pobierz w formacie pdf - Geo-Bank

Transkrypt

pobierz w formacie pdf - Geo-Bank
ANEKS NR 3 DO INSTRUKCJI G-5
155
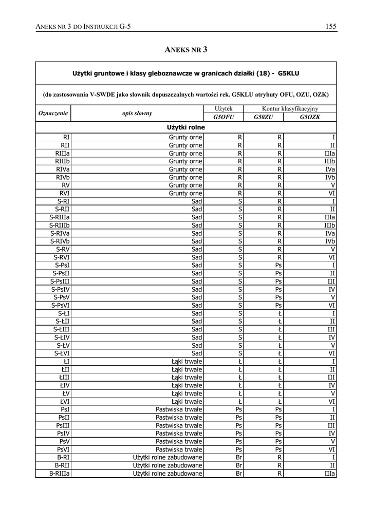
ANEKS NR 3
Użytki gruntowe i klasy gleboznawcze w granicach działki (18) - G5KLU
(do zastosowania V-SWDE jako słownik dopuszczalnych wartości rek. G5KLU atrybuty OFU, OZU, OZK)
Oznaczenie
Użytek
G5OFU
opis słowny
Kontur klasyfikacyjny
G50ZU
G5OZK
Użytki rolne
RI
RII
RIIIa
RIIIb
RIVa
RIVb
RV
RVI
S-RI
S-RII
S-RIIIa
S-RIIIb
S-RIVa
S-RIVb
S-RV
S-RVI
S-PsI
S-PsII
S-PsIII
S-PsIV
S-PsV
S-PsVI
S-ŁI
S-ŁII
S-ŁIII
S-ŁIV
S-ŁV
S-ŁVI
ŁI
ŁII
ŁIII
ŁIV
ŁV
ŁVI
PsI
PsII
PsIII
PsIV
PsV
PsVI
B-RI
B-RII
B-RIIIa
Grunty
Grunty
Grunty
Grunty
Grunty
Grunty
Grunty
Grunty
orne
orne
orne
orne
orne
orne
orne
orne
Sad
Sad
Sad
Sad
Sad
Sad
Sad
Sad
Sad
Sad
Sad
Sad
Sad
Sad
Sad
Sad
Sad
Sad
Sad
Sad
Łąki trwałe
Łąki trwałe
Łąki trwałe
Łąki trwałe
Łąki trwałe
Łąki trwałe
Pastwiska trwałe
Pastwiska trwałe
Pastwiska trwałe
Pastwiska trwałe
Pastwiska trwałe
Pastwiska trwałe
Użytki rolne zabudowane
Użytki rolne zabudowane
Użytki rolne zabudowane
R
R
R
R
R
R
R
R
S
S
S
S
S
S
S
S
S
S
S
S
S
S
S
S
S
S
S
S
Ł
Ł
Ł
Ł
Ł
Ł
Ps
Ps
Ps
Ps
Ps
Ps
Br
Br
Br
R
R
R
R
R
R
R
R
R
R
R
R
R
R
R
R
Ps
Ps
Ps
Ps
Ps
Ps
Ł
Ł
Ł
Ł
Ł
Ł
Ł
Ł
Ł
Ł
Ł
Ł
Ps
Ps
Ps
Ps
Ps
Ps
R
R
R
I
II
IIIa
IIIb
IVa
IVb
V
VI
I
II
IIIa
IIIb
IVa
IVb
V
VI
I
II
III
IV
V
VI
I
II
III
IV
V
VI
I
II
III
IV
V
VI
I
II
III
IV
V
VI
I
II
IIIa
156
B-RIIIb
B-RIVa
B-RIVb
B-RV
B-RVI
B-PsI
B-PsII
B-PsIII
B-PsIV
B-PsV
B-PsVI
B-ŁI
B-ŁII
B-ŁIII
B-ŁIV
B-ŁV
B-ŁVI
B-LsI
B-LsII
B-LsIII
B-LsIV
B-LsV
B-LsVI
Wsr
Wsr-LsI
Wsr-LsII
Wsr-LsIII
Wsr-LsIV
Wsr-LsV
Wsr-LsVI
Wsr-RI
Wsr-RII
Wsr-RIIIa
Wsr-RIIIb
Wsr-RIVa
Wsr-RIVb
Wsr-RV
Wsr-RVI
Wsr-PsI
Wsr-PsII
Wsr-PsIII
Wsr-PsIV
Wsr-PsV
Wsr-PsVI
Wsr-ŁI
Wsr-ŁII
Wsr-ŁIII
Wsr-ŁIV
Wsr-ŁV
Wsr-ŁVI
W
W-LsI
W-LsII
W-LsIII
ANEKS NR 3 DO INSTRUKCJI G-5
Użytki rolne zabudowane
Użytki rolne zabudowane
Użytki rolne zabudowane
Użytki rolne zabudowane
Użytki rolne zabudowane
Użytki rolne zabudowane
Użytki rolne zabudowane
Użytki rolne zabudowane
Użytki rolne zabudowane
Użytki rolne zabudowane
Użytki rolne zabudowane
Użytki rolne zabudowane
Użytki rolne zabudowane
Użytki rolne zabudowane
Użytki rolne zabudowane
Użytki rolne zabudowane
Użytki rolne zabudowane
Użytki rolne zabudowane
Użytki rolne zabudowane
Użytki rolne zabudowane
Użytki rolne zabudowane
Użytki rolne zabudowane
Użytki rolne zabudowane
Grunty pod stawami
Grunty pod stawami
Grunty pod stawami
Grunty pod stawami
Grunty pod stawami
Grunty pod stawami
Grunty pod stawami
Grunty pod stawami
Grunty pod stawami
Grunty pod stawami
Grunty pod stawami
Grunty pod stawami
Grunty pod stawami
Grunty pod stawami
Grunty pod stawami
Grunty pod stawami
Grunty pod stawami
Grunty pod stawami
Grunty pod stawami
Grunty pod stawami
Grunty pod stawami
Grunty pod stawami
Grunty pod stawami
Grunty pod stawami
Grunty pod stawami
Grunty pod stawami
Grunty pod stawami
Rowy
Rowy
Rowy
Rowy
Br
Br
Br
Br
Br
Br
Br
Br
Br
Br
Br
Br
Br
Br
Br
Br
Br
Br
Br
Br
Br
Br
Br
Wsr
Wsr
Wsr
Wsr
Wsr
Wsr
Wsr
Wsr
Wsr
Wsr
Wsr
Wsr
Wsr
Wsr
Wsr
Wsr
Wsr
Wsr
Wsr
Wsr
Wsr
Wsr
Wsr
Wsr
Wsr
Wsr
Wsr
W
W
W
W
R
R
R
R
R
Ps
Ps
Ps
Ps
Ps
Ps
Ł
Ł
Ł
Ł
Ł
Ł
Ls
Ls
Ls
Ls
Ls
Ls
IIIb
IVa
IVb
V
VI
I
II
III
IV
V
VI
I
II
III
IV
V
VI
I
II
III
IV
V
VI
Ls
Ls
Ls
Ls
Ls
Ls
R
R
R
R
R
R
R
R
Ps
Ps
Ps
Ps
Ps
Ps
Ł
Ł
Ł
Ł
Ł
Ł
I
II
III
IV
V
VI
I
II
IIIa
IIIb
IVa
IVb
V
VI
I
II
III
IV
V
VI
I
II
III
IV
V
VI
Ls
Ls
Ls
I
II
III
ANEKS NR 3 DO INSTRUKCJI G-5
W-LsIV
W-LsV
W-LsVI
W-RI
W-RII
W-RIIIa
W-RIIIb
W-RIVa
W-RIVb
W-RV
W-RVI
W-PsI
W-PsII
W-PsIII
W-PsIV
W-PsV
W-PsVI
W-ŁI
W-ŁII
W-ŁIII
W-ŁIV
W-ŁV
W-ŁVI
157
Rowy
Rowy
Rowy
Rowy
Rowy
Rowy
Rowy
Rowy
Rowy
Rowy
Rowy
Rowy
Rowy
Rowy
Rowy
Rowy
Rowy
Rowy
Rowy
Rowy
Rowy
Rowy
Rowy
W
W
W
W
W
W
W
W
W
W
W
W
W
W
W
W
W
W
W
W
W
W
W
Ls
Ls
Ls
R
R
R
R
R
R
R
R
Ps
Ps
Ps
Ps
Ps
Ps
Ł
Ł
Ł
Ł
Ł
Ł
IV
V
VI
I
II
IIIa
IIIb
IVa
IVb
V
VI
I
II
III
IV
V
VI
I
II
III
IV
V
VI
Ls
Ls
Ls
Ls
Ls
Ls
I
II
III
IV
V
VI
R
R
R
R
R
R
R
R
Ps
Ps
Ps
Ps
Ps
Ps
Ł
Ł
Ł
Ł
Ł
Ł
I
II
IIIa
IIIb
IVa
IVb
V
VI
I
II
III
IV
V
VI
I
II
III
IV
V
VI
Grunty leśne oraz zadrzewione i zakrzewione
Ls
LsI
LsII
LsIII
LsIV
LsV
LsVI
Lz
Lz-RI
Lz-RII
Lz-RIIIa
Lz-RIIIb
Lz-RIVa
Lz-RIVb
Lz-RV
Lz-RVI
Lz-PsI
Lz-PsII
Lz-PsIII
Lz-PsIV
Lz-PsV
Lz-PsVI
Lz-ŁI
Lz-ŁII
Lz-ŁIII
Lz-ŁIV
Lz-ŁV
Lz-ŁVI
Grunty
Grunty
Grunty
Grunty
Grunty
Grunty
Grunty
Grunty
Grunty
Grunty
Grunty
Grunty
Grunty
Grunty
Grunty
Grunty
Grunty
Grunty
Grunty
Grunty
Grunty
zadrzewione
zadrzewione
zadrzewione
zadrzewione
zadrzewione
zadrzewione
zadrzewione
zadrzewione
zadrzewione
zadrzewione
zadrzewione
zadrzewione
zadrzewione
zadrzewione
zadrzewione
zadrzewione
zadrzewione
zadrzewione
zadrzewione
zadrzewione
zadrzewione
Lasy
Lasy
Lasy
Lasy
Lasy
Lasy
Lasy
i zakrzewione
i zakrzewione
i zakrzewione
i zakrzewione
i zakrzewione
i zakrzewione
i zakrzewione
i zakrzewione
i zakrzewione
i zakrzewione
i zakrzewione
i zakrzewione
i zakrzewione
i zakrzewione
i zakrzewione
i zakrzewione
i zakrzewione
i zakrzewione
i zakrzewione
i zakrzewione
i zakrzewione
Ls
Ls
Ls
Ls
Ls
Ls
Ls
Lz
Lz
Lz
Lz
Lz
Lz
Lz
Lz
Lz
Lz
Lz
Lz
Lz
Lz
Lz
Lz
Lz
Lz
Lz
Lz
Lz
158
ANEKS NR 3 DO INSTRUKCJI G-5
B
Ba
Bi
Bp
Bz
K
dr
Tk
Ti
Grunty zabudowane i zurbanizowane
Tereny mieszkaniowe
B
Tereny przemysłowe
Ba
Inne tereny zabudowane
Bi
Zurbanizowane tereny niezabudowane
Bp
Tereny rekreacyjno-wypoczynkowe
Bz
Użytki kopalne
K
Drogi
dr
Tereny kolejowe
Tk
Inne tereny komunikacyjne
Ti
Użytki ekologiczne
E-RI
E-RII
E-RIIIa
E-RIIIb
E-RIVa
E-RIVb
E-RV
E-RVI
E-PsI
E-PsII
E-PsIII
E-PsIV
E-PsV
E-PsVI
E-ŁI
E-ŁII
E-ŁIII
E-ŁIV
E-ŁV
E-ŁVI
E-Lz
E-Lz-RI
E-Lz-RII
E-Lz-RIIIa
E-Lz-RIIIb
E-Lz-RIVa
E-Lz-RIVb
E-Lz-RV
E-Lz-RVI
E-Lz-PsI
E-Lz-PsII
E-Lz-PsIII
E-Lz-PsIV
E-Lz-PsV
E-Lz-PsVI
E-Lz-ŁI
E-Lz-ŁII
E-Lz-ŁIII
E-Lz-ŁIV
E-Lz-ŁV
E-Lz-ŁVI
E-Ls
E-LsI
Użytki
Użytki
Użytki
Użytki
Użytki
Użytki
Użytki
Użytki
Użytki
Użytki
Użytki
Użytki
Użytki
Użytki
Użytki
Użytki
Użytki
Użytki
Użytki
Użytki
Użytki
Użytki
Użytki
Użytki
Użytki
Użytki
Użytki
Użytki
Użytki
Użytki
Użytki
Użytki
Użytki
Użytki
Użytki
Użytki
Użytki
Użytki
Użytki
Użytki
Użytki
Użytki
Użytki
ekologiczne
ekologiczne
ekologiczne
ekologiczne
ekologiczne
ekologiczne
ekologiczne
ekologiczne
ekologiczne
ekologiczne
ekologiczne
ekologiczne
ekologiczne
ekologiczne
ekologiczne
ekologiczne
ekologiczne
ekologiczne
ekologiczne
ekologiczne
ekologiczne
ekologiczne
ekologiczne
ekologiczne
ekologiczne
ekologiczne
ekologiczne
ekologiczne
ekologiczne
ekologiczne
ekologiczne
ekologiczne
ekologiczne
ekologiczne
ekologiczne
ekologiczne
ekologiczne
ekologiczne
ekologiczne
ekologiczne
ekologiczne
ekologiczne
ekologiczne
E
E
E
E
E
E
E
E
E
E
E
E
E
E
E
E
E
E
E
E
E-Lz
E-Lz
E-Lz
E-Lz
E-Lz
E-Lz
E-Lz
E-Lz
E-Lz
E-Lz
E-Lz
E-Lz
E-Lz
E-Lz
E-Lz
E-Lz
E-Lz
E-Lz
E-Lz
E-Lz
E-Lz
E-Ls
E-Ls
R
R
R
R
R
R
R
R
Ps
Ps
Ps
Ps
Ps
Ps
Ł
Ł
Ł
Ł
Ł
Ł
I
II
IIIa
IIIb
IVa
IVb
V
VI
I
II
III
IV
V
VI
I
II
III
IV
V
VI
R
R
R
R
R
R
R
R
Ps
Ps
Ps
Ps
Ps
Ps
Ł
Ł
Ł
Ł
Ł
Ł
I
II
IIIa
IIIb
IVa
IVb
V
VI
I
II
III
IV
V
VI
I
II
III
IV
V
VI
Ls
I
ANEKS NR 3 DO INSTRUKCJI G-5
E-LsII
E-LsIII
E-LsIV
E-LsV
E-LsVI
E-Wp
E-Ws
E-W
E-W-RI
E-W-RII
E-W-RIIIa
E-W-RIIIb
E-W-RIVa
E-W-RIVb
E-W-RV
E-W-RVI
E-W-PsI
E-W-PsII
E-W-PsIII
E-W-PsIV
E-W-PsV
E-W-PsVI
E-W-ŁI
E-W-ŁII
E-W-ŁIII
E-W-ŁIV
E-W-ŁV
E-W-ŁVI
E-W-LsI
E-W-LsII
E-W-LsIII
E-W-LsIV
E-W-LsV
E-W-LsVI
E-N
159
Użytki
Użytki
Użytki
Użytki
Użytki
Użytki
Użytki
Użytki
Użytki
Użytki
Użytki
Użytki
Użytki
Użytki
Użytki
Użytki
Użytki
Użytki
Użytki
Użytki
Użytki
Użytki
Użytki
Użytki
Użytki
Użytki
Użytki
Użytki
Użytki
Użytki
Użytki
Użytki
Użytki
Użytki
Użytki
ekologiczne
ekologiczne
ekologiczne
ekologiczne
ekologiczne
ekologiczne
ekologiczne
ekologiczne
ekologiczne
ekologiczne
ekologiczne
ekologiczne
ekologiczne
ekologiczne
ekologiczne
ekologiczne
ekologiczne
ekologiczne
ekologiczne
ekologiczne
ekologiczne
ekologiczne
ekologiczne
ekologiczne
ekologiczne
ekologiczne
ekologiczne
ekologiczne
ekologiczne
ekologiczne
ekologiczne
ekologiczne
ekologiczne
ekologiczne
ekologiczne
E-Ls
E-Ls
E-Ls
E-Ls
E-Ls
E-Wp
E-Ws
E-W
E-W
E-W
E-W
E-W
E-W
E-W
E-W
E-W
E-W
E-W
E-W
E-W
E-W
E-W
E-W
E-W
E-W
E-W
E-W
E-W
E-W
E-W
E-W
E-W
E-W
E-W
E-N
Nieużytki
N
Nieużytki
N
Grunty pod wodami
Wm
Wp
Ws
Grunty pod morskimi wodami wewnętrznymi
Grunty pod wodami powierzchniowymi
płynącymi
Grunty pod wodami powierzchniowymi
stojącymi
Wm
Wp
Ws
Tereny różne
Tr
Tereny różne
Tr
Ls
Ls
Ls
Ls
Ls
II
III
IV
V
VI
R
R
R
R
R
R
R
R
Ps
Ps
Ps
Ps
Ps
Ps
Ł
Ł
Ł
Ł
Ł
Ł
Ls
Ls
Ls
Ls
Ls
Ls
I
II
IIIa
IIIb
IVa
IVb
V
VI
I
II
III
IV
V
VI
I
II
III
IV
V
VI
I
II
III
IV
V
VI