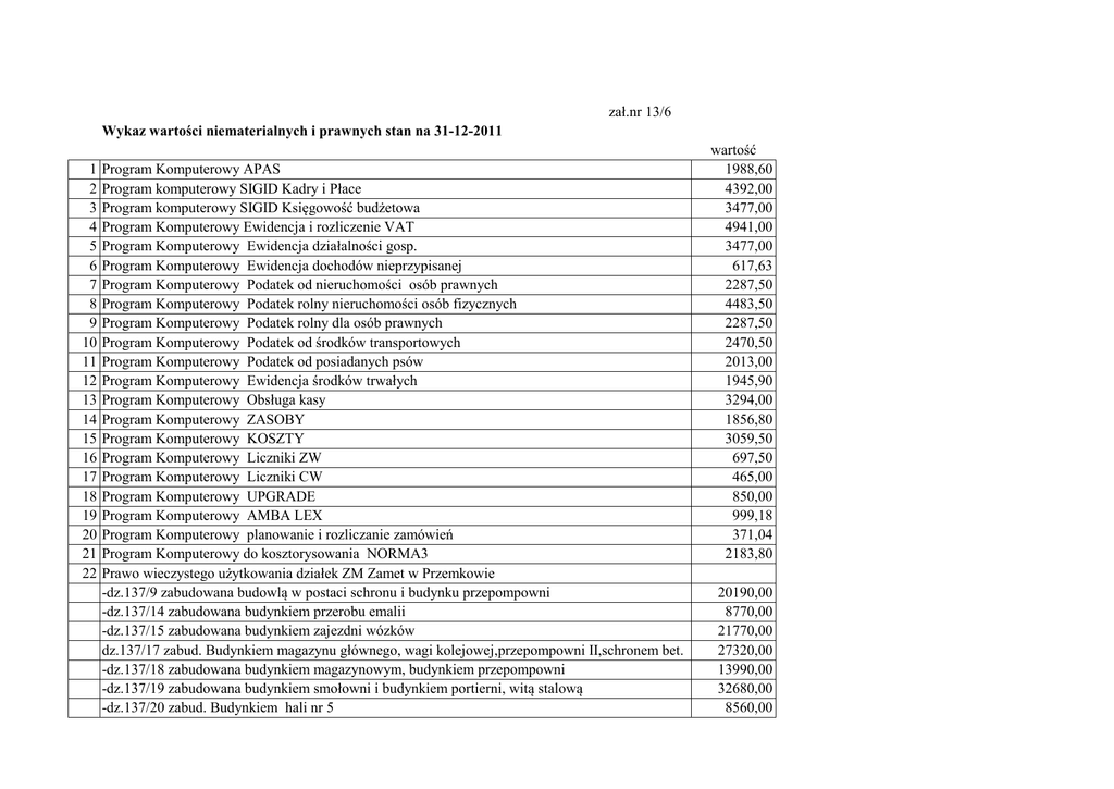
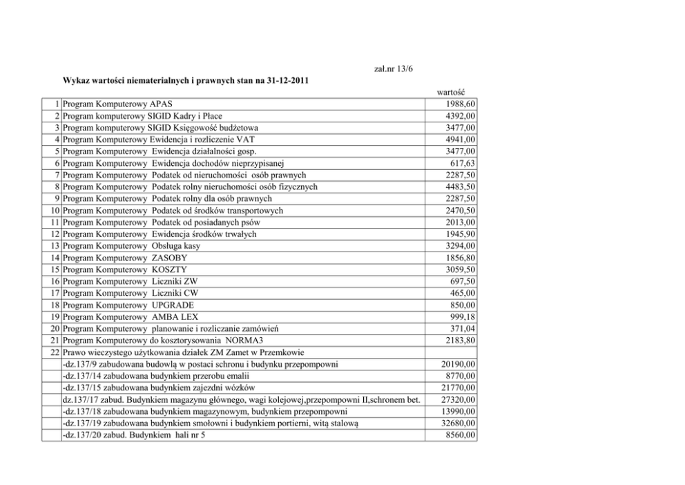
zał.nr 13/6 Wykaz wartości niematerialnych i prawnych stan na 31

Transkrypt

zał.nr 13/6 Wykaz wartości niematerialnych i prawnych stan na 31
zał.nr 13/6
Wykaz wartości niematerialnych i prawnych stan na 31-12-2011
1
2
3
4
5
6
7
8
9
10
11
12
13
14
15
16
17
18
19
20
21
22
Program Komputerowy APAS
Program komputerowy SIGID Kadry i Płace
Program komputerowy SIGID Księgowość budżetowa
Program Komputerowy Ewidencja i rozliczenie VAT
Program Komputerowy Ewidencja działalności gosp.
Program Komputerowy Ewidencja dochodów nieprzypisanej
Program Komputerowy Podatek od nieruchomości osób prawnych
Program Komputerowy Podatek rolny nieruchomości osób fizycznych
Program Komputerowy Podatek rolny dla osób prawnych
Program Komputerowy Podatek od środków transportowych
Program Komputerowy Podatek od posiadanych psów
Program Komputerowy Ewidencja środków trwałych
Program Komputerowy Obsługa kasy
Program Komputerowy ZASOBY
Program Komputerowy KOSZTY
Program Komputerowy Liczniki ZW
Program Komputerowy Liczniki CW
Program Komputerowy UPGRADE
Program Komputerowy AMBA LEX
Program Komputerowy planowanie i rozliczanie zamówień
Program Komputerowy do kosztorysowania NORMA3
Prawo wieczystego użytkowania działek ZM Zamet w Przemkowie
-dz.137/9 zabudowana budowlą w postaci schronu i budynku przepompowni
-dz.137/14 zabudowana budynkiem przerobu emalii
-dz.137/15 zabudowana budynkiem zajezdni wózków
dz.137/17 zabud. Budynkiem magazynu głównego, wagi kolejowej,przepompowni II,schronem bet.
-dz.137/18 zabudowana budynkiem magazynowym, budynkiem przepompowni
-dz.137/19 zabudowana budynkiem smołowni i budynkiem portierni, witą stalową
-dz.137/20 zabud. Budynkiem hali nr 5
wartość
1988,60
4392,00
3477,00
4941,00
3477,00
617,63
2287,50
4483,50
2287,50
2470,50
2013,00
1945,90
3294,00
1856,80
3059,50
697,50
465,00
850,00
999,18
371,04
2183,80
20190,00
8770,00
21770,00
27320,00
13990,00
32680,00
8560,00
23
24
25
26
27
28
29
30
31
32
33
34
35
-dz.137/21 zabud. Hala odlewni rur, budynkiem portierni, halą produkcyjną, wiatą stalową, schronem 45310,00
-dz.137/22 zabudowana budynkiem: odlewni kształtek, oczyszczania kształtek, socjalnym,
52030,00
Stacji trafo,stacji sprężnej
-dz.137/17 zabud. Budynkiem magazynowym
13690,00
-dz.137/25-26 zabudowana budynkiem hali głównej i emaliowania
45370,00
-dz.137/16 droga wewnętrzna
5470,00
-dz.137/23 droga wewnętrzna
1930,00
-dz.137/27 droga wewnętrzna
3200,00
-dz.93 zabudowana budynkiem magazynowym i budynkiem stołówki
20890,00
Prawo wieczystego użytkowania działek
-dz.190/2 i 259/2 zabudowana budynkiem produkcyjnym ul.Fabryczna 10a
12000,00
Oprogramowanie MSWINDOWS XP HOME PL OEM
427,00
Oprogramowanie MS OFFICE 2003 PL oEMNDOWS XP HOME PL OEM
1098,00
Program Komputerowy do oceny kwalifikacyjnej pracowników samorządowych
250,00
Program Windows XP Home Edition
299,00
Licencja do urządzenia PANDA
3689,28
Licencja do programu antywirusowego Kaspersky
1789,74
Program MOL Libra 2000 wraz z bezterminową licencją
4514,00
Program do kosztorysowania ATHENA
2133,78
Pakiet wdrożeniowy Elektronicznych dzienników
6000,00
EwMapa do współpracy z bazą FireBird
6331,80
Aplikacja serwera ExtrafaX w wersji Lite dla 15 użytkowników
10065,00
Program Komputerowy eMandat
4000,00
RAZEM
421925,55
Sporządziła: Joanna Rajewska-Jaworowicz
26-03-2012
Gmina Przemków posiada następujące udziały w spółkach, akcje:
1 Polkowickie Centrum Usług Zdrowotnych S.A. Polkowice ul. Kominka 7 – udziały o wartości 2.500 zł
2
3
4
5
Bank Spółdzielczy w Przemkowie ul. Głogowska 12 a - udział członkowski o wartości 2.000 zł,
Przedsiębiorstwo Wodociągów i Kanalizacji sp. z o.o w Przemkowie ul. Dworcowa 7 - udział o wartości 359.000 zł
Centrum Sportu i Rekreacji sp. z o.o. W Przemkowie Plac Wolności 25 - udział o wartości 30.000 zł
Dolnośląski Zakład Przetwórstwa Plastiku „Dolplast” sp. z o.o. W Przemkowie Plac Wolności 25 - udział o wartości 98.000 zł, tj. 19,68 %
w kapitale zakładowym,